熱線:021-66110810,66110819
手機:13564362870

熱線:021-66110810,66110819
手機:13564362870
研究簡介:本研究聚焦于現代海洋中大陸架沉積物對溶解態錸(Re)和鈾(U)的還原性匯作用。Re和U是重建過去海洋氧化還原演化的重要指標,其在沉積物中的積累和釋放對理解海洋的地質和生物地球化學過程至關重要。盡管Re和U在氧化海水中的行為相對保守,但在次氧化和無氧條件下,它們會被還原為不溶性物種并沉積到沉積物中。因此研究大陸架沉積物對Re和U的還原性去除作用,對于準確評估海洋中這些元素的循環和預算具有重要意義。研究主要在東海(ECS)大陸架進行,該區域接收大量的懸浮沉積物和有機碳(OC)負荷,沉積速率較高。通過在夏季和冬季采集沉積物樣品,并測量孔隙水中的Re和U濃度,結合224Ra/228Th不平衡方法,研究團隊估計了Re和U的還原性去除通量。研究結果表明,孔隙水中的Re和U濃度在不同深度和季節間存在顯著差異,冬季的去除通量比夏季高約3-4倍。這一發現與預期相反,因為夏季的OC供應和季節性缺氧達到最大值。研究認為,冬季強烈的沉積物再工作/灌溉作用是導致Re和U去除通量較高的原因。進一步的分析顯示,Re和U的還原性去除與沉積物中的OC分解速率呈正相關,表明OC分解是控制Re和U去除的關鍵因素。通過對全球大陸架的Re和U去除通量進行評估,研究發現大陸架沉積物是Re和U的重要匯,其匯的強度可能被低估。這表明現代海洋中Re和U的預算可能存在不平衡,或者它們的來源被嚴重低估。因此,本研究不僅提供了對現代海洋中Re和U循環的新見解,還強調了大陸架沉積物在海洋氧化還原演化研究中的重要性。通過揭示大陸架沉積物對Re和U的還原性去除作用,這項工作為理解海洋氧化還原條件的變化提供了新的視角,并可能對評估海洋中其他元素的循環產生影響。
Unisense微電極系統的應用
Unisense微電極系統被用于測量東海陸架沉積物孔隙水中的溶解氧(DO)濃度。Unisense微電極的尖端能夠穿刺到沉積物內部,測量不同深度的DO濃度。這種高分辨率的測量能力隊能夠精確地描繪出沉積物孔隙水中的DO濃度梯度,從而更好地理解沉積物中的氧化還原條件。unisense微電極測試數據和放射性同位素224Ra/228Th的不平衡分析,能夠定量評估陸架沉積物對Re和U的還原性去除通量。這些數據進一步揭示了沉積物中的有機碳分解速率和沉積物耗氧速率與Re和U去除通量之間的顯著正相關關系。
實驗結果
在東海大陸架進行的實地采樣和分析,揭示了大陸架沉積物對溶解態錸(Re)和鈾(U)的還原性去除作用。研究發現大陸架沉積物對Re和U的還原性去除是一個重要的匯,其強度與次氧化/無氧環境中的匯相當或更高。研究的結果表明,大陸架沉積物對Re和U的還原性去除通量顯著高于之前認為的次氧化/無氧環境中的匯。Re的還原性去除通量在大陸架沉積物中可達112 pmol/m2/day,而U的還原性去除通量可達30 nmol/m2/day。冬季的Re和U去除通量顯著高于夏季,這與沉積物的再工作/灌溉作用有關,而不是水柱中的氧氣條件。冬季強烈的沉積物再工作/灌溉作用促進了有機碳的分解,從而創造了更強烈的還原條件,有利于Re和U的還原性去除。Re和U的還原性去除與沉積物中的有機碳分解速率呈正相關。這表明有機碳分解是控制Re和U去除的關鍵因素。沉積物中的有機碳分解速率越高,Re和U的還原性去除通量也越高。
圖1、東海陸架沉積物中孔水Re和U的濃度及散裝224Ra/228Th不平衡。東海陸架沉積物中孔水中Re和U的垂直剖面(a,b)及沉積物中的224Ra/228Th不平衡(c)。樣品分別在2017年夏季的10天內、2021年夏季的5天內及2018年冬季的5天內采集。水平虛線表示沉積物-水界面。224Ra/228Th面板中的豎直條形表示224Ra/228Th比值的總體不確定性,低于左邊界的值表示224Ra從沉積物中釋放。
圖2、東海沉積物中Re和U的還原去除通量的空間變化。a,b分別為Re和U的通量。冬季和夏季調查站點分別用藍色和紅色圓圈標記。
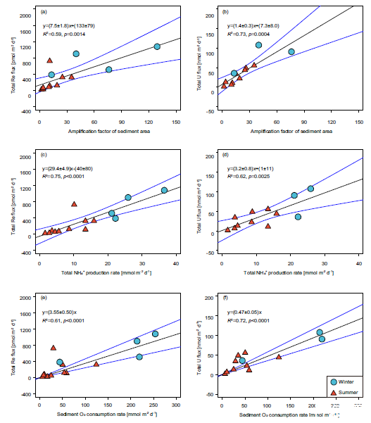
圖3、東海沉積物中Re和U的還原去除與沉積物地球化學參數的相關性。東海沉積物中Re和U的還原去除與沉積物面積放大因子(a,b)、有機碳的厭氧分解速率(通過氨的凈產生確定;c,d)和沉積物氧消耗速率(e,f)的相關性。三角形和圓圈分別代表夏季和冬季的數據。異常的通量在St.E1-W站點的線性回歸中已被排除。
圖4、全球陸架中Re和U的沉積物去除通量位置的分布。a東海。b東西伯利亞海和北美西岸(參考文獻13,46)。c北美東岸。
圖5、全球陸架Re和U的面積沉積物還原去除通量匯總。Re(a)和U(b)的面積沉積物去除通量分為兩個組別:陸架(灰色)與陸架外(深灰色)。匯總的通量包括從孔水剖面估算的擴散通量、224Ra/228Th不平衡法推導的總通量(本研究),以及來自參考文獻13–15,28,36,46的陸架沉積物中的自生固體相,以及用于氧化(氧穿透深度(OPD)>1 cm)、亞氧(OPD≤1 cm)和厭氧(無溶解氧(DO))環境的陸架外代表性沉積率(參考文獻3,20)。箱體上下的誤差條表示第90和第10百分位數。箱體中的黑色水平線表示第75、第50和第25百分位數。
結論與展望
錸(Re)和鈾(U)是重建過去海洋氧化演化的重要代理元素。然而,之前對它們在大陸架沉積物中的去除作用,作為早期成巖作用的熱點,曾被視為海洋中不重要的定量匯。本研究通過利用東海大陸架中的224Ra/228Th不平衡,探討了錸和鈾的沉積物還原性去除及其與有機碳分解的耦合關系。研究發現它們的去除通量與沉積物氧消耗率或有機碳分解速率之間存在正相關。這些相關性使得我們能夠評估全球陸架還原性匯,其通量與(錸)之前已確定的次氧/缺氧匯相當,或者(鈾)更高(約為4倍)。Unisense微電極系統用于測量東海陸架沉積物孔隙水中的溶解氧(DO)濃度。研究人員利用Unisense微電極的高空間分辨率和快速響應特性,精確測量了沉積物孔隙水中的DO濃度分布。這些測量結果對于理解沉積物中的氧化還原條件至關重要,因為這些條件直接影響了錸(Re)和鈾(U)的還原性去除過程這些發現表明,現代錸和鈾的預算可能存在潛在的不平衡,或者它們的源頭被大幅低估。因此本研究強調了陸架沉積物還原性去除作為現代海洋中錸和鈾的重要但被忽視的匯。本研究強調了大陸架沉積物在現代海洋Re和U循環中的重要性,并揭示了其對Re和U還原性去除的顯著貢獻。這些發現為理解海洋氧化還原條件的變化提供了新的視角,并可能對評估海洋中其他元素的循環產生影響。
相關新聞