熱線:021-66110810,66110819
手機:13564362870

熱線:021-66110810,66110819
手機:13564362870
研究簡介:隨著核技術在能源生產、醫療和工業應用中的廣泛使用,人們越來越關注輻射對人體健康的影響。電離輻射對生物體的損傷主要通過兩種方式產生:直接作用和間接作用。直接作用是指輻射直接與生物大分子相互作用,而間接作用則是指輻射首先與水分子作用,產生具有高反應性的自由基,如羥基自由基(.OH),這些自由基隨后與細胞內的脂質、蛋白質和DNA發生反應,導致細胞損傷。在眾多的自由基中,羥基自由基(.OH)因其高反應性而被認為是輻射誘導損傷的主要介質。盡管已有一些輻射防護劑,如硫醇化合物氨磷汀(WR-2721),但它們通常伴隨著副作用,限制了在臨床上的應用。因此,尋找一種安全有效的輻射防護劑成為了一個重要的研究課題。氫氣(H2)因其獨特的物理化學性質,如高擴散性和選擇性抗氧化能力,被認為是一種潛在的輻射防護劑。氫氣可以選擇性地減少細胞毒性活性氧(ROS),如.OH和過氧化亞硝酸鹽(ONOO-),而不干擾生理上重要的氧化還原反應。此外,氫氣在體內外均顯示出治療性抗氧化活性,且沒有已知的毒副作用。本研究旨在探討氫氣對輻照生殖細胞的保護作用及其潛在的輻射防護機制。研究者們使用了富氫鹽水,通過高壓將氫氣溶解在生理鹽水中,制備出用于實驗的溶液。
通過一系列實驗,包括自旋捕獲技術、羥基苯基熒光素(HPF)熒光探針檢測、生化檢測和細胞凋亡測定等方法,研究者們評估了氫氣對輻射誘導的生殖細胞損傷的保護效果。研究結果表明,氫氣能夠顯著降低輻射過程中產生的羥基自由基水平,減少脂質過氧化、蛋白質羰基化和DNA氧化損傷,從而減輕輻射對小鼠睪丸的損傷。此外,氫氣還顯示出對生殖細胞凋亡的保護作用,維持了干精原細胞的活力。
Unisense微電極測定系統的應用
Unisense微電極被用于測定小鼠體內氫氣(H2)的濃度。首先將富氫鹽水注射到小鼠體內,然后使用Unisense氫氣微電極測量了注射后小鼠睪丸中的氫氣濃度。通過測量老鼠體內氫氣濃度,能夠探討氫氣如何通過減少羥基自由基(.OH)的產生來發揮輻射防護作用。
實驗結果
研究結果表明,氫氣能夠顯著降低輻射過程中產生的羥基自由基水平,減少脂質過氧化、蛋白質羰基化和DNA氧化損傷,從而減輕輻射對小鼠睪丸的損傷。此外,氫氣還顯示出對生殖細胞凋亡的保護作用,維持了干精原細胞的活力。氫氣處理改善了輻射引起的睪丸組織形態學變化,并減少了通過TUNEL檢測到的凋亡現象,表明氫氣對生殖細胞具有保護作用。與現有的輻射防護劑(如WR-2721)相比,氫氣沒有顯示出任何已知的毒副作用,這使其成為一種潛在的安全防護手段。
圖1、自旋捕獲識別了H2還原的.OH。(A)在無細胞體系中,H2溶解在23℃和pH值為7.4的磷酸鹽緩沖液(10mM)溶液中,過飽和富氫鹽水(0.8mM)稀釋至0.4和0.2mM。作為.OH與DMPO的標準反應,在35mM DMPO的存在下,在0.1mM H2O2和0.03mM亞鐵的混合物中通過Fenton反應產生.OH,并將溶液置于ESR測量儀(EMX-8)中進行測量。為了獲得不同濃度H2下.DMPO-OH自由基的光譜,ESR掃描了30秒,累計六次。(B)對每個獨立組的.DMPO-OH自由基信號進行半定量分析,以對照組百分比的第二個峰值表示。
圖2、使用HPF檢測H2O放射性分解產生的.OH。(A)輻射劑量與輻射溶解中熒光增加之間的關系。在無細胞體系中,將HPF探針[最終濃度為10μM,0.1%DMF(二甲基甲酰胺)作為輔助溶劑]加入23℃和pH值為7.4的磷酸鹽緩沖溶液中,分別用5、10和20Gy劑量的γ-射線照射,照射速度為2Gy/min,以獲得標準曲線。使用熒光顯微鏡獲取熒光圖像。熒光強度是在515nm波長和490nm波長的激發下測定的。基線顯示的是沒有HPF時的熒光。(B)熒光強度由每個獨立組(n=3)的試樣進行半定量。
圖3、腹腔注射富氫鹽水可增加睪丸中的H2濃度。經腹腔注入0.01ml/g的富氫生理鹽水。用水合氯醛(0.35mg/g)麻醉小鼠,使其仰臥。將H2微電極(直徑50μm)插入睪丸300μm深處。注入睪丸后5min和10min(相對于0min),H2濃度(μM)增加(n=6)。
圖4、腹腔注射富含氫氣的生理鹽水可降低IR期間的.OH水平。(A)在5Gy劑量輻射前20min,麻醉小鼠睪丸內注射HPF(15μl,25μM),輻射前5min腹腔注射富氫鹽水(0.01ml/g)。照射后,迅速從麻醉小鼠體內取出組織,包埋在OCT復合物中,準備冷凍切片(8μm厚切片)。用熒光顯微鏡獲得具有代表性的睪丸熒光圖像。基線1和2顯示了有輻射時(1)和無輻射時(2)的熒光(在沒有HPF和H2的情況下)。(B)在每個獨立實驗中,對冷凍切片中的HPF熒光進行半定量分析。通過比較不同組間睪丸的相對熒光強度來分析獲得的圖像(n=6)。
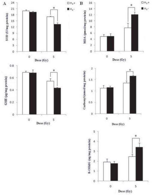
圖5、H2保護睪丸內源性抗氧化劑,減少紅外線對睪丸的氧化損傷。(A)5Gy劑量輻射4小時后,非輻射對照組、僅H2組、輻射+生理鹽水組和輻射+H2組SOD活性和GSH濃度的變化。(B)用夾心ELISA免疫反應評估5Gy劑量照射4小時后未照射對照組、僅H2組、輻射+生理鹽水組和輻射+H2組中脂質、蛋白質和DNA中氧化應激的標記物,如MDA、蛋白質羰基和8-OHdG(n=6)。
結論與展望
H2(氫氣)具有作為一種新型輻射防護劑的潛力,而且沒有已知的毒副作用。本研究旨在探討H2的潛在輻射防護機制及其對輻照生殖細胞的保護作用。通過芬頓反應和H2O的輻射分解產生的羥自由基(.OH)被確定為被H2還原的自由基物種。研究人員使用了unisense的H2微電極動態檢測體內H2的濃度,發現H2能顯著降低羥苯基熒光素的原位熒光強度。由于Unisense微電極是一種高精度的傳感器,能夠準確測量溶解在溶液或生物組織中的氣體濃度。通過測量注射富氫鹽水后小鼠睪丸中氫氣的濃度,研究者能夠評估氫氣對輻射誘導的生殖細胞損傷的保護效果。這是因為氫氣的濃度可能與其抗氧化和輻射防護能力直接相關。但是由于在照射后用H2處理小鼠,因此降低的幅度并不明顯。研究發現將H2預處理為IR(電離輻射)可明顯抑制。OH與細胞大分子的反應,這種反應會導致脂質過氧化、蛋白質羰基和DNA氧化損傷。通過睪丸組織形態學變化和TUNEL(末端脫氧核苷酸轉移酶介導的dUTP nick-end標記)檢查發現的凋亡現象有所改善,以及通過睪丸組織學參數、每日精子生成量和精子質量檢查發現的干精原細胞存活率保持不變,都證明了H2對男性生殖細胞的輻射保護作用。使用WR-2721[S-2-(3-氨基丙基氨基)乙基硫代磷酸]作為參考化合物。研究結果首次在體內證明了H2通過中和輻照組織中的-OH起到輻射保護作用,且無副作用。這項研究首次在體內證明了氫氣通過中和輻照組織中的羥基自由基起到輻射保護作用,且無副作用。這一發現為氫氣作為輻射防護劑的潛在應用提供了重要的實驗依據,并為未來保護暴露于輻射環境下的男性生育能力提供了新的策略。
相關新聞