熱線:021-66110810,66110819
手機:13564362870

熱線:021-66110810,66110819
手機:13564362870
本文測量了大腦切片附近和切片內的氧分壓大腦十分脆弱,很難找到合適的無毒供氧材料。一般化學合成的東西不適合放進大腦里,藻類是自然界天然的產氧體,對大腦組織沒有毒性,有很好的潛力給腦梗組織供氧。
摘要:
缺氧性腦損傷是導致全球范圍內生活質量下降的一個主要原因,目前尚無有效的治療方法。人們越來越關注在缺氧組織中加入光合作用劑,作為一種獨立于血管灌注的原位供氧機制。迄今為止,這種方法尚未在大腦中進行過測試。
在人工腦脊液(aCSF)中和原位皮質切片中,通過臺式實驗測量了衣藻微藻類培養物的制氧能力。通過測量傳統充氧腦脊液、衣藻培養物、未充氧和脫氧腦脊液中癲癇樣事件(SLE)活動的長度、頻率和振幅,對皮層切片功能進行量化。通過將切片暴露于培養物中5小時,研究了藻類直接毒性作用的可能性。在無鎂的腦脊液中,衣藻可達到25mg/L的氧含量。在衣藻中,切片SLE功能得以保留,無需補充氧氣。相比之下,功能參數在無氧和脫氧aCSF中惡化。前者的SLE頻率降低了66%,事件振幅降低了37%。在后者中,SLE活動完全停止。在暴露于培養物5小時的切片中,未發現藻類毒性效應。
這些結果證實衣藻氧合aCSF可以維持大腦皮層網絡活動,而不會對急性大腦皮層切片的正常壽命造成組織毒性。這項研究表明,光合作用作為一種提供氧氣的機制,有望挽救缺血缺氧的腦組織。
引言:
缺氧導致的腦損傷是全球生活質量下降的主要原因之一。中風是最常見的原因,但還有許多其他病因。目前,最有效的急性中風治療方法是盡快恢復受影響區域的血液供應。取栓研究表明,在缺血但尚未梗死的梗死組織周圍有一個半影組織,可以通過恢復供氧來挽救。然而,即使進行了早期溶栓治療,半數以上患者的長期預后仍然不佳。因此,亟需新的神經保護方法。
人們對氧療在治療缺氧缺血性疾病中的作用頗感興趣。然而,挑戰之一是為受影響的組織提供充足且持續的氧氣供應,而不使其他組織暴露于極高水平的氧自由基。近年來,人們開始關注在缺氧組織中加入光合作用劑,作為一種獨立于血管灌注的原位供氧機制。例如,微藻類衣藻被集成到光合生物材料中,以促進小鼠皮膚移植愈合。心肌內注射藍藻Synechococcus elongatus已被用于挽救缺血的小鼠心肌。這些研究顯示,結果有所改善,同時具有良好的生物相容性和免疫耐受性。
迄今為止,還沒有人探索過光合作用策略拯救缺血性腦組織的潛力。在這項體外概念驗證研究中,我們探索了萊茵梭菌培養物為無血管化小鼠腦皮層切片保留氧氣供應的潛力。在皮層切片模型中,新陳代謝的需求是通過組織浸泡在人工腦脊液(aCSF)中的氧氣和葡萄糖的擴散來滿足的。通常通過補充氧源將人工腦脊液氧合到25-30mg/L的濃度來實現切片中部的充分氧合。本研究的目的是確定在光照條件下,衣藻培養物能否將腦脊液氧合至少提高到25mg/L,并確定在以衣藻光合作用為唯一補充氧源的腦脊液中,大腦皮層切片的功能能否得到支持。
結果:
1.衣藻在無鎂無碳酸鈣溶液中的產氧量
衣藻1690培養物在無鎂無碳酸鹽層中的氧氣濃度穩定上升,平均(標清)速率為0.4(0.2)mg/L/min,衣藻的生物量為0.6(0.2)gDW/L。這一產氧量足以在50(22)分鐘的光照時間內使無鎂無碳酸鹽層中的氧氣濃度達到25毫克/升。在先導實驗中,當無鎂腦脊液的氧氣濃度低于18mg/L時,大腦皮層網絡活動受到抑制。因此,這些結果表明,原則上,在無鎂無碳酸鈣培養液中照亮的衣藻培養物能產生足夠的氧氣來維持體外大腦皮層組織。
2.皮層切片實驗方案1:急性(30分鐘)衣藻暴露
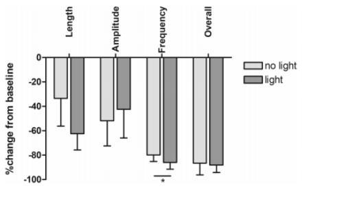
圖2:暴露于藻類(綠色,n=9)、暴露于無氧aCSF(藍色,n=9)和脫氧aCSF(黑色,n=7)時SLE活性的參數化。
圖3:切片照明對無氧灌注期間SLE減少的影響。
在基線條件下,所有皮層切片在灌注傳統的含氧無鎂aCSF時都產生了強烈的SLE活動。在這個例子中,藻類暴露期間SLE活性明顯保持不變。這反映在分組數據中,與基線相比,SLE活性沒有統計學意義上的顯著變化(圖2)。相比之下,灌注無氧aCSF會導致SLE頻率(降低66%)、振幅(降低37%)和"整體"活動(降低77%)顯著降低。在極端情況下,所有暴露于脫氧(1.7(0.2)mg/L氧氣)腦脊液的切片的SLE活動完全停止。SLE長度對aCSF氧氣的減少具有抵抗力,這與之前的切片缺氧研究結果一致。重要的是,SLE活性在重新灌注常規含氧的腦脊液后完全恢復,這證實了之前的藻類暴露沒有毒性作用。在未充氧的aCSF中照亮切片并不能恢復網絡功能(圖3),這證實了藻類效應與切片照亮無關。
這些結果證實,在適當的光照下,衣藻培養物可以維持大腦皮層網絡活動,而且不會對組織造成急性毒性。
3.皮層切片實驗方案2:組織和aCSF氧合
圖4:組織和aCSF氧合的比較顯示a)氧合曲線(紅色=傳統氧合;綠色=光合藻類氧合;藍色=無氧合)歸一化到切片上表面(X軸上的"零",顯示為垂直黑線)。因此,從左到右的曲線代表了從aCSF表面到切片的氧含量曲線。垂直黑線右側的值為切片內值;b)在距切片表面1.5毫米(-1.5)、距切片表面0.5毫米(-0.5)和切片中部(0.2)這三個位置的氧含量曲線比較。
從aCSF表面到切片中間的氧濃度分布顯示切片上表面附近的氧氣特征性減少。這種減少是由于組織的代謝氧消耗。傳統充氧組和光合作用充氧組的個體剖面在統計上沒有區別(圖4),而未充氧組在整個深度剖面上的氧氣濃度一直較低。傳統氧合和光合氧合的切片中部氧氣濃度分別為6.9(6.0)mg/L和10.3(6.7)mg/L。這些結果證實了電生理學SLE結果,表明藻類光合作用產生的切片內和腦脊液氧濃度與傳統氧合方法相當。
4.皮層切片實驗方案3:長時間(5小時)接觸藻類
與2小時時間點相比,暴露于海藻的切片在5小時后產生的SLE在所有參數上都有所改善(n=12個活動記錄點)。相比之下,對照組在兩個時間點(n=11個活動記錄點)之間沒有明顯的統計學差異。比較藻類組和對照組,唯一的顯著差異是藻類組在2小時內的SLE更長(p=0.016)。盡管持續光照,藻類培養物中的氧含量僅升高了約1毫克/升。這是由于曝氣時攪拌溶液造成的氧氣損失。這些結果不僅證實藻類在長達5小時的時間內沒有毒性,而且組織性能也得到了顯著改善,盡管腦脊液中的氧含量僅略有升高。
相關新聞