熱線:021-66110810,66110819
手機:13564362870

熱線:021-66110810,66110819
手機:13564362870
在本節中,我們將詳細介紹平面燃料電池設計以及用于同時記錄電流、電壓、溫度、氧氣和相對濕度數據的設置。我們還描述了Z(垂直)和Y(水平)空間剖面掃描程序;瞬態(時間)測量方法;以及校正氧氣和RH微傳感器讀數所需的溫度校準方法。
電池硬件。-這些研究中使用的燃料電池組件在之前的其他地方已經詳細描述過,9并且在此僅簡要概述。系統的外部尺寸為7×7×1厘米。氫氣進料室是一個Delrin加工背板,帶有兩個氫氣分配通道(每個通道寬5 mm,深5 mm,長3 cm)。我們使用印刷電路板(PCB)陽極結構,具有1.5 mm寬的平行流道,間距為1.5 mm。10,11我們使用自增濕、基于Nafion 112的五層膜電極組件μmEA(BCS Fuel Cells Inc,Bryan,Texas),活性面積為3 x 3 cm,陰極上負載3 mg/cm2催化劑,陽極上負載0.5 mg/cm2催化劑。陰極集電器采用鍍有10mm鎳和1mm金的150μm厚316L不銹鋼板。不銹鋼板具有一系列直徑為150μm的蝕刻圓形開口,便于水和氧通過集電器傳輸。陰極的頂層是一個剛性PCB上部結構,有11個平行肋,寬度為1.5 mm,間距為1.5 mm(中心距為3 mm)。我們在PCB上部結構上沉積了66μm的Cu、10μm的Ni和1μm的Au,以提高導電性和抑制腐蝕。12八個螺栓將組件固定在一起,每個螺栓上的扭矩為1 Nm。放置在各層之間的硅橡膠墊圈密封陽極室,并提供最佳MEA壓縮。
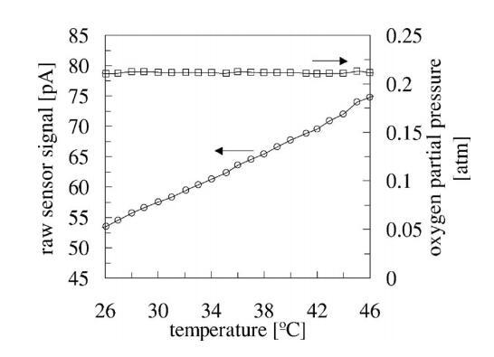
圖1. 氧氣微傳感器電流輸出和溫度曲線圖校準氧氣濃度與空氣溫度的函數關系。
氧氣微傳感器——使用微型克拉克型電化學傳感器(Unisense OX25,-25μm毛細管尖端半徑)測量氧氣分壓,該傳感器由三個電極組成,嵌入一端帶有薄毛細管的管狀玻璃體內。傳感器電極連接到電流放大器(Unisense,PA2000皮安計),該放大器將皮安電平傳感器電流轉換為直流電壓。
由于傳感器電流的強烈溫度依賴性,傳感器讀數進行了溫度校正。使用位于毛細管探針附近的非屏蔽細規K型熱電偶(CHAL-005,歐米茄工程公司,直徑-125μm)測量溫度。溫度補償程序假定熱電偶測得的溫度與氧探頭所經歷的溫度相同。鑒于兩個探頭的尺寸較小且距離較近(中心距小于半毫米),該假設對于此處提出的大多數熱梯度條件非常合理。
克拉克型電化學氧傳感器測量通過薄的氧選擇性膜擴散的氧的電化學還原產生的電流。13由于傳感器在氧擴散限制下工作,輸出信號隨氧濃度的增加而線性增加。然而,由于擴散是一個溫度激活的過程,因此信號會隨著溫度的升高而顯著增加。14通常,傳感器產生的信號S可描述如下:15
式中,PO2是氧分壓,T是傳感器尖端溫度,Z是零氧分壓下的傳感器電流,A和k是描述傳感器溫度依賴性的擬合常數。零電流Z可通過將傳感器暴露于零氧環境(例如,暴露于純氮大氣)來提取。然后根據已知PO2下的一系列溫度測量確定擬合常數A和k。在實驗研究的溫度范圍內,該溫度校正程序穩健可靠。例如,圖1顯示了從空氣中(PO2=0.21)的氧傳感器(從室溫加熱到46°C)獲得的原始和校準溫度校正數據。氧微傳感器的尖端位于熱板表面上方不到一毫米處。通過調節熱板的溫度,尖端的溫度逐漸升高。氧微傳感器尖端的溫度是通過放置在傳感器尖端附近的微型熱電偶測量的。使用低發射率熱板表面(鋁箔),將熱電偶的輻射熱傳遞降至最低。雖然加熱時原始傳感器信號從52 pA增加到75 pA,但溫度校正的PO2值(re)在-0.21 atm(空氣的預期值)下保持穩定。本例中使用的校準值為Z=1.0、A=1.67和k=0.0167。為確保結果準確,在每次實驗運行前后對氧傳感器進行溫度校準。校準參數通常僅隨時間輕微漂移(小于最大值的10%),通常小于5%。
濕度傳感器——使用光纖傳感器系統測量相對濕度,該系統由1550 nm軸向布拉格光柵光纖應變傳感器(GACS0-01FP0100,藍路研究)、光學分束器(BS3DB,藍路研究)、1550 nm寬帶光源(HP 83437A,Hewlett-Packard)和光譜分析儀組成(安藤AQ6317B)光纖傳感器由光纖構成,光纖末端帶有聚合物涂層布拉格光柵。涂層光纖的直徑約為150μm,光柵約為3 mm長。1550 nm寬帶光源通過光學方式連接到分束器的一個端口。來自分束器的透射光r通過布拉格光柵輸入光纖。濕度探頭反射的光在分束器輸出端用光譜分析儀進行分析。相對濕度讀數由布拉格光柵反射的信號光譜的中心波長確定。中心波長由pi通過將光柵響應曲線擬合到預定義的濾波器響應來獲得儀表分辨率。
圖2.此處使用的微探針和作為濕度和溫度函數的參考傳感器的相對濕度測量值的比較。
Blue Road Research Bragg光柵光纖濕度傳感器(sor)采用基于應變的方法測量相對濕度。16光纖布拉格光柵的行為類似于窄帶陷波濾波器。它以由光柵總長度決定的窄帶寬反射光,中心頻率由光柵之間的間距決定。因此,通過監測反射信號的中心波長,可以精確跟蹤彈性應變引起的光柵間距變化。該纖維涂有一層對濕度敏感的聚酰胺薄膜,該薄膜對相對濕度的變化做出線性響應。(薄膜隨著相對濕度的增加而膨脹,在光纖光柵中產生拉伸應變。)然而,由于玻璃纖維的熱膨脹特性,探頭也與溫度呈線性響應。因此,需要進行溫度校準,以提取僅由相對濕度變化引起的探頭信號部分。作為近似值,布拉格光柵濾波器響應的中心波長可以建模為與溫度和相對濕度線性相關的16
式中)0、kRH和kT必須通過校準確定。在校準過程中,將濕度傳感器和參考濕度傳感器(SHT11,Sensirion,Westlake Village,CA)放置在環境室內(SM-3.5S,Thermotron,Holland,MI)。然后對試驗箱進行編程,使其在20、30和40°C的溫度下,在40%和80%相對濕度之間改變相對濕度。定期對參考傳感器的溫度和相對濕度、布拉格光柵反射的光的中心波長以及探頭溫度進行采樣。然后,通過將參考傳感器獲得的相對濕度與過濾器中心波長計算的值進行擬合,獲得校準常數。圖2顯示了參考傳感器隨時間變化的相對濕度和溫度讀數,以及典型校準期間光纖濕度探頭的溫度校正相對濕度讀數。濕度每240分鐘從40%循環至70%,而溫度在540分鐘內從20°C變化至40°C。探頭與參考傳感器一致,確認相對濕度測量值已針對溫度進行了校正。o、kRH和kT的典型值分別為1500 nm、~1 pm/%RH和-10 pm/°C。傳感器的時間響應受到獲得中心波長測量的pm分辨率所需的采樣和平均值的限制。校準后,我們估計相對濕度讀數的絕對精度約為±12%相對濕度。
在討論非等溫條件下的水蒸汽傳輸時,我們發現將相對濕度數據轉換為部分水蒸汽壓(PH2O)數據是有幫助的。相對濕度反映特定溫度下水蒸氣的活動,而PH2O反映該溫度下水的實際濃度(壓力)。(為了突出RH和PH2O之間的重要區別,考慮到在80°C和20% Rh的空氣含有更多的水,PH2~0.10的ATM,比在10°C的空氣和80%的Rh,其中PH2O-0.01atm)在Rh和PH2O數據之間轉換,本文使用以下標準的SATU)水壓力定量表達式。
式中,PH2O是水蒸氣分壓(atm),RH是相對濕度(%),T是溫度(°C)。
實驗裝置。-圖3a示意性地說明了吸氣式燃料電池陰極微傳感器探測實驗的配置。平面空氣呼吸燃料電池安裝在XYZ微操作臺的頂部,開放陰極朝上。電池通過絕緣層與XYZ級進行熱絕緣,并通過外殼與環境進行對流屏蔽。溫度、氧分壓和相對濕度傳感器安裝在剛性光學柱上,然后將其固定在剛性光學實驗板上。所有三個傳感器都對齊,以便它們會聚在空氣呼吸燃料電池陰極中心部分上方區域的小體積空間上。傳感器的相對位置在圖3b中以放大的細節示出。吸氣式燃料電池被放置在光學XYZ級上,與同一光學板底座相連,確保堅固、機械完整、剛性裝配。XYZ工作臺允許精確控制陰極表面和傳感器之間的位移。克拉克毛細管傳感器和光纖布拉格傳感器以共線方式布置,傳感器尖端之間的間距小于一毫米。熱電偶導線在空氣中與光纖平行并位于光纖上方。實際熱電偶位于光纖上方不到半毫米的布拉格光柵起點處。整個實驗裝置被保護在一個部分封閉結構內,以最小化實驗室環境中發生的強制流動對燃料電池陰極上方自然對流羽流的影響。
圖3.(a) 實驗裝置的示意圖,(b)探頭組件的側面示意圖。
在極化、輪廓和瞬態測量期間,平面陰極和傳感器組件的相對位置如圖4所示。傳感器組件由氧傳感器毛細管、帶濕敏布拉格光柵的光纖和帶導線的熱電偶組成。傳感器總是相互平行布置,并帶有陰極肋。在所有實驗中,傳感器之間的相對布置保持不變。幾何點A(y=0毫米,z=0毫米),B(y=0毫米,z=6毫米),C(y=?1.52 mm,z=-0.16 mm),D(y=1.52 mm,z=0.16 mm)和E(y=0 mm,z=1.6 mm)定義了實驗期間傳感器組件的軌跡和位置(由布拉格光柵的幾何中心參考)(對于所有實驗,x=0 mm)。線EB和CD分別代表z(垂直)和y(水平)遍歷期間傳感器組件的軌跡。使用改進的傳感器組件沿AB線測量z橫向相對濕度。在偏振和瞬態掃描期間,傳感器組件位于E點。坐標系的中心位于陰極活動區域的幾何中心,光纖接觸陰極網格的頂部。
測量程序。-一個新的MEA經歷一個“磨合”期,在此期間,電阻在使用過程中逐漸降低。18我們通過在環境溫度和濕度下,將電池中的每個新膜在0.5 V下調節10小時,以避免初始瞬態效應。此外,我們在每次實驗之前對燃料電池進行調節。首先,我們用干燥的壓縮空氣吹掃陽極組件和陰極表面,去除所有冷凝水。接下來,我們用氫氣吹掃陽極室并密封陽極。每次實驗前,我們在900 mA(100 mA/cm2)恒定電流下操作電池15分鐘。
偏振掃描。-對于這些掃描,傳感器組件位于z=-1.6 mm,y=0 mm處(在通道中間,與陰極肋頂部齊平),見圖4中的位置E。電流-電壓極化掃描(I–V曲線)是通過在5分鐘的間隔內以450 mA的步長(50 mA/cm2)增加燃料電池電流,直到電池電壓降至0.4 V閾值水平以下來獲得的。溫度、相對濕度和氧分壓由微傳感器組件連續跟蹤。在每個電流步驟之后,我們讓燃料電池電壓在5分鐘內穩定下來,然后記錄結束期間的電池電位、溫度、相對濕度和PO2。隨后,根據測得的溫度,使用公式3將相對濕度讀數轉換為PH2O值。
圖4.極化、剖面和瞬態測量期間傳感器和燃料電池陰極的相對布置示意圖。
剖面掃描-通過將燃料電池置于固定微傳感器組件下方,提取空間分辨率的濃度和溫度剖面。在水平y橫向移動過程中,傳感器組件相對于陰極的位置從點C的z=1.6 mm和y=?1.5 mm(第一個陰極肋的中心與頂部陰極肋表面齊平;點C)至點D,z=1.6 mm,y=1.5 mm(相鄰陰極肋的中心與頂部陰極肋表面齊平)。另見圖4。
氧分壓和濕度是在單獨的垂直z橫穿中測量的。在相對濕度z穿過期間,傳感器組件相對于陰極表面的位置從z=1.5 mm和y=0 mm處的起點(陰極通道中心,與陰極肋頂部齊平)逐漸改變,另請參見圖4中的點E,到z=6 mm,y=0 mm處的終點(陰極通道中心,高于陰極表面6 mm),另請參見圖4中的點B。氧氣探頭和熱電偶的小測量體積允許從通道底部開始測量PO2。氧氣分壓z橫向測量采用改進的傳感器組件。op)將帶有布拉格光柵的光纖從傳感器組件上移除,并將熱電偶帶到克拉克傳感器的透氧膜附近。此外,兩個傳感器都向下傾斜。這種傾斜允許我們讓傳感器尖端接近陰極通道的底部,而不接觸陰極的其余部分。
對于所有剖面掃描,使用的最小平移步長為10密耳(254μm)。在每個轉換步驟之后,在記錄溫度、相對濕度和PO2讀數之前,讓電池重新平衡2分鐘。
瞬態測量-使用電流中斷技術研究瞬態效應。燃料電池首先在相關電流密度下調節30分鐘,以達到穩定的工作條件。然后突然將電流歸零,并記錄燃料電池電壓、微傳感器溫度、氧分壓和相對濕度的瞬態響應。在這些瞬態測量中,微傳感器組件定位在Y=0 mm,Z=1.6毫米(大致在燃料電池陰極的中間,與通道肋的頂部齊平,并且大致集中在通道的中間),參見圖4中的E點。
對固有傳感器響應速度進行量化,以確定溫度、氧分壓和相對濕度探頭與觀察到的瞬態燃料電池現象的速度相比是否足夠快。通過使每個傳感器經受快速變化的刺激來測量傳感器的固有響應速度。該分析的結果如圖5a和圖5b所示。通過首先將熱電偶放置在熱板表面上方,然后快速將其從熱板上方移除,使熱電偶經受從29°C到21°C的溫度突變。氧傳感器在恒定溫度(0.21至0 atm)下,通過首先將傳感器封裝在充滿環境空氣的小體積外殼中,然后用氬射流置換外殼中的空氣,使PO2發生突變。通過首先將相對濕度傳感器放置在與環境溫度相同但高于環境濕度的環境室中,然后將濕度傳感器從環境室移到環境環境中,相對濕度傳感器的相對濕度從80%突然變化到45%(在恒定溫度下)。我們將這些誘導變化的時間常數分別近似為,]0.01秒、 0.1秒和]2秒。通過將瞬態信號上升時間擬合為單個指數函數來量化傳感器響應速度,從而得出每個傳感器的響應時間常數τ。該分析分別提供τ熱電偶=0.12 s、τ氧傳感器=1.3 s和τRH傳感器=13 s。該分析表明,熱電偶的速度足以研究本文討論的瞬態燃料電池現象(見圖11)。然而,在某些情況下,PO2和RH傳感器的速度與觀察到的燃料電池PO2和RH瞬態相當,因此難以對這些瞬態數據進行定量分析。PO2傳感器的速度主要受通過氧選擇傳感器(sor)膜的氧擴散速度的限制,而RH傳感器的速度主要受pm中心波長分辨率所需的(實時)平均值和曲線擬合的限制。
圖5.(a) 溫度和PO2微傳感器的瞬態響應,(b)相對濕度微傳感器的瞬態響應。
相關新聞