熱線:021-66110810,66110819
手機:13564362870

熱線:021-66110810,66110819
手機:13564362870
孔隙水分析
在使用甲基紅和甲基烯藍指示劑以及電子滴定管(876 Dosmat plus,Metrohm)采樣后,立即用0.01 M HCl滴定醇溶液(默克)滴定每個孔隙水樣品的50μL子樣品,以測定總堿度(TA、Ivanenkov和Lyakhin 1978)。使用經認證的海水標準IAPSO進行校準。
采用高效液相色譜法(HPLC)(Compact IC 761,Cl–,SO42–,電導檢測器;Br–230 nm紫外/可見檢測器lambda 1010)測定氯化物、溴化物和硫酸鹽的濃度(樣品體積300μL)。將樣品稀釋1:100,并分析IAPSO作為對照。
僅在實驗結束時測量了孔隙水中的銨、硝酸鹽和總硫化物。根據格拉斯霍夫等人(1983)的標準程序,對銨和硝酸鹽樣品(各1000μL)進行測量。總硫化物樣品(500μL)采用Cline(1969)的甲基藍光度法進行分析。
使用無頂空硼硅酸鹽注射器(5 mL)從流入和流出的甲烷分析介質樣品(微傳感器測量和孔隙水取樣之間共6次;129 d后取樣失敗)。在取樣瓶的頂空中測定甲烷。因此,將2 cm3樣品快速轉移到10 mL玻璃瓶中,用5 cm3 NaOH(2.5%w/v)填充,并用丁基橡膠塞和鋁卷曲立即閉合。使用填充柱(Haye SepT,6 ft,3.1 mm內徑,100/120目,重新檢測,載氣:He 20 mL min–1,燃燒氣體:合成空氣240 mL min–1,H2 20 mL min–1)通過氣相色譜法(Hewlett-Packard Series II)分析甲烷。根據流體流量交換前(303天)和后(360天)的流入和流出甲烷濃度之間的差異計算AOM率。對于流出,甲烷濃度乘以上覆水柱中海水介質的稀釋系數(對于低流速和高流速,分別為41和5)。對于流入,使用滲流介質的甲烷濃度。然后,將兩種甲烷濃度之差除以流體通過孵育室所需的平均時間(對于低流體流量和高流體流量,分別為1044天和104天)和巖心的橫截面積(28.3 cm2)。通過將流出甲烷濃度乘以稀釋系數(見上文)和流體流量(11.2 cm a–1和112.1 cm a–1),計算出巖心的甲烷流出量。甲烷周轉率和甲烷通量轉換為mmol m–2 d–1。
沉積物參數
巖芯切片后,立即每厘米取一次沉積物甲烷樣品,使用截留的3 mL PE注射器對2 cm3沉積物進行二次取樣,并將沉積物轉移到10 mL頂部空間玻璃瓶(見上文)中,玻璃瓶中填充有5 mL 2.5%w/v NaOH。樣品通過氣相色譜法進行分析(見上文)。對每體積沉積物的濃度進行孔隙度校正,以獲得每體積孔隙水的甲烷濃度,并與流入和流出濃度值進行比較。
為了測定孔隙率,在小瓶中稱量約2 cm3的沉積物(預稱重),冷凍干燥,然后重新稱重。使用重量差計算孔隙度,并假設干分數的密度為2.5 g cm–3。
使用CARLO ERBA元素分析儀NA 1500分析孔隙度樣品(凍干)的小子樣品(約20μg)中的總C、總N和總S。根據酸化(添加0.25 mmol L–1 HCl)和非酸化樣品之間的C含量差異確定TOC。所有測量均重復進行。
放射性示蹤物測量
為了測定硫酸鹽還原率和AOM速率,在從主巖芯二次取樣的兩個聚碳酸酯子巖芯中,我們使用radiotrac-ers的全巖芯注入法(J?rgensen 1978)。對于AOM測定,將溶解于缺氧無菌水中的15μL 14CH4(2 kBq,比活性2.28 GBq mmol–1)和溶解于無菌水中的6μL 35SO42(250 kBq,比活性37 TBq mmol–1)分別以1 cm的間隔注入每個芯樣。子核在10℃的黑暗中培養24小時。孵育后,分1厘米的步驟將子核切片。通過將沉淀物轉移至20 mL 2.5%NaOH(40 mL玻璃瓶,橡膠塞)中進行AOM,并轉移至20%ZnAc(50 mL塑料離心管)中進行硫酸鹽還原,終止培養,并劇烈搖晃。根據Treude et al.(2005)(氣體色譜、14CH4燃燒和計算)和Joye et al.(2004)(14CO2捕集)分析AOM樣品。在Kallmeyer等人(2004)的冷鉻蒸餾之后,對硫酸鹽還原樣品進行了分析。在添加示蹤劑之前,首先將對照樣品(分別為AOM和硫酸鹽還原的5個和3個重復)轉移到終止瓶中。
現場采樣(Eckernf?rde Bay)
在SLOT系統的第一次測試中,我們使用了埃克恩-費爾德灣(德國波羅的海;北緯54°31',東經10°02'的Boknis Eck時間序列站的含氣沉積物;有關詳細信息,請參閱Bange et al.2010)。該地區的沉積物(28 m水深)具有高有機碳含量(5-6%,Whiticar 2002)和6 mm y–1的平均沉積物累積率的特點(Nittrouer et al.1998)。有機碳主要是在浮游生物大量繁殖期間產生的(Bange et al.2010)。由于甲烷產量高,沉積物在硫酸鹽-甲烷過渡帶(約>40 cm)下方含氣。產生的游離甲烷氣體會形成一個聲學混濁層(Ander-son et al.1998;Jackson et al.1998;Richardson and Davis 1998),并導致氣泡釋放到水柱中(Abegg and Anderson 1997;Boudreau et al.2001)。據描述,AOM出現在沉積物頂部30 cm處(Treude et al.2005)。
2010年8月23日,我們在與RC“Littorina”一日游期間,使用小型多芯(K.U.M.)對Boknis Eck的表層沉積物進行了采樣。通過將一個槽襯(內徑6.1 cm,外徑7 cm,總長度30 cm,回收沉積物芯的長度20 cm)推入每個多芯巖芯,在10°C冷卻室內對兩個多芯巖芯(芯襯長度62 cm,芯長32 cm,內徑10 cm)進行二次取樣。用于封閉底部巖心的玻璃纖維過濾器和蓋子應用于水下(人工海水;鹽度22 psu,水族館鹽,熱帶海洋)。槽芯最終在外部干燥,蓋和芯之間的連接用無殘留物的硅膠密封。使用注射器將上清液(頂部)和分配器容器(底部)中的氣泡立即替換為缺氧“海水”介質,注射器中的針頭穿過硅密封的取樣孔。
將來自Eckernf?rde灣的兩個狹縫巖心安裝到狹縫系統中,并采用兩種不同的流態來研究AOM在不同流體和甲烷通量下的響應時間和效率。將介質的鹽度調整到采樣點的底部水位(22 psu,Treude et al.2005)。在開始試驗之前,用缺氧的富含硫酸鹽的“海水”介質從上到下沖洗巖芯約40天(泵速20μL min–1,流速572 cm y–1,水文停留時間26天),以去除原位孔隙水,并確保在試驗開始時整個巖芯都能充分利用硫酸鹽。在此沖洗階段,底部端口用作流出口。在此階段之后,將缺氧甲烷富集的“滲流”介質連接至巖芯底部,并在頂部安裝介質流出口。在實驗的主要階段,用滲流介質從底部以不同的泵速沖洗兩個巖心:低流速為0.5μL min–1(從現在起縮寫為LFC表示“低流速巖心”),高流速為5μL min–1(從現在起縮寫為HFC表示“高流速巖心”)。使用0.83的平均孔隙度和28.3 cm2的橫截面積,這些泵流量產生的總流量分別為11.2 cm y–1和112.1 cm y–1,處于中高水平的自然滲流條件(Torres et al.2002;Tryon et al.2002;Hensen et al.2004、2007;Linke et al.2005)。我們沒有采用較低的流速,因為在沉積物內部測量流體遷移的任何影響之前,需要花費太多的時間(>60個月)。同樣,我們沒有采用更高的流速,因為這將使硫酸鹽滲透深度最小化,并將AOM層基本上推出沉積物(Niemann et al.2006)。此外,極高的流速可能會導致巖心襯管壁和沉積物巖心之間的流體流動發生渠化。我們能夠在應用流量范圍內避免這種影響,因為后來通過建立地球化學梯度證實了這一點。然而,應記住,沉積物本身的自然不均勻滲透性可能導致渠化,從而降低流體的停留時間,從而降低微生物底棲甲烷過濾器的效率(Som-mer et al.2006;Wankel et al.2012)。
在巖芯頂部,用20μL min–1的泵將海水介質永久泵入上覆水中,以確保恒定的硫酸鹽濃度和硫酸鹽擴散到沉積物中。運行310天后,交換兩個巖心的流速,以研究AOM對流速快速變化的反應。表3給出了運行時和流量的概述。如上所述,每隔1-2個月對流出、流入和垂直取樣孔進行二次取樣/測量。
表3:。低流量和高流量堆芯(頂部)中的甲烷通量、平流和泵速概述,以及低流量和高流量狀態下的實驗階段和運行時間(底部)。

插槽孵化結果和數據討論
地球化學梯度的演變(第0天至第310天)
在滲流介質(560μmol L–1)中,通過惰性示蹤劑溴化物追蹤沉積物巖芯底部的流體平流。在低流量巖芯(LFC,11.2 cm y–1)中,在巖芯下部(30-70μmol L–1,12 cm沉積物深度;圖5A、D、G、J、M和P)僅觀察到溴化物濃度的微小增加。相反,溴酰胺濃度從高流量堆芯底部持續增加(HFC,112.1 cm y–1)。32天后,可衡量的溴化物滲透已經開始(圖6A)。129天后,溴化物到達沉積物-水界面(112μmol L–1;圖6G)。在隨后的132天內,在3至8 cm的深度(約230-450μmol L-1;圖6J、M和P)建立了溴胺的化斜。硫酸鹽剖面(圖5和圖6;A、D、G、J、M和P)通常反映了溴的剖面,表明平流流體置換了常住孔隙水。HFC(33-505μmol L-1;圖6B、E和H)中的Sul-fide最初高于LFC(20-365μmol L-1;圖5B、E和H),表明實驗前第一個巖芯中的硫酸鹽還原活性較高。然而,在實驗過程中,情況發生了變化。在LFC中,硫化物累積,在19 cm處169天后達到最大650μmol L–1(圖5 K),而在HFC中,硫化物似乎通過平流流體從巖芯中去除。
圖5:。在運行32(A、B、C)、80(D和E)、129(G、H和I)、169(J、K、L)、234(M、N、O)和303(P、Q R)天后,在埃克恩費爾德灣低流量巖芯(LFC)沉積物中測得的地球化學參數。所示為硫酸鹽、溴化物(A、D、G、J、M和P)、硫化物、總堿度(B、E、H、K、N和Q)、氧化還原電位(C、I、L和R)和pH值(L、O和R)。
海水和滲流介質中的總堿度(TA)的初始濃度均為30 meq L–1。在實驗期間,該參數在兩個巖芯的深度和時間上在22和32 meq L–1之間交替變化(圖5和圖6;B、E、H、K、N和Q)。特別是在實驗開始時(運行32-129天),TA大多在堆芯底部較高,向頂部下降。隨著運行時間的增加,觀察到更強的交替。這些朝向較低或較高TA值的交替可能分別表明碳酸鹽巖沉淀和溶解過程(Luff和Wallmann 2003)。
最初,海水和滲流介質中的pH值均調整為7.5。然而,經過一段時間后,LFC(圖5 R)和HFC(圖6 R)頂部的pH值分別增加到8.4和8.8;在天然甲烷滲漏處經常觀察到的一種現象(Glud et al.2004;Beer et al.2006),可歸因于硝酸鹽對硫化物的氧化(Billerbeck et al.2006;Preisler et al.2007)。在我們的實驗中,孔隙水的硝酸鹽濃度只有約4μmol L–1(實驗結束后測量,見下文)。然而,在Eckernf?rde灣沉積物中經常發現的絲狀硫細菌Beggiatoa在其液泡中富集和儲存硝酸鹽(Preisler et al.2007)。即使在低硝酸鹽濃度下,儲存硝酸鹽的能力也會促進巖芯沉積物-水界面的硫化物氧化。在Eckernf?rde Bay,平均0.16 mmol m–2 d–1硫酸被硝酸鹽氧化(Preisler et al.2007),相當于我們系統中的0.45μmol d–1(橫面積28.3 cm2)。槽系統的沉積物由0.12μmol硝酸鹽d-1提供,因此,根據硝酸鹽異化還原為銨(J?rgensen和Nelson 2004),理論上可以氧化0.12μmol硫化物d-1,這接近Preisler et al.(2007)的參考平均值。在6 cm沉積物深度以下,pH值在7.6和8.0之間(圖5和圖6;L、O和R),這通常出現在AOM區(Knittel和Boetius 2009),可以通過鐵硫化物的沉淀來解釋。由于沉積物一直呈黑色,我們無法通過目視檢查獲得有關鐵硫化物新沉淀的任何信息。然而,假設埃克恩費爾德灣沉積物中存在硫化物鐵沉淀(Preisler et al.2007;Dale et al.2013)。通常,與LFC相比,HFC中的pH值更高(高達0.3個單位),而LFC的氧化還原電位在上部厘米處更高(0-2厘米,介于–10 mV和–160 mV之間;圖5C、I和L),在較深的沉積物中更低(低于2厘米,介于–150和–245 mV之間)。氧化還原值在0-100 mV之間表示從缺氧沉積物過渡到亞缺氧沉積物,并支持推測的硫化物被硝酸鹽氧化(見上文)。運行303天后,沉積物上部厘米處的氧化還原曲線為–47 mV(圖5 R),底部的氧化還原曲線為–346 mV。與此相反,HFC的氧化還原曲線通常更負(–170 mV和–360 mV;圖6 C、I、L和R),并且更均勻地分布在整個沉積物巖芯上。通常未觀察到氧化還原值的增加,或僅在HFC頂部非常微弱。較深沉積層(2cm以下)中的負氧化還原值表明,硫化物-硫酸鹽氧化還原偶引起的條件降低(Schulz 2000)。
圖6:。在運行32(A、B和C)、80(D和E)、129(G、H和I)、169(J、K和L)、234(M、N和O)和303(P、Q和R)天的埃克恩費爾德灣高流量巖芯(HFC)沉積物中測得的地球化學參數。顯示了硫酸鹽、溴化物(A、D、G、J、M和P)、硫酸鹽、總堿度(B、E、H、K、N和Q)、氧化還原電位(C、I、L、R)和pH值(L、O和R)的孔隙水剖面。
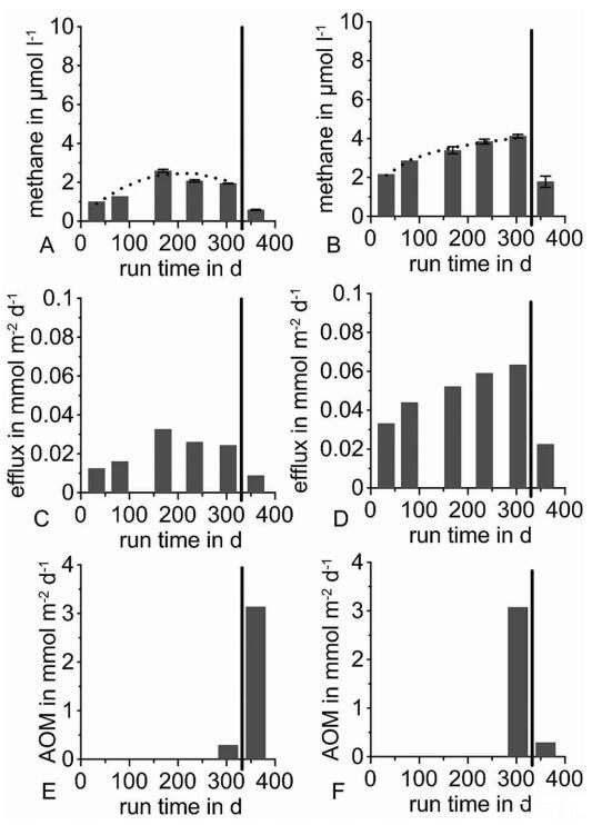
在滲流介質底部流入量中測得的甲烷濃度在771和1060μmol L–1之間(平均930μmol L–1,±111 SD,n=6)。未檢測到海水介質頂部流入的甲烷濃度。在實驗過程中,在頂部流出的介質中,甲烷緩慢增加。該介質代表滲流和海水介質的1:4(HFC)和1:40(LFC)混合物。在LFC中,169天后,流出液中的甲烷濃度增加至約2.6μmol L–1的最大值(圖7A),并略微降低至約1.9μmol L–1的值,直到流量發生變化。混合頂水柱中2.6μmol L–1的甲烷濃度對應于沉積物-水界面處的約23μmol L–1,假設水柱中未消耗甲烷。在HFC中,混合上清液水柱中的甲烷濃度是LFC的兩倍(運行32–303天后,分別為2.2–4.1μmol L–1,圖7 B),對應于沉淀-水界面處的230μmol L–1,并持續增加,直到流速互換。在HFC中,甲烷濃度沒有達到一個平臺,但根據實驗趨勢線,我們預計100-200天后會達到該平臺。對于LFC和HFC,根據甲烷濃度測量計算的甲烷流出量分別達到最大值0.033和0.065 mmol m–2 d–1(圖7C,d)。流出量僅為流入甲烷濃度預測值的一小部分。如果我們假設缺失的甲烷被甲烷NOTROPH消耗,我們可以估計LFC和HFC的AOM率分別為0.29 mmol m–2 d–1和3.15 mmol m–2 d–1(圖7E,F)。
圖7:。交換前后系統流出(A,B)中的甲烷濃度(μmol L–1)、甲烷流出(mmol m–2 d–1;C,d)和AOM速率(mmol m–2 d–1):(A,C,E)來自埃克恩費爾德灣的低流量堆芯(LFC)和(B,d,F)高流量堆芯(HFC)。垂直線標記流體流量交換的時刻(低流量→高流量,反之亦然)。誤差條(A,B)表示三次重復氣相色譜測量的標準偏差;前兩個數據點代表單個測量值。點-ted線代表交換前甲烷濃度發展的趨勢線(低流態:5×10–6×truntime2+0.02 truntime+0.285,r2=0.825;高流態:0.8576×ln(truntime)-0.8662,r2=0.987)。
地球化學梯度的演變(第310天至376天)
交換流速后(11.2 cm y–1變為112.1 cm y–1,反之亦然),40天后,通過底部溴化物滲透的減少,可以在原HFC(從現在起稱為“新低流量堆芯”=NLFC)中追蹤到減少的流量(比較圖6P和圖8D)。相應地,硫酸鹽從上覆水柱深入沉積物(對比圖6和圖8D)。相反,之前的LFC(從現在起稱為“新高流量堆芯”=NHFC)在較低的12厘米處顯示出高達300μmol L–1的溴濃度脈沖。因此,硫酸鹽在這些深度處減少,在巖芯底部達到低于7 mmol-1的值(圖8A)。
圖8:。在360天運行時間后,即更換流速后50天,在新高流量巖心(NHFC;A-C)和新低流量巖心(NLFC;D-F)沉積物中測得的地球化學參數。所示為硫酸鹽、溴化物(A和D)、硫化物、總堿度(B和E)、氧化還原電位和pH值(C和F)的孔隙水剖面。
NHFC中的硫化物濃度(圖8B)與之前的情況相比有所下降(圖5P,運行303天)。在上部(0至11 cm),硫化物值介于43至63μmol L–1之間,11 cm以下介于73至151μmol L–1之間。這兩個部分的過渡對應于下方溴含量增加最快的部分,這描繪了流速交換后產生的向上遷移流體脈沖的界面。在NLFC中,兩個硫峰(181和134μmol L–1)分別建立在8和17 cm的沉積深度處,并在11 cm處用最小值(44μmol L–1)隔開(圖8 E)。
在11 cm沉積物深度處,TA從NHFC頂部(22.5 meq L–1;圖8 B)下降至最小18 meq L–1。在11 cm以下,TA向巖芯底部增加(24 meq L–1),對應于硫化物的輕微增加,即表明AOM活性。在NLFC中,TA從沉積物頂部的22.8 meq L–1(圖8 E)線性增加至巖芯底部的25 meq L–1。
NHFC核心的pH值為8.77,與流速增加前沉積物-水界面的pH值相似。在4 cm以下,pH值降低,范圍在7.35至6.95之間(圖8C)。根據硫化物濃度的降低,pH值的降低可以用硫化鐵沉淀來解釋(Preisler等人,2007年)(見上文)。在NLFC中,pH值在頂部增加到8.60,在6 cm沉積物深度以下穩定在7.5左右。
交換流速后,NHFC沉積物表面(0-1 cm)的正氧化還原電位為147 mV(圖8C),表明沉積物氧化(Schulz 2000)。氧化可能是暫時性氧氣侵入的結果,上清液水柱中的氧氣指示劑瑞蘇林呈粉紅色即證明了這一點。在沉積物表面以下,氧化還原電位在2 cm深度處迅速下降至–200 mV,在9 cm沉積物深度以下下降至–350 mV以下。在NLFC中,靠近沉積物表面的氧化還原電位約為–238 mV(圖8F),剩余沉積巖芯的氧化還原電位介于–300 mV(2 cm)和–354 mV(底部)之間。
更換流型50天后,兩個巖心槽系統流出的甲烷濃度均下降。平流流量的減少可能導致NLFC中甲烷傳輸的緩解(甲烷濃度1.8μmol L–1;圖7B,甲烷流出0.022 mmol m–2 d–1圖7D)。NHFC中的甲烷濃度從1.9μmol L–1降至0.6μmol L–1(圖7B),相應的甲烷流出量從0.029 mmol m–2 d–1降至0.009 mmol m–2 d–1(圖7C)。在這里,我們更希望在增加甲烷流量后,流出的甲烷增加。我們只能推測這種意外行為的原因。也許潛伏期太短,無法讓新的甲烷鋒到達沉積物-水界面。另一種可能性可能是,流量突然增加會影響沉積物的物理性質,例如,通過增加壓實度,從而延緩甲烷在流出中的反應。對于NHFC和NLFC,通過流入和流出甲烷差異計算的AOM速率分別為3.132和0.290 mmol m–2 d–1(圖7E,F)。
試驗結束后沉積物中的生物地球化學梯度
總運行時間為376天后,停止實驗,對兩個核心進行切片和二次取樣。切片前,立即提取孔隙水,分析硫酸鹽、硫化物和硝酸鹽濃度。
兩個巖芯中的硫酸鹽濃度分布相似,從頂部(19 mmol L–1)到底部(NHFC和NLFC分別為5.8 mmol L–1和2.2 mmol L–1;圖9B和E)。與24天前的先前測量點相比,硫酸鹽在NHFC中進一步向頂部移動,并深入到NLFC中的沉積物中。NHFC的硫化物分布在10 cm處顯示出一個清晰的峰值(560μmol L–1;圖9C),而之前在10-16 cm之間的硫化物值略有增加(160μmol L–1)。NLFC的硫化物分布與前一個相似(最大值為7 cm,183μmol L–1),峰值為6 cm(228μmol L–1;圖9F)。僅在底部(NLFC和NHFC中分別為3.6和3.7μmol L–1)和頂部(NLFC中為4.4μmol L–1)測量硝酸鹽濃度。
圖9:。切片后(376天運行時間)新高流量巖心(NHFC;A-C)和新低流量巖心(NLFC;D-F)中的生物地球化學參數。顯示了甲烷(A、D、cross)、硫酸鹽(B、E、cross)、硫化物(C、F、dots)的孔隙水剖面,以及AOM(A、D、bars)和硫酸鹽還原(SR)(B、E、bars)的放射性示蹤物測量結果。
兩個沉積物巖心中的孔隙水甲烷濃度自上而下增加,即NHFC中從4.5μmol L–1增加到21μmol L–1(圖9A),NLFC中從4μmol L–1增加到9.5μmol L–1(圖9D)。然而,即使是巖芯底部的最高甲烷濃度(21μmol L–1)也僅代表輸入濃度(930μmol L–1)的一小部分,這將在“槽系統的功能”一節中進一步討論
NHFC巖芯的硫酸鹽還原活性沒有明顯的深度趨勢。硫酸鹽還原率在5–之間波動。0和23.7 nmol cm–3 d–1(圖9B)。在NLFC中,上部9 cm處的硫酸鹽還原率最高(高達28.9 nmol cm–3 d–1,4-5 cm;圖9E),下部低于9 nmol cm–3 d–1。在培養過程中,硫酸鹽濃度相對較低,低于9 cm(0.07-2 mmol L–1,在129-310天的運行時間內,圖6G、J、M和P),這可能解釋了巖芯這部分硫酸鹽還原率較低的原因。與NHFC相比,活性較低的另一個原因可能是生物擾動導致埃克恩-費爾德灣沉積物中有機物的不均勻分布和相關的有機碎屑硫酸鹽還原(Treude et al.2005;Bertics et al.2013)。基爾灣最著名的生物擾流器是多毛類(Graf et al.1983;Meyer-Reil 1983)。這些生物和其他生物增加了沉積物中有機物的不均勻分布,這些有機物在沉積物取樣后被保留(Bertics et al.2013;Dale et al.2013)。此外,嬰兒在除氧后死亡可能會在地核內提供額外的不均勻分布的有機物質來源。兩個巖芯在整個沉積物深度上的硫酸鹽還原計算面積率相似:NHFC(0-19 cm)中為2.6 mmol m–2 d–1,NLFC(0-21 cm)中為2.7 mmol m–2 d–1。總的來說,與硫酸鹽還原法相比,AOM率要低得多。NHFC和NLFC的AOM率分別為0.06-5.32 nmol cm–3 d–1(圖9A)和0.13-1.23 nmol cm–3 d–1(圖9E)。面積AOM率分別為0.5和0.1 mmol m–2 d–1。硫酸鹽還原率與AOM速率的高比率可能反映出巖芯中有機碎屑硫酸鹽還原的高比例(見上文)。一般來說,硫酸鹽還原和AOM速率較低,與之前在Eckernf?rde Bay的研究中測得的速率相比幾乎低一個數量級(4.1-10.5 mmol m–2 d–1硫酸鹽還原,0.5-1.5 mmol m–2 d–1 AOM,上部25 cm,Treude et al.2005)。我們實驗中使用的沉積物從海底(bsf)以下0-21 cm處取樣,該區域略高于所報告的20-25 cmbsf的主要AOM區(Treude et al.2005)。因此,較低的AOM速率可能與沉積物中較低的AOM生物初始豐度有關。我們認為,ANME微生物不可能在整個巖芯上顯著富集,因為活動和生長可能僅限于非常狹窄的SMTZ。其他實驗報告ANME在1.1-7.5個月之間加倍,但這是在理想的甲烷/硫酸鹽條件下實現的(Girguis et al.2005;Nauhaus et al.2007;Krüger et al.2008;Meulepas et al.2009)。
NHFC和NLFC的沉積物孔隙度分別從頂部(兩個巖芯的孔隙度均為0.88)下降至底部(0.78和0.82;圖10C和F),與之前研究中確定的值相似(Treude et al.2005;Bertics et al.2013;Dale et al.2013)。總碳(TC)主要由有機部分(TOC)控制(圖10A和D)。無機碳(TIC)源只是TC的一個次要成分(0.02-0.33%w/w)。一個例外是NHFC中的深度段5-11 cm,其中TIC顯示出0.57%w/w的離散峰值。這種碳酸鹽堆積可能在實驗之前就存在了。然而,360天運行期的溴化物和硫酸鹽的孔隙水剖面表明,實驗產生的滲流鋒位于11 cm深(圖8A),表明AOM活性最高的區域,這可能導致原生碳酸鹽的沉淀。平均而言,NHFC中的TIC含量(0.208±0.162%w/w)高于NLFC(0.071±0.034%w/w)。
圖10:。在新高流量巖心(NHFC;A-C)和新低流量巖心(NLFC;D-F)的沉積物巖心中測得的沉積物固相參數:(A和D)總碳含量(TC)、總有機碳含量(TOC)、總無機碳含量(TIC),單位為干重的%w/w;(B和E)總氮(TN)、總硫(TS),以干重的%w/w表示,C/N比;(C和F)沉積物的孔隙度。
與NLFC(1.618±0.13%w/w;圖10E)相比,NHFC中的總硫(TS)含量平均較低(1.36±0.23%w/w;圖10B),并且在兩個巖芯的整個深度上都是恒定的,除了下部的峰值(1.93%w/w,15 cm,NHFC;1.90%w/w,19 cm NLFC)。1.5-2%的TS值較高,但常見于C-org含量較高的沉積物(Rullk?ter 2006)。巖芯之間TS的差異可能表明NLFC中的高硫酸鹽還原率導致金屬硫化物沉淀。
兩個巖芯的總氮(TN)和碳氮比值在深度上相對一致(圖10B和E)。TN在0.46和0.59之間,C/N值在9.5-10.8之間,NLFC中15 cm處的豁免值為12.8,這是相應的高TOC值的結果。TN和C/N值與之前在Eckernf?rde灣進行的一項研究(Whiticar 2002)的前2 m沉積深度的異地數據一致。
插槽系統的功能
本研究的目的是開發一個沉積物流經系統,以使用完整的沉積物巖芯模擬甲烷滲漏處的自然流體流動條件,并能夠連續測量整個巖芯的生物地球化學參數,以監測與流體和甲烷流量變化相關的參數的演變。總體而言,系統顯示出良好的功能和性能。根瘤菌和微傳感器提供了一種簡單的方法來采樣和測量核心內的變化和反應,從而能夠在實驗期間監測各種參數。通過泵送系統,成功地調整了“海水”擴散與滲流介質平流輸送之間的平衡。通過這種方法,可以模擬真實的滲流條件。這兩個儲層系統提供了一種相對簡單的方法來供應幾乎飽和的甲烷介質,類似于Wegener和Boetius(2009)的研究。
通過追蹤溴化物示蹤劑,我們證明:(a)富含甲烷的滲流流體成功地從巖芯底部平流,(b)滲流流體在自然條件下通過孔隙空間遷移和分散,就像在沒有系統誘導的渠化作用的情況下一樣,(c)滲流和海水介質形成了一個化學斜帶,代表硫酸鹽-甲烷過渡帶,沉積物內部。應該強調的是,在天然沉積物中,由于孔隙空間、大小和分布的不均勻性,流體輸送很少是均勻的。增加的流體流量可能會加強沉積物內不同的流體通道,并導致更高的滲透率。然而,通過兩個巖芯沉積物的流體流動似乎相對均勻,這是由陡峭的孔隙水梯度的發展所表明的。只有一份硫酸鹽剖面圖(NHFC,圖5D)表明,80天后出現液體旁路,隨后再次消失,這可能是由根際取樣程序引起的。使用微傳感器或根線的每個取樣程序都可能會對系統造成干擾。因此,找到最佳采樣間隔和體積是基礎,在這兩者之間,系統能夠在采樣后“恢復”。然而,不僅每個深度段的單個采樣體積,而且整個巖芯上收集的孔隙水總量,似乎都會影響溶解參數的剖面。例如,與之前的采樣(圖9E)相比,當直接在巖芯切片之前(376天)從NLFC中提取總共96 cm3的孔隙水時,硫酸鹽穿透深度更高,化斜變平(圖8D),這表明總樣本體積太大,導致剖面平滑。我們計算了整個巖芯和該取樣程序的稀釋度為1:0.2(孔隙水:海水介質)。假設在正常(39 cm3孔隙水體積)取樣程序(稀釋1:0.08)期間,平滑效果不太明顯。在巖芯上部厘米處,稀釋效應尤其強烈,其中替換液直接從上覆海水中抽取,導致硫酸鹽滲透增加。
巖芯切片后采集的樣品中測得的甲烷無法確認進入底部沉積物巖芯的輸入甲烷濃度(930μmol L–1)。取樣程序,包括孔隙水提取和巖芯切片期間較長的取樣時間,可能會促進樣品固定前甲烷的主要損失。根瘤菌的使用可能對沉積物芯中溶解甲烷濃度產生不同的影響。首先,可能是由于根采樣過程中產生的負壓脫氣而損失了不成比例的大量甲烷。其次,在實驗結束時提取過大的孔隙水樣品體積(見上文),可能會稀釋甲烷剖面,尤其是因為流體只能從上覆的無甲烷海水介質中補充(與滲流介質的連接已關閉)。我們可以排除甲烷在流入(快速接頭)和沉積物芯之間損失,即在分配容器中損失。通過施加欠壓和超壓進行測試,在該截流中未檢測到泄漏。分配容器的體積約為90 mL,位于過濾器正下方,過濾器將濾芯與介質分離。即使在孔隙水提取過程中,也沒有觀察到氧氣侵入蓋或通過襯里和硅(由resazurin證實)。因此,甲烷通過這一途徑流失似乎是不可信的。
在我們的方法中,AOM率是根據培養期間甲烷濃度的流入和流出差異得出的,即在流量交換之前(303天)和之后(360天),另外還通過實驗結束后(376天)的放射性示蹤物測量得出的。相比之下,在第376天,NHFC和NLFC中用放射性示蹤劑測量的AOM率分別達到第360天通過流入和流出測定的AOM率的16%和35%。放射性示蹤劑測量得出的AOM率較低可能是由于孔隙水取樣期間的甲烷損失(見上文),這導致甲烷濃度較低,因此甲烷周轉率較低(Nauhaus et al.2002)。因此,使用AOM速率可能更可靠,AOM速率是根據流入和流出樣品中甲烷的差異計算得出的,該差異不受該偽影的影響。或者,可以減少孔隙水取樣的體積,以避免甲烷損失,或者可以增加最終孔隙水和沉積物取樣之間的時間,以允許系統重新建立原始甲烷梯度。然而,對于NHFC,應考慮通過流入和流出計算的AOM速率也可能被高估,因為應用的運行時間可能不足以使新的甲烷鋒到達沉積物表面(流體的水文停留時間=104.5天)。因此,建議在交換后延長運行時間。
與以前系統的比較
之前開發的系統用于研究AOM相關微生物的生長速率(Girguis et al.2003;Meulepas et al.2009)、AOM反應動力學(Wegener and Boetius 2009;Deusner et al.2010;Zhang et al.2010;Wankel et al.2012)或用甲烷菌富集樣品(Meulepas et al.2009)。這些系統理想化了微生物活動的條件,有時還進行了優化。因此,在以前的系統中,預計會有更高的更替率。目前和以前系統之間的技術差異是(1)靜水壓力和相關甲烷濃度,(2)甲烷和硫酸鹽的供應方向,(3)樣品類型(泥漿或完整沉積物),(4)穩態或非穩態條件。
一些參考系統在高靜水壓力下孵育(Deusner et al.2010;Zhang et al.2010),從而產生更高的甲烷濃度。因此,與我們的研究相比,在這些條件下,AOM發生率要高得多。然而,含氣體的高壓系統需要高安全標準和復雜的子采樣。據我們所知,從受壓完整沉積物巖心中提取孔隙水和進行微傳感器測量仍然不可行。
在以前的所有系統中,硫酸鹽和甲烷都是單向供應的,這與自然設置不同,可以掩蓋高流體流量或反應物熱動力學限制的影響。只有Wegener和Boetius(2009)研究了硫酸鹽和甲烷的限制,但仍在一個流動方向。
除了AMIS(Girguis et al.2003)和Wankel et al.2010的熱力系統之外,之前的大多數系統都使用均質沉積物泥漿進行測量。Meulepas et al.(2009)、Deusner et al.(2010)和Zhang et al.(2010)還攪拌了它們的孵化,以提供理想的底物供應。這種方法最適合研究AOM生物的生理特性,但不適合研究自然沉積物條件下的活動和反應。在AMIS中,使用完整的天然沉積物巖心;然而,無可否認,這些巖芯定期受到采樣程序的干擾,以進行速率和其他測定。在我們的系統中,通過使用薄的微傳感器和永久安裝的根線,將沉積物結構的干擾保持在最低限度。
在本研究中,重點研究了非穩態情況,即厭氧甲烷營養菌對其自然沉積環境中流體狀態變化的直接反應。只有Wegener和Boetius(2009)的脈沖實驗以及Girguis et al.(2005)的AMIS創造了非穩態條件,然而,在這些系統的核心內無法跟蹤AOM群落的響應和相關的生物地球化學過程。
最重要的是,所有以前的系統都有一個限制,即只能對系統的進出口進行采樣和分析。因此,這些系統基本上代表了黑箱,因為反應室或沉積物核心內的生物地球化學發展仍然未知。我們對槽系統的調查表明,沉積物巖心內的條件是不均勻的,并且隨著時間的推移而變化,這突出了監測AOM的析出物(硫)和產物(硫化物和TA)以及pH值和氧化還原電位等直接相關參數的重要性。除AOM外,許多其他反應都與滲漏沉積物中的甲烷或流體流動間接相關。這些反應包括自生碳酸鹽的沉淀(Luff和Wallmann 2003;Han et al.2004;Karaca et al.2010)和金屬硫化物(Morse et al.2002;Orcutt et al.2011)、孔隙度和滲透率的變化(Tenthorey和Scholz 1998;Zhang et al.2010)以及硫化物氧化(Glud et al.2004;Beer et al.2006;Preisler et al.2007)。具體而言,化能自養生物的硫化物氧化可以改變硫的供應(Glud et al.2007),以及SMTZ的深度(Preisler et al.2007)。如果不監測整個沉積物巖芯的孔隙水和沉積物參數,所有這些影響都會被忽略。因此,SLOT系統為這些影響提供了更現實的觀點,并為深入研究這些過程以回答這些長期存在的問題提供了新的機會。
意見和建議
在此,我們將重點介紹插槽系統的一些重要特性,并為將來的重建和開發提供建議。
溴是平流流體的合適示蹤劑,原因有很多:(1)離子色譜法很容易與其他陰離子進行分析,因此不需要額外的樣品;(2)它是海水的天然成分,但據我們所知,沒有必要的營養素(微生物惰性);(3)它不會改變滲流介質中的任何參數(如果是鹽度,則用氯化物代替)。通過溴化物監測孔隙水的遷移有助于進一步決定實驗的總運行時間和終止時間。
插槽系統比AOM刺激了更多的進程。尤其是TA剖面的變化表明了沉淀和溶解過程。為了更好地使用該參數監測AOM和硫酸鹽還原動力學,可以將介質中的初始TA濃度(~30 meq L–1)降低到海水水平(~2.3 meq L–1)。
在整個實驗過程中,介質組成的一致性是正確預算的先決條件。在我們的實驗中,我們觀察到介質中晶體的沉淀(可能是CaCO3和金屬硫化物),以及甲烷(±110μmol L–1)和硫化物濃度的波動。這些波動會影響系統的預算,并可能改變介質條件,例如碳酸鹽沉淀引起的pH值變化。與Deusner et al.(2010)、Zhang et al.(2010)、Wankel et al.(2012)和Girguis et al.(2003、2005)的系統類似,先進的攪拌或滲透介質儲層將是對系統的有益改進。攪拌介質可以防止鹽、碳酸鹽和金屬硫化物的預沉淀,而滲濾可以保證更好的甲烷均勻溶解。
安裝的取樣孔(直徑4 mm)允許在實驗過程中對小型沉積物子樣品進行二次取樣,這可以通過分子分析調查實驗過程中微生物群落結構或細胞豐度的變化。然而,由于這種方法可能會改變沉積物性質并刺激流體渠化,因此不建議將其與平流輸運實驗結合使用。
插槽系統的許多其他應用也是可能的。例如,可以模擬其他底棲滲流系統,例如鹽水、熱液或石油的滲流。缺氧海水可以被含氧海水交換,以研究沉積物-水界面的全譜生物地球化學反應。此外,可以在沒有平流流體的情況下安裝沉積巖心,以研究沉積在沉積物表面的有機物或漏油的去向。系統的海水介質可以很容易地改變以進行研究,例如,硝酸鹽、錳或鐵等不同電子受體的影響。
相關新聞