熱線:021-66110810,66110819
手機:13564362870

熱線:021-66110810,66110819
手機:13564362870
摘要:了解FDA和EMA參比制劑校正平均生物等效性(RSABE)方法的區別及具體應用,為行業人員提供方法學的指導。探討高變異藥物重復交叉設計的參比制劑校正平均生物等效性方法及選擇原則,通過模擬研究和實例分析對FDA和EMA方法在不同情況下的結果表現進行比較。當個體內變異≤30%或樣本量較大時,FDA和EMA方法生物等效通過率基本一致;在個體內變異40%-70%,且樣本量較低時,FDA方法生物等效通過率要高于EMA。在樣本量較大的重復交叉設計中,EMA和FDA提出的參比制劑校正平均生物等效性方法均有良好的表現,但EMA對樣本量要求更高,FDA的幾何均值比限制條件必不可少。
高變異藥物(highly variable drug)是指生物等效(bioequivalence,BE)評價指標藥動學參數(AUC0-1,AUC0-∞,及Cmax)的個體內變異系數(with-in-subject coefficient of variation,CV)≥30%的藥物。對于這類藥物,采用常規18~24例2 X 2交叉設計和等效界限(bioequivalence limits,BEL)進行生物等效性評價時,由于個體內變異增大,使檢驗把握度降低,極可能犯統計學上的Ⅱ類錯誤,造成的結果是將實際與參比制劑生物等效的受試制劑判斷為不等效[1]。2006年,FDA向藥學咨詢委員會提出了適用于高變異藥物的參比制劑校正平均生物等效性(reference-scaled average bioequivalence,RSABE)的方法。2010年,EMA發布了生物等效性研究指導原則[2],也提出了RSABE方法。FDA與EMA提出的RSABE方法,在試驗設計、校正理論方面是一致的,但在生物等效性判定界限及程序實現上是有區別的[3]。
我國對于高變異藥物生物等效研究通常是通過增大樣本量來達到等效的目的。2007年國家食品藥品監督管理總局藥品審評中心(CDE)電子刊物發表文章"關于高變異藥物生物等效性研究的考慮"提到了"比例標化平均生物等效性"的方法[4]。2015年國家藥典委員會發布的《藥物制劑人體生物利用度和生物等效性試驗指導原則》中,關于高變異藥物也可以采用重復交叉設計對藥動學參數指標BEL進行放寬,Cmax的BEL最寬為69.84%~143.19%,這與EMA關于RSABE方法校正的最寬界限一致[5]。
國內可見介紹RSABE理論的文獻報道[3,6],本研究主要通過模擬研究和實例分析來對比FDA和EMA提出的RSABE方法,旨在為相關從業人員提供方法學的指導。
1、試驗設計
RSABE方法需要應用參比制劑的個體內變異,因此參比制劑需要至少使用2個周期,重復試驗設計,包括以下2種類型。
1.1、半重復、三周期交叉實驗設計
將試驗受試者隨機分為兩組,兩組受試者3個周期的用藥順序為TRR/RRT/RTR(R表示參比制劑,T表示試驗制劑)。
1.2、全重復,四周期交叉試驗設計
將試驗受試者隨機分為兩組,兩組受試者4個周期的用藥順序為TRTR/RTRT。
2、樣本量確定
Laszlo等[7]在2011年發表的關于高變異藥物生物等效試驗設計樣本量的文章中,分別對3周期或4周期交叉設計試驗,按照不同的個體內變異、檢驗效能、幾何均值比以及FDA和EMA不同的限制性要求,給出了樣本量的模擬計算結果。Reddy等[8]采用公式近似法給出了不同參數設置下的樣本量情況。劉甜甜等[9]應用確切樣本量計算方法估算了高變異藥物生物等效研究所需的樣本量。以上研究結果均顯示,對于高變異藥物,同樣的估計參數,4周期交叉設計樣本量要比3周期交叉設計低30%,FDA要求的樣本量要低于EMA。
3、RSABE方法介紹
生物等效試驗中,兩制劑藥動學參數指標如果等效,常采用平均生物等效(average bioequivalence,ABE)方法,需滿足如下條件:
(μT-μR)2≤θA2式(1)
μT和μR表示試驗制劑和參比制劑藥代參數指標對數轉換均值;θA取值為In(1.25),式(1)可變換為:In(0.8)≤μT-μR≤In(1.25)或0.8≤eμT/eμR≤1.25。如果兩制劑藥動學參數指標幾何均值比(geometric mean ratio,GMR)的90%置信區間(confidence interval,CI)在等效界限(0.8~1.25)內,則認為兩制劑等效。
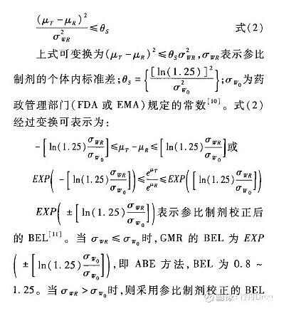
與ABE相比,若采用RSABE方法,需采用重復交叉試驗設計,藥動學參數指標如果等效,需滿足:
進行生物等效性判定,即RSABE。FDA和EMA采用RSABE和ABE方法的選擇原則見圖1[10]。

FDA將σW0常數設為0.25,EMA設為0.294。在實際應用時,FDA按照藥動學參數個體內標準差>0.294(個體內變異30%),即采用RSABE方法,因此FDA的GMR 90%置信區間的等效界限是不連續的,而EMA是連續的[11]。RSABE方法不同個體內變異情況下的等效界限見表1。
4、RSABE應用步驟
步驟1:計算參比制劑個體內標準差(SWR)。
FDA:試驗設計采用半重復和全重復交叉設計,SWR計算公式為:
5、模擬研究
為考察不同個體內變異、不同樣本量及不同幾何均值比,FDA和EMA方法的BE通過情況,本研究使用統計分析軟件(SAS 9.4)模擬生成3周期交叉設計,對數轉換Cmax數據。該數據服從多元正態分布,周期間相關系數假設為0.4。設受試制劑和參比制劑個體內變異相同,分別為20%,30%,40%,50%及70%,樣本量分別為24,48,72,GMR設定從1.0到1.6,共生成模擬數據集105個,每個數據集模擬分析1,000次,分析方法采用FDA,EMA和FDAnc(nc:no GMR constraint,即無GMR限制條件),模擬分析結果見圖2。
模擬結果顯示:樣本量越大,相同變異情況下2種方法的BE通過率越高。個體內變異為20%時,EMA和FDA方法BE通過率曲線完全重疊。個體內變異為30%,理論GMR設定在1.1~1.3時,FDA方法BE通過率略高于EMA,但差別不大。隨著變異增大,FDA方法顯示出比EMA更高的BE通過率,尤其在樣本量較低時更為明顯。此外,在變異較大時(50%~70%),FDAnc由于不對GMR添加限制,其BE通過率遠大于FDA和EMA方法,此差異隨著樣本量增加而越發突出。在樣本量較大(72例),變異相同情況下,FDA和EMA方法BE通過率基本一致。
6、實例分析
某國產藥物為片劑,參比為進口原研制劑,需進行空腹及餐后BE研究。試驗設計時,查閱國外同品種藥物研究及相關文獻均表明該藥物為高變異藥物。因此,設計時采用半重復3 X 3交叉設計,樣本量按照個體內變異>30%,GMR在0.9-1.1,并考慮脫落情況,空腹及餐后各計劃篩選入組57例受試者,實際空腹完成3周期給藥52例,餐后49例。試驗結束后,使用WinNonlin®軟件計算藥動學參數,并整理數據為表2。
按照試驗方案規定,本研究滿足條件時可采用RSABE方法進行生物等效判定。依據FDA和EMA原則,本研究使用SAS 9.4分析軟件編程進行生物等效分析,分析結果見表3和表4。
分析結果顯示:FDA原則下,空腹試驗的藥動學參數指標及餐后試驗的Cmax個體內標準差均>0.294,采用RSABE方法,這些藥動學參數指標95%UCB均小于0,且GMR點估計值在0.8~1.25界限內。餐后試驗AUC指標采用ABE估計90%置信區間,均在0.8~1.25等效界限內。綜上可認為兩制劑生物等效。依據EMA原則,最終分析結論一致。但EMA只在Cmax個體內標準差>0.294時,采用RSABE方法,AUC指標仍使用ABE方法。此外,從置信區間來看,EMA和FDA的差別不大。
7、結語
重復交叉設計常用于高變異藥物生物等效性研究,相比雙交叉設計可以節省一定的樣本量,但由于給藥周期多,如果再有較長的洗脫期,受試者的脫落率可能會成倍增加。因此在決定是否采用重復交叉設計時,首先應考慮藥物自身特點,是否高變異、半衰期長短、是否有后遺效應等;其次在方案設計時需要與藥監部門進行充分的咨詢與溝通,以保證試驗設計的科學性和可行性。
在重復交叉設計生物等效研究中,當個體內變異小于30%時,FDA和EMA的等效界限均為0.8~1.25。當高于30%時,FDA會隨著個體內變異增大,等效界限逐漸放寬。而EMA對等效界限的放寬僅限于變異≤50%。在相同的個體內變異情況下,FDA校正的等效界限要寬于EMA,這也決定了在樣本量估計時,EMA的要求更高。模擬研究也證實,變異>30%時,EMA的BE通過率要低于FDA,因此要達到同樣的效能,EMA需要更多的樣本量。
隨著樣本量的增加,2種方法的BE通過率都有提升,但是對EMA方法的提升更加突出。FDA的RSABE等效判定時,GMR點估計值在0.8~1.25是重要的限制條件,模擬研究表明,尤其當變>50%,樣本量較大時,FDAnc方法的BE通過率要遠大于EMA和FDA方法,這就可能出現兩制劑均值差異達50%,但結論卻等效的情況。因此,GMR限制條件在FDA原則下是必不可少的[11,16]。從模擬研究結果可以看到,當個體內變異≤30%或樣本量較大時,FDA和EMA方法基本一致,而當個體內變異在40%~70%,且樣本量較低時,FDA方法BE通過率要高于EMA。因此,在評價高變異藥物生物等效時,無論采用FDA還是EMA方法,具備一定的樣本量是生物等效研究成功的前提[17]。
參考文獻作者:
相關新聞