熱線:021-66110810,66110819
手機:13564362870

熱線:021-66110810,66110819
手機:13564362870
研究簡介:研究了模擬腸道pH環境對紅脂大小蠹腸道細菌組成和信息素產生的影響。紅脂大小蠹是一種重要的經濟和生態害蟲,其寄主定殖行為依賴于信息素介導的通訊。研究表明,紅脂大小蠹的腸道微生物能夠將松樹單萜烯類物質轉化為信息素產物,但目前尚不清楚腸道微環境(如pH)的變化如何影響腸道微生物組成和信息素的產生。研究人員將野生捕獲的紅脂大小蠹分為四組,分別喂食四種不同pH的飲食:對照組(自然狀態,未經過任何飲食處理)、主食(P.tabuliformis)自然pH 4.7的飲食、pH 4的高酸性飲食和pH 6的弱酸性飲食(模擬甲蟲腸道pH)。通過16S rDNA宏基因組測序分析腸道細菌群落,并使用氣相色譜-質譜聯用(GC-MS)技術測定甲蟲腸道中佛手酮的含量。
此外研究人員還選擇了兩種主要的腸道細菌腸桿菌屬香坊種和粘質沙雷氏菌),在不同pH環境下(pH 6和pH 4)測試其佛手酮轉化能力。實驗結果顯示,飲食pH的變化顯著影響了紅脂大小蠹的腸道pH值、腸道細菌組成和verbenone的產生。P4飲食組的腸道pH值最低,而P6飲食組的腸道pH值最高。在細菌多樣性方面,P4和P6飲食組的細菌豐富度顯著高于對照組和PT飲食組。腸道細菌組成分析表明,變形菌門和厚壁菌門是主要的細菌門,其中變形菌門在P4飲食組中的相對豐度顯著降低。在屬水平上,腸桿菌屬、乳球菌和粘質沙雷氏菌是主要的細菌屬,腸桿菌屬在P4飲食組中的相對豐度最低,而乳球菌在P6飲食組中的相對豐度顯著降低。
佛手酮的產生在對照組和PT飲食組中最高,而在P4飲食組中顯著降低。兩種細菌分離物在pH 6環境下的佛手酮轉化能力高于pH 4環境,尤其是腸桿菌屬香坊種。本研究揭示了飲食引起的腸道pH變化對紅脂大小蠹腸道細菌組成和信息素產生的顯著影響,強調了維持穩定的腸道pH對于昆蟲行為和生態適應的重要性。這些發現為理解入侵性森林害蟲的生態適應機制提供了新的視角,并為開發新的害蟲管理策略提供了理論依據。
Unisense PH 微電極的應用
Uniensese PH 微電極被用于精確測量紅脂大小蠹(Dendroctonus valens)腸道內的pH值。在無菌條件下解剖紅脂大小蠹的腸道,將解剖后的腸道放置在一層瓊脂糖上,然后迅速用另一層薄瓊脂糖覆蓋,以穩定腸道結構。使用穩定的支撐裝置(LS18)和微電極推進器(MM-33)手動控制pH微電極尖端在腸道內的位置。測量后,用無菌水清洗電極尖端,以避免交叉污染。UNISENSE PH 微電極的高精度和微小尺寸使其能夠準確測量紅脂大小蠹腸道內的pH值,通過精確測量腸道pH值,能夠確定不同飲食處理(如pH 4、pH 6和自然pH 4.7)對紅脂大小蠹腸道酸堿度的具體影響。
實驗結果
實驗結果顯示,飲食pH的變化顯著影響了紅脂大小蠹的腸道pH值、腸道細菌組成和verbenone的產生。P4飲食組的腸道pH值最低,而P6飲食組的腸道pH值最高。在細菌多樣性方面,P4和P6飲食組的細菌豐富度顯著高于對照組和PT飲食組。腸道細菌組成分析表明,變形菌門和厚壁菌門是主要的細菌門,其中變形菌門在P4飲食組中的相對豐度顯著降低。在屬水平上,腸桿菌屬、乳球菌和粘質沙雷氏菌是主要的細菌屬,腸桿菌屬在P4飲食組中的相對豐度最低,而乳球菌在P6飲食組中的相對豐度顯著降低。佛手酮的產生在對照組和PT飲食組中最高,而在P4飲食組中顯著降低。兩種細菌分離物在pH 6環境下的佛手酮轉化能力高于pH 4環境,尤其是腸桿菌屬香坊種。
圖1、紅脂大小蠹在不同pH飲食處理后的腸道pH(PC=對照組,自然狀態;PT=油松韌皮飲食;P4=pH 4飲食;P6=pH 6飲食)
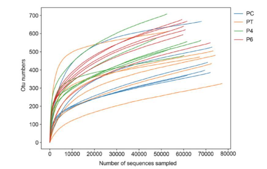
圖2、Illumina Novaseq測序平臺(雙端)基于24個腸道樣本的稀釋曲線。橫坐標表示隨機選擇的測序樣本數量??v坐標顯示基于測序讀數的操作分類單元(OTUs)的數量。曲線代表個別樣本,顏色代表不同的pH飲食處理。
圖3、紅脂大小蠹腸道微生物組在不同pH飲食處理后基于Bray-Curtis相似性度量的主坐標分析(PCoA)。每個飲食處理以不同的顏色呈現,每個點代表一個個體樣本。樣本組之間距離越近,表示細菌組成相似度越高。字母組合表示不同的pH飲食處理組:PC=對照組,自然狀態;PT=油松韌皮飲食;P4=pH 4飲食;P6=pH 6飲食。
圖4、紅脂大小蠹在不同pH飲食處理后的腸道細菌組成在門水平上。每種處理中每個細菌門的相對豐度用不同顏色表示。字母組合表示不同的pH飲食處理組:PC=對照組,自然狀態;PT=油松韌皮飲食;P4=pH 4飲食;P6=pH 6飲食。
圖5、不同飲食處理后紅脂大小蠹腸道中萜烯酮的濃度。不同字母的柱子在P<0.05水平上顯著不同。字母組合表示不同的飲食處理組:PC=對照組;PT=油松韌皮飲食;P4=pH 4飲食;P6=pH 6飲食。
結論與展望
樹皮甲蟲是一群在經濟和生態上都很重要的昆蟲,具有聚集行為,其寄主入侵成功取決于信息素介導的通信。對于一些物種,中國主要的入侵性森林害蟲-紅脂大小蠹,腸道微生物群通過將單萜烯轉化為信息素產物參與信息素的產生。然而腸道微環境變異如pH值,對腸道微生物組成以及因此信息素產生的影響尚不清楚。在本研究中,研究人員用3種不同pH值的培養基(主要寄主飲食的天然pH值為4.7;pH值為6的微酸性飲食,模擬甲蟲腸道pH值;pH值為4的高酸性飲食),喂養野外捕捉的D.valens,并測量它們對腸道pH值、細菌群落和主要聚集和抗聚集信息素(萜烯酮)產生的影響。進一步測試了2種腸道細菌分離物在不同pH環境(pH 6和4)中的萜烯酮產生能力。
unisense PH 微電極在研究中發揮了關鍵作用,通過精確測量紅脂大小蠹腸道內的pH值,為研究飲食pH變化對腸道微生物組成和信息素產生的影響提供了重要數據支持。該設備的高精度和微小尺寸使其能夠適應復雜的生物實驗環境,確保實驗結果的可靠性和重復性。與自然狀態或主要寄主飲食相比,以較低酸性的飲食(pH 6)喂養使腸道的酸度降低,而以高酸性飲食(pH 4)喂養則增強了酸度。腸道pH的這兩種變化降低了優勢細菌屬的豐度,導致萜烯酮的產生減少。類似地,細菌分離物的萜烯酮轉化率在模擬甲蟲腸道的酸性環境中最高。總的來說,這些結果表明腸道pH的變化可能影響腸道微生物組成和信息素的產生,因此可能影響寄主的定殖行為。本研究揭示了飲食引起的腸道pH變化對紅脂大小蠹腸道細菌組成和信息素產生的顯著影響,強調了維持穩定的腸道pH對于昆蟲行為和生態適應的重要性。這些發現為理解入侵性森林害蟲的生態適應機制提供了新的視角,并為開發新的害蟲管理策略提供了理論依據。
相關新聞