熱線:021-66110810,66110819
手機:13564362870

熱線:021-66110810,66110819
手機:13564362870
2、結果與討論
2.1、樣品的物理表征
圖1給出了Cu2O/Cu‐VG微電極的光學照片、表面和截面SEM、TEM圖以及XRD圖。該微電極的直徑僅為200μm,具有半柔性特征,長度可控(圖1a)。由低倍的表面SEM圖觀察到大量的石墨烯納米片密堆積覆蓋了整個Ta微絲表面(圖1b和1c)。空白Ta微絲表面相對光滑,但能觀察到預處理打磨留下的痕跡(圖1d),而附著Cu前驅體的微絲的表面SEM圖上觀察到了主要依附于縫隙及裂痕上的異相顆粒(圖1e)。然而,在Cu2O/Cu‐VG微電極的高倍SEM圖則呈現納米片相互交錯包裹形成了開放的多孔、多縫隙形態(圖1f),這顯然有利于電解質的快速擴散。此外,從SEM截面形貌分析,石墨烯納米片們直立于基底生長,該薄膜的高度達到了6μm左右,且高度相對均勻(圖1g)。
圖1 Cu2O/Cu‐VG微電極的(a)光學照片及(b、c)表面SEM圖;(d)Ta微絲、(e)Cu前驅體/Ta微絲及(f)Cu2O/Cu‐VG微電極的高倍表面SEM圖;Cu2O/Cu‐VG微電極的(g)截面SEM及(h、i)TEM圖;(j)3個微電極的XRD圖
為進一步探索微結構,對該樣品進行了TEM表征。如圖1h所示,該樣品的納米片是一種半透明、可卷曲的二維片狀晶體,但是表面鑲嵌了大量的不同尺寸納米顆粒。在制備TEM測試樣的過程中對該樣品進行了8 h的超聲分散,但是這些納米顆粒仍然牢固地鑲嵌在二維納米片上。一個納米粒子的高分辨TEM分析表明,納米粒子的表面被條紋間距為0.35 nm的石墨烯(002)晶面所覆蓋(圖1i),這與石墨烯的生長過程中同步還原Cu2O/Cu顆粒有關。為了進一步確認納米顆粒的成分,對空白Ta微絲、Cu前驅體/Ta微絲及Cu2O/Cu‐VG微電極進行了XRD分析,結果如圖1j所示。
與空白Ta微絲相比,從Cu前驅體/Ta微絲的XRD圖中觀察到了CuSO4的(120)、(111)、(311)晶面衍射峰,分別位于25.5°、27.0°、57.0°附近。這表明先浸泡再紅外干燥的工藝把CuSO4晶體成功附著到了Ta微絲上。此外,Cu2O/Cu‐VG微電極的XRD圖顯示了TaC、Cu、Cu2O以及石墨相關的衍射峰,其中TaC特征峰(PDF No.35‐0801)來自Ta微絲表面的碳化過渡層。在26.0°附近出現了石墨烯的(002)晶面衍射峰(PDF No.41‐1487),而49.9°附近的是Cu(200)晶面特征峰(PDFNo.89‐2838)。此外,還觀察到了相對弱的Cu2O相的(110)、(111)、(200)、(211)和(220)晶面衍射峰(PDFNo.78‐2076)。這些結果證實成功制備了Cu2O/Cu‐VG微電極,而Cu2O/Cu‐VG薄膜則利用TaC過渡層牢固結合在Ta微絲表面。
2.2、微電極的阻抗及電化學反應動力學行為
為了研究Cu2O/Cu‐VG微電極的電化學和生理電雙模性能,先分析了Ta、Cu2O/Cu、VG及Cu2O/Cu‐VG微電極在電化學反應動力學研究中常用的5.0mmol·L-1 K3[Fe(CN)6]/K4[Fe(CN)6]混合溶液中的反應動力學特性,并進一步探討了這些微電極在手背皮膚以及受腦電影響的頭皮區域的阻抗特征(圖2)。對于Nyquist圖,高頻區與實軸的交點為半電池體系的總內阻(Rs),高頻區的半圓直徑與電極、電解質之間的界面電荷轉移電阻(Rct)有關,半圓直徑越大,表明Rct值越大,而低頻區的直線段反映了離子的擴散效應。在[Fe(CN)6]3-/[Fe(CN)6]4-探針溶液里,Rs為8.26~9.36Ω。此外,Ta微絲表現了金屬電阻特性,Cu2O/Cu微電極則呈現金屬局部腐蝕電極特性(圖2a);而在VG和Cu2O/Cu‐VG微電極的阻抗譜上觀察到了半無限擴散特征(圖2b)。如圖2c和2d所示,Cu2O/Cu‐VG微電極的Rct最低,該值為23.74Ω,表示在液-固界面可以快速傳輸電子,這與擴散傳質有關。4種微電極在手背上均表現了擴散傳質特性,但阻抗大幅增加了(圖2e和2f)。
圖2微電極的阻抗分析:(a~c)在5.0 mmol·L-1 K3[Fe(CN)6]/K4[Fe(CN)6]溶液里記錄的Nyquist圖、(d)液-固界面Rct、(e、f)手部Nyquist圖、(g)手部的頻譜-阻抗譜(插圖:4種微電極的等效電路圖)和(h)Rct、Rscalp、Rskin,1和Rskin,2
Rct值從大到小的順序為Ta>Cu2O/Cu>VG>Cu2O/Cu‐VG,其中Cu2O/Cu‐VG微電極的Rct值達到1.36 kΩ,這與皮膚角質層的阻抗顯著高于[Fe(CN)6]3-/[Fe(CN)6]4-電解液有關。圖2g顯示了手背上記錄的頻率-阻抗譜。如圖2h所示,在4種微電極中,Cu2O/Cu‐VG微電極具有最低的皮膚接觸阻抗,其中包括α節律范圍(8~13 Hz)的皮膚阻抗值(Rskin,1)為3.65 kΩ,生理電范圍(1~1 000Hz)的皮膚阻抗值(Rskin,2)為4.67 kΩ。我們繼續監測了頭皮接觸電阻(Rscalp),Cu2O/Cu‐VG微電極仍然具有最低值,該實時值約為7.05 kΩ,遠低于表皮可用電阻50 kΩ。
這些結果表明,Cu2O/Cu‐VG微電極作為電化學傳感電極具有低的Rct值,可以提高電解質和電極之間的電子轉移過程,又可作為表皮電極直接從頭皮記錄生理電信號。此外,使用Ta、Cu2O/Cu、VG及Cu2O/Cu‐VG微電極記錄了10μmol·L-1尿酸溶液的DPV曲線。如圖3a所示,Ta微絲不響應尿酸,Cu2O/Cu微電極上觀察到了微弱的氧化峰;而在VG微電極上出現了明顯的尿酸氧化峰,峰電位在0.232 V。當使用Cu2O/Cu‐VG微電極時,尿酸的氧化峰電位輕微移動到0.244V,但其峰電流達到了VG微電極上的6倍。這表明Cu2O/Cu納米顆粒和石墨烯協同提高了尿酸的響應信號。接著,使用Cu2O/Cu‐VG微電極,把0.1 mol·L-1KCl、5.0 mmol·L-1 K3[Fe(CN)6]和5.0 mmol·L-1K4[Fe(CN)6]的混合溶液作為電解液,以10~1000 mV·s-1的電位掃描速率記錄一組CV曲線,分析了電化學反應動力學行為的相關參數。圖3b呈現的CV曲線中出現了2對氧化還原峰,在0.13~0.25 V處的一對峰對應于[Fe(CN)6]3-/[Fe(CN)6]4-氧化還原探針,在0.6~0.7 V處的一對峰對應于KCu[Fe(CN)6]/K2Cu[Fe(CN)6]的氧化還原反應過程。
圖3(a)四種微電極對10μmol·L-1尿酸的DPV曲線(插圖:Ta和Cu2O/Cu微電極響應曲線局部放大圖);Cu2O/Cu‐VG微電極的(b)以10~1 000 mV·s-1的掃描速率記錄的CV曲線、(c)峰電位和掃描速率對數的關系、(d)峰電流與掃描速率平方根的線性關系
進一步利用[Fe(CN)6]3-/[Fe(CN)6]4-氧化還原探針峰,建立了峰電位(Ep)和掃描速率對數(lg v)、峰電流(Ip)和掃描速率平方根(v1/2)之間的線性關系(圖3c和3d)。Ip與v1/2之間的線性關系證實了該電極表面擴散控制的電化學反應動力學行為。根據Randles‐Sevcik方程(Ip=2.69×105An3/2D01/2v1/2c0),利用已知擴散系數D0=7.6×10-6 cm2·s-1、氧化還原電對的初始濃度c0=5 mmol·L-1、電子轉換數n=1、以及v1/2和峰電流Ip之間的斜率值,得到電極的有效活性面積(A,0.20 cm2)是幾何面積(0.06 cm2)的3.3倍。利用Laviron理論方程求得的反應速率常數(ks)為0.82 s-1。這些結果表明了該微電極具有優異的電催化能力。
2.3、微電極的生理電響應性能
圖4使用Cu2O/Cu‐VG微電極(紅)和商用Ag/AgCl電極(藍)同步記錄的肌電、眼電及腦電信號的時域譜和頻域譜:(a~d)咬牙范式下記錄的肌電信號、(e~h)眨眼范式下記錄的眼電信號、(i~l)閉眼/睜眼范式記錄的腦電信號
圖4為使用Cu2O/Cu‐VG微電極和商用Ag/AgCl電極同步記錄的肌電、眼電、腦電信號(隨附視頻見Supporting information)。紅色譜線表示使用Cu2O/Cu‐VG微電極采集的信號,藍色譜線表示使用Ag/AgCl電極采集的信號。對比咬牙范式的肌電(圖4a~4d)、眨眼范式的眼電(圖4e~4h)以及閉眼/睜眼范式的腦電信號(圖4i~4l),從時域譜和頻域譜可觀察到,Cu2O/Cu‐VG微電極與商用Ag/AgCl電極具有接近的幅值、生理電頻率特征、以及腦電α節律特征范圍,且與正常人的生理電表現形式吻合。圖5a和5b選取了隨附視頻中眨眼、咬牙范式記錄腦電的實際場景,而圖5c和5d給出了進一步計算的Cu2O/Cu‐VG微電極和商用Ag/AgCl電極的生理電信號之間的相關度以及2種電極的信噪比(SNR)值。結果表明,2種電極的信號相關度在99%以上,Cu2O/Cu‐VG微電極的平均SNR值高于商用濕電極,這證實了Cu2O/Cu‐VG的高效腦電采集能力。
圖5(a、b)實驗場景;Cu2O/Cu‐VG微電極和商用Ag/AgCl電極的(c)生理電信號的相關度和(d)信噪比
2.4、微電極的尿酸檢測性能
使用Cu2O/Cu‐VG微電極以DPV法定量檢測了尿酸。考慮到生物液體的pH值對峰電流的影響,最先評估了pH 6.0~8.0范圍的尿酸響應能力。如圖6a~6e所示,隨著尿酸濃度的提高,氧化峰電流隨之提高,表明Cu2O/Cu‐VG微電極在該pH范圍內均能定量響應尿酸。此外,尿酸的峰電位隨pH的增加而負向偏移,而且pH與氧化峰電位之間存在線性關系,對應的線性回歸方程為Ep=0.764-0.070pH。該斜率0.070 V近似于理論值0.059 V,表明在電極反應轉移的質子和電子的數目相同(圖6f)。在該Cu2O/Cu‐VG微電極上尿酸的可能電化學
圖6 Cu2O/Cu‐VG微電極的尿酸響應能力:(a~e)在不同pH值尿酸溶液里記錄的DPV曲線和(f)pH值與氧化峰電位的線性關系
反應見式1:
(1)圖7給出了在不同pH值環境中Cu2O/Cu‐VG微電極對尿酸響應的工作曲線及靈敏度。對于10~90μmol·L-1的尿酸,峰電流與尿酸濃度均呈線性關系。此外,在pH 6.0~8.0范圍內,隨著pH值的升高,尿酸的靈敏度先升高后降低,靈敏度變化范圍為0.428~0.797μA·L·μmol-1。這些結果證實了該Cu2O/Cu‐VG微電極適用于腦脊液、血液、尿液、腸液等不同pH值的體液環境。進一步模擬pH 7.4的體液環境,詳細考察了Cu2O/Cu‐VG微電極對尿酸的定量檢測能力。圖8a展示了使用該微電極在0.5~500μmol·L-1的濃度范圍內記錄的DPV曲線,而圖8b給出了工作曲線。
圖7 pH值對尿酸響應的影響:(a~e)尿酸濃度和峰電流的線性關系、(f)尿酸靈敏度
圖8使用Cu2O/Cu‐VG微電極檢測尿酸的定量模型:(a)在pH 7.4的尿酸標準溶液里記錄的DPV曲線、(b)工作曲線及定量方程
在該濃度范圍內存在2個線性區域,對于0.5~200μmol·L-1的尿酸,線性回歸方程為Ip=0.652c,其中Ip代表尿酸響應的峰電流,c表示尿酸的濃度,R2=0.998;對于200~500μmol·L-1的尿酸,線性回歸方程為Ip=0.392c+47.559,R2=0.990。該Cu2O/Cu‐VG微電極檢測尿酸的線性濃度范圍達到0.5~500μmol·L-1,涵蓋了腦脊液、血液、尿液的正常人群檢測范圍,而LOD低至0.024μmol·L-1,還可用于其它低尿酸水平標本的原位檢測。為了評價Cu2O/Cu‐VG微電極的尿酸選擇性,在10μmol·L-1尿酸溶液里加入了體液中可能共存的各種有機和無機化合物,分別記錄了存在干擾物和不存在干擾物時尿酸溶液的DPV曲線(圖9a)。
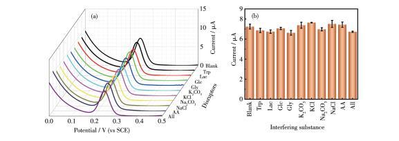
圖9以10μmol·L-1尿酸為模型的抗干擾能力:(a)尿酸與不同干擾物共存時的DPV曲線、(b)不同干擾物對尿酸峰電流的影響
作為干擾的化合物包括色氨酸(Trp)、乳糖(Lac)、葡萄糖(Glc)、甘氨酸(Gly)、K2CO3、KCl、Na2CO3、NaCl、抗壞血酸(AA)、以及混合的干擾物。這些化合物的濃度均為10μmol·L-1,與尿酸濃度相同。這些干擾物對尿酸響應電流的改變量范圍為1.82%~8.59%,其中Gly(8.59%)干擾相對大,總的相對標準偏差(RSD)為8.59%,在可接受的范圍之內,證實了Cu2O/Cu‐VG微電極對尿酸具有良好的選擇性。
為了更接近實際應用,對于一個Cu2O/Cu‐VG微電極研究了長達3個月的長期穩定性。圖10a展示了不同日期記錄的DPV曲線,檢測對象是10μmol·L-1的尿酸。圖10b給出了峰電流的統計結果。如圖所示,3個月內尿酸的峰電流保持在7.23~8.29μA范圍內,RSD為4.70%;而3個月后峰電流達到了初始值的97.26%。這些結果證實了Cu2O/Cu‐VG微電極具有良好的長期穩定性。
圖10以10μmol·L-1尿酸為模型的長期穩定性:(a)不同日期記錄的DPV曲線、(b)氧化峰的峰電流
3、結論
通過一步直流電弧等離子體噴射CVD法同步還原銅催化劑并垂直生長多層石墨烯,制備了一種Cu2O/Cu‐VG微電極,把Cu2O/Cu納米顆粒牢固鑲嵌到了多層石墨烯納米片上。首先,Cu2O/Cu的摻雜保持了石墨烯的生長取向及二維納米晶體特性,增加了石墨烯的電催化活性位點,有效電活性面積達到了幾何面積的約3.3倍,液-固界面電荷轉移電阻僅為23.74Ω,具有高的電催化活性。其次,Cu2O/Cu‐VG微電極的頭皮接觸電阻低至7.05 kΩ,在頭皮和腦機接口之間建立了有效的非接觸電容式界面,肌電和腦電信號的SNR值分別達到23.2和7.9 dB,優于商用Ag/AgCl電極。此外,Cu2O/Cu‐VG微電極可以快速、靈敏地電化學響應尿酸,定量響應的pH范圍達到6.0~8.0,在pH 7.4的環境中LOD低至0.024μmol·L-1,而且具有優異的選擇性及長期穩定性。本工作提出的Cu2O/Cu‐VG微電極可以原位同步檢測尿酸濃度和腦電信號,為體內尿酸水平、腦電及腦功能關聯機制研究提供了一種有潛力的可植入雙模微電極。
相關新聞