熱線:021-66110810,66110819
手機:13564362870

熱線:021-66110810,66110819
手機:13564362870
圖2、氧化亞氮微電極系統的工作流程示意圖。(A)建立Unisense 氧化亞氮微電極。(B)氧化亞氮微電極系統的啟動,包括預激活、極化、使用N2O標準溶液進行校準,并構建線性回歸以計算每個實驗的樣品濃度。(C)樣品測量需要10 min,其中前5 min用于平衡,后5 min的信號取平均值以獲得數據。(D)每次使用10次連續稀釋濃度的N2O標準溶液和0μM的水構建線性回歸。對于低于0.1μM的濃度(根據制造商的說明的最低檢測限),將處理為0μM。
圖3、定量慢生根瘤菌屬產生的N2O伴/不伴Calonectria ilicicola。(A)在提供100μM KNO3的酵母甘露醇肉湯(YMB)中進行體內測試。(B)在提供500μM KNO的YMB中進行體內測試。僅對缺乏nosZ基因的日本慢生根瘤菌檢測不到N2O,而未檢測到攜帶nosZ基因的慢生根瘤菌。
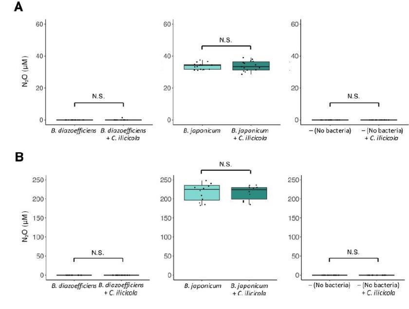
圖4、評估Calonectria ilicicola對結節健康和N2O含量的影響。Bd:慢生根瘤菌,Bj:慢生型大豆根瘤菌,Ci:Calonectria ilicicola.(A)C.ilicicola對大豆根腐病的影響。(B)C.ilicicola對根瘤大小的影響。(C)C.ilicicola對根瘤重量的影響。(D)C.ilicicola對根瘤數量的影響。(E)C.ilicicola對根瘤中N2O含量的影響。(F)C.ilicicola對酵母甘露醇肉湯(YMB)中根瘤和Bd中nosZ相對表達的影響
圖5、Bradyrhizobium屬特異性引物和四種物種特異性引物的開發。(A)凝膠電泳,交叉驗證Bd、Bj、Be和Bl特異性PCR產物的特異性。(B)凝膠電泳以交叉驗證Bradyrhizobium屬特異性PCR產物的特異性。(C)qPCR反應中Bd特異性引物的熔解峰。(D)qPCR反應中Be特異性引物的熔解峰。(E)qPCR反應中Bj特異性引物的熔解峰。(F)qPCR反應中Bl特異性引物的熔解峰。(G)qPCR反應中Bradyrhizobium屬特異性引物的熔解峰。
結論與展望
氧化亞氮(N2O)的產生是實現農業凈零排放的重大挑戰,這主要是由于對氮肥的依賴。盡管氮肥滿足了生產富含蛋白質種子的高氮需求,但大豆(Glycine max)也能與根瘤菌形成根瘤以促進生物固氮。然而,某些根瘤菌可以進行反硝化作用,這一過程將NO??還原為N?。如果反硝化的最后一步由一氧化二氮還原酶(由nosZ基因編碼)介導——被破壞,N2O將被產生,而不是N2。
研究表明由含有nosZ基因的Bradyrhizobium diazoefficiens USDA110形成的根瘤比由缺乏nosZ基因的Bradyrhizobium japonicum USDA6形成的根瘤產生更少的水溶性N2O,突顯了nosZ基因在減少根瘤中N2O含量中的關鍵作用。
此外,接種真菌病原體Calonectria ilicicola會減少B.diazoefficiens的根瘤生物量和nosZ基因表達,導致根瘤中N?O含量增加。然而當大豆根瘤中存在nosZ基因時,C.ilicicola引起的N?O含量增加變得無關緊要。因此研究人員進行了田間調查以揭示nosZ基因的區域分布情況。Unisense 氧化亞氮微電極在本研究中發揮了關鍵用,通過高精度的N2O檢測,為研究根瘤菌和土壤真菌病原體對大豆根瘤中N2O含量的影響提供了可靠的數據支持。
該設備的高靈敏度和精確度使得研究人員能夠準確評估不同條件下N2O的產生情況,為理解農業生態系統中N2O的產生機制提供了重要的實驗依據。這些發現強調了使用含有nosZ基因的根瘤菌菌株以促進可持續大豆生產的重要性,這比控制土傳病原體如C.ilicicola更為重要,以減少N2O的產生,同時綜合考慮細菌和真菌的影響將支持可持續農業實踐的凈零目標。
相關新聞