熱線:021-66110810,66110819
手機:13564362870

熱線:021-66110810,66110819
手機:13564362870
圖1、(a),(b)合成后的MnFe2O4不同放大倍率的SEM圖像。(c)MnFe2O4–Na 2CO3混合物(1:1)在600–850°C溫度范圍內的TPD剖面。(d)在等溫實驗中檢測到的CO2+離子的MS信號(m/z=44)。(e)在從RT加熱至800°C、氮2下,原位XRD圖案顯示MnFe2O4–Na2CO3混合物(1:1)。掃描電子顯微鏡(SEM);TPD,溫度程序脫附;XRD,X射線衍射。
圖2、(a)在800°C至400°C間的10次脫碳-碳化循環中,MnFe2O4–Na2CO3混合物的質量剖面。(b)與脫碳和碳化步驟相關的質量變化。(c–f)MnFe2O4–Na2CO3混合物的掃描電子顯微鏡圖像,攝于第三循環后。這些圖像分別是在第三次脫碳(c–d)和第三次碳酸化步驟(e–f)之后拍攝的。(g)導致首個循環可逆性降低的燒結和相合并過程的示意圖。掃描電子顯微鏡,掃描電子顯微鏡。
圖3、MnFe2O4–Na2CO3、MnFe2O4–Li2CO3以及MnFe2O4–K2CO3混合物在(a)第一次脫碳步驟和(b)三個脫碳-碳酸化循環中的質量剖面。(c)三種混合物在3個周期前后采集的XRD圖譜。XRD,X射線衍射。
圖4、5和10在10%鈣、鎳和鋅的原子取代對MnFe2O4–Na2CO-3混合物在10次脫碳-碳酸化循環中的影響。(a)5 at.%Ca、Ni和Zn摻雜鐵氧體在10個周期內測得的CO2釋放量,以及(b)10 at.%Ca、Ni和Zn摻雜鐵氧體。(c)經過10次脫碳-碳酸化循環后,不同Mn1-xAxFe2O4–Na2CO3混合物的XRD圖譜。XRD,X射線衍射。
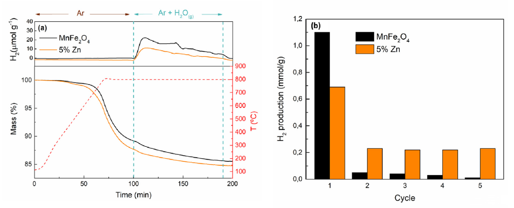
圖5、(a)在800°C第一級水溫步驟中,MnFe2O4–Na2CO3和5%Zn MnFe2O4–Na2CO3混合物的質量剖面及H2演化。(b)在750°C下5個循環中,未摻雜的MnFe2O4–Na2CO3和5%摻雜鋅混合物的H2產量(mmol H2/g)。
結論與展望
本研究展示了原子取代對MnFe2O4–Na2CO3熱化學循環中H2生成的影響。以MnFe2O4–Na2CO3混合物的非氧化脫碳/碳化反應為起始參考。反復循環會導致反應界面整體減少,可逆性損失約30%。將Na2CO3替換為Li2CO3,脫碳起始溫度降低約100°C,但由于Li+的不可逆插入,循環過程中幾乎沒有可逆性。介紹了部分Mn替換Ca、Ni和Zn的影響。5%鋅混合物具有最佳的脫碳/碳酸化可逆性,并與MnFe2O4–Na2CO3一起測試氫2的生成。參考混合物在第一個循環中產生更多的氫氣,但循環后其產量會急劇下降兩個數量級,5個周期后可忽略不計。相比之下,摻鉈混合物的氫氣產量穩定,達到0.22 mmol/g,且從第2至第5周期均無下降趨勢。因此在第五個循環中,摻雜鋅的混合物產生的氫氣是MnFe2O4–Na2CO3的23倍。熱重測量和X射線衍射證實,摻雜鋅顯著改善反應物再生。Unisense氫氣電極被用于實時、定量監測熱化學循環過程中產生的氫氣(H?)濃度變化,提供高靈敏度、實時、原位的氫氣定量數據,是評估材料產氫活性與循環穩定性的關鍵工具,相比僅依賴熱重(TGA)質量變化間接推斷反應程度,Unisense氫氣電極直接檢測目標產物H?,使性能評價更具可靠性和說服力。Unisense H?微電極在本研究中作為氫氣在線檢測的核心傳感裝置,不僅實現了對產氫動力學的精確捕捉,更直接支撐了“Zn摻雜顯著提升循環穩定性”這一核心科學發現,是連接材料設計與實際制氫性能評估的關鍵技術橋梁。
相關新聞