熱線:021-66110810,66110819
手機:13564362870

熱線:021-66110810,66110819
手機:13564362870
研究簡介
下水道系統是城市水基礎設施的重要組成部分,它收集和運輸住宅或工業廢水到處理和處置。根據污水系統的運行性質,污水系統可分為充滿壓力的污水渠(厭氧)和部分充滿重力的污水渠,其中進行再曝氣。硫化氫的產生和排放長期以來一直被認為是下水道系統異味和腐蝕的主要原因。多年來科研人員大多數關于硫化物和甲烷的研究下水道的生產主要集中在下水道生物膜上。本論文研究主要就了重力式污水管沉淀物中硫化物和甲烷生產工藝,以及提出的模型來描述這些過程。沉積物從一個真正的重力下水道收集的污水,然后在實驗室里培養的模擬重力下水道條件的沉淀物反應器。在一年多的時間內實現穩態性能。通過微傳感器測試批量生產試驗獲得的沉積物中的硫化氫濃度及沉積物的孔隙水測量、沿沉積物深度的微生物群落剖面和詳細的數學模型,對沉積物中硫化物和甲烷的生產過程進行了綜合評價。提出了相應的經驗模型,并對預測下水道沉積物中硫化物和甲烷的產量進行了校準。
Unisense微電極研究系統的應用
應用unisense全自動微機械操作臂與微電極傳感器,記錄了沉積物中的溶氧DO、pH、H2S濃度梯度隨泥沙深度的變化,使用unisense的SensorTrace Pro軟件記錄沉積物中每個深度的傳感器信號(氧氣、pH、H2S)。每天在沉積物的不同位置測量15-20個剖面。獲得的H2S和pH剖面濃度計算獲得沉積物中總溶解硫化物。并應用擴散反應模型計算了沉積物中硫化物的生成活性,擴散系數等參數
實驗結果
以實驗室污水底泥為研究對象,研究了污水底泥中硫化物和甲烷的生成。主要結論如下:1.下水道沉積物是硫化物和甲烷的重要來源,硫化物和甲烷的面積產量分別大于和可與下水道生物膜相比。2.由于硫酸鹽的滲透限制,硫化物的生成發生在沉積物表面附近,而甲烷的生成也發生在離沉積物表面較近的地方,但由于可溶性有機物的滲透較深,與硫化物的生成相比,甲烷的生成區域要厚得多。硫酸鹽還原菌與產甲烷古菌的動力學差異決定了沉積物中微生物群落的分層和微生物活動。3.沉積物中硫化物和甲烷的產率可以用半階動力學方法很好地描述,它們分別與體積液相硫酸鹽和可發酵有機碳濃度有關。
圖1、應用unisense微電極系統對沉淀物反應器中的沉積物的溶氧,硫化氫以及pH等參數的測試原理圖以及相關的測試數據。
圖2、通過批量試驗確定實驗室內污水底泥中硫化物和甲烷產率的變化培養階段。
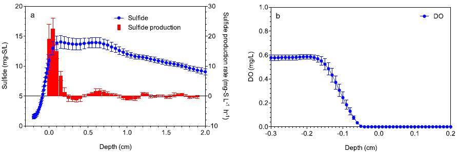
圖3、模擬穩態沉積物中總溶解硫化物和硫化物產量狀態;(b):在沉積物表面附近作剖面濃度分布圖。沉積物表面深度為0 cm。圖中所示的濃度剖面圖是第396天測量的6個剖面圖的平均值,誤差條顯示標準差。
圖4、硫酸鹽(a)、甲烷(b)、硫化物(c)、SRB和MA的相對組分(d)的實驗和模擬深度剖面;可發酵COD在沉積物中滲透剖面(e)的模擬結果。沉積物表面深度為0 cm。
圖5、(a)高硫酸鹽濃度對實驗室下水道沉積物中硫化物的面積產率的影響;(b)發酵COD濃度對實驗室污水底泥產甲烷率的影響。
總結
本論文研究了下水道沉積物中的污水底泥中的硫化物及甲烷的產生情況進行了相關研究,有研究表明下水道中的污水生物膜會形成大量的硫化物和甲烷。研究中所收集的沉淀物來自重力下水道并在實驗室反應器中培養,以實際廢水為原料,經一年多的處理后獲得完整的沉積物。應用uninsense微電極研究系統記錄了下水道沉積物中的溶氧DO、pH、H2S濃度梯度隨泥沙深度的變化的相關數據,從而獲得了沉積物的深度和數學模型揭示了硫化物的產生是發生在泥沙表面附近,表明了硫酸鹽的滲透深度是有限的,甲烷的產生發生在離沉積物表面更深的區域。從而提出了關于下水道沉積物的生物膜膜形成的經驗模型,這對預測下水道沉積物中硫化物和甲烷的產量方面進行了很好的校準,為今后在研究下水道沉積物方面的相關研究提供了重要的理論支持,這說明unisense微剖面分析系統在城市下水道沉積物的相關研究中具有較好的應用前景。
相關新聞