熱線:021-66110810,66110819
手機:13564362870

熱線:021-66110810,66110819
手機:13564362870
中國蘆薈又稱作斑紋蘆薈,其作為藥用植物被載入中國藥典。蘆薈有500多個品種,可藥用的達50余種,其味苦性寒,歸肝經、心經、胃經、大腸經,可以治療肝火頭疼、目赤腫痛、熱解便秘、燙傷、咳嗽,也可美容,臨床應用于五官科、內科,外科及腫瘤科等。研究證明蘆薈多糖是蘆薈的主要有效成分之一,具有殺菌消炎、抗病毒、抗胃潰瘍、抗腫瘤和免疫調節等作用,因此蘆薈多糖成為蘆薈產品研發關注的重點。近年來,蘆薈在醫藥、美容和日用品等方面應用廣泛,但針對蘆薈多糖合成水平的監測技術相對薄弱,因此,有必要建立操作簡便的蘆薈多糖測定方法,便于檢測蘆薈的生長狀況及考查蘆薈原料的質量。Lin等采用苯酚~硫酸顯色反應法和電化學差示脈沖伏安法測定了蘆薈不同部位的多糖含量;佘曉雷采用精制蘆薈多糖測得蘆薈多糖對葡萄糖的換算因子,樣品經前處理除雜質,用苯酚~硫酸法測定蘆薈中多糖的含量;程萬清等采用分光光度法測定蘆薈樣品中蘆薈多糖的含量,但上述方法均無法實現對在體蘆薈植株中蘆薈多糖的動態監測。
碳纖維具有質量輕、尺寸小、比表面積大、吸附性好及電化學性能穩定等優點,是優良的電極材料。在生物分析領域,碳纖維微電極(CFME)可以實現細胞胞內及胞間生物因子的無損分析,為在體實時動態監測蘆薈多糖因子水平提供了更加高效、準確的技術方法和手段。納米材料修飾電極具有更高的靈敏度,同時能更好地消除共存組分的干擾,提高檢測選擇性。
使用活體檢測技術對生物體內組分進行快速檢測,能夠更準確地反映活體生物體內目標分析物的真實水平。與通常的離體分析過程相比,活體檢測技術將采樣與檢測過程集成為一步,顯著提高了活體生物分析的效率。在活體分析領域,基于相關電化學檢測動力學理論的發展和新型活體檢測電極的研制,電化學檢測技術正逐步用于不同動植物體系中多種成分的分析。低損傷的電化學分析方法非常適合活體分析,它能實現反復對同一生物體進行采樣,而不造成嚴重的侵入式傷害。
迄今,關于實時、動態地在體監測蘆薈多糖水平隨環境應激變化波動情況的研究鮮見報道。本文采用金納米粒子修飾的碳纖維微電極提高檢測靈敏度,將修飾電極嵌入活體植株凝膠中,實現了對不同光照條件下生長的蘆薈植株中蘆薈多糖水平的動態監測。
1實驗部分
1.1試劑、材料與儀器
氯金酸(HAuCl4·4H2O)、乙醇(分析純)和葡萄糖(分析純)購于國藥集團化學試劑有限公司;蘆薈(6周齡,中華蘆薈,零零壹蘆薈農業科技有限公司);碳粉導電膠(自制);實驗用水為超純水。
XD-RFL型倒置顯微鏡(寧波舜宇儀器有限公司);CHI660D型電化學工作站(上海辰華儀器公司);AR224CN型分析天平(上海奧豪斯儀器有限公司);KQ-500E型超聲波清洗器(昆山市超聲儀器有限公司)。電化學實驗采用雙電極系統:碳纖維電極為工作電極,Ag/AgCl為參比電極。
1.2實驗過程
1.2.1納米金分散液的制備將1 g AuCl3·HCl·4H2O溶解于100 mL二次蒸餾水中配制10 g/L HAuCl4溶液;將1 g檸檬酸三鈉溶解于100 mL二次蒸餾水中配制10 g/L C6H5Na3O7·2H2O溶液;將0.345 g碳酸鉀溶解于100 mL二次蒸餾水中配制成10 g/L K2CO3溶液;將1 g單寧酸溶解于100 mL二次蒸餾水中配制成10 g/L C76H52046溶液。室溫下在燒杯中依次加入20 mL蒸餾水、0.560 mL 10 g/L的檸檬酸三鈉溶液、0.3 mL 10 g/L的單寧酸和碳酸鉀溶液,攪拌直至溶液呈酒紅色,即得粒徑為(6±2)nm的納米金粒子分散液。
1.2.2納米金修飾碳纖維微電極的制備取10 mL納米金分散液置于50 mL小燒杯中,將碳纖維電極和Ag/AgCl參比電極放入其中,恒定電流模式下于2.0 V電沉積30 min,即在碳纖維微電極(CFME)表面構建了納米金修飾層,取出用水沖洗,晾干,即得納米金修飾碳纖維微電極(AuNPs/CFME)。
2結果與討論
2.1碳纖維微電極在蘆薈凝膠層中的電化學響應及檢測穩定性
將CFME置于納米金溶膠中,球形納米金粒徑為15 nm[圖1(A)],圖1(B)中517 nm處的峰是粒徑為15 nm的納米金的紫外特征吸收峰,于1.5 V下電沉積30 min制得AuNPs/CFME.由AuNPs/CFME的SEM照片可見,未修飾的CFME表面光滑平整[圖2(A)],修飾后電極表面被一層納米金包裹,電極直徑略有增加,表面積增大[圖2(B)].
圖3為AuNPs/CFME的EDS譜圖,AuNPs/CFME的Au含量為0.117%,表明金納米粒子已修飾在CFME表面。
用消毒刀片在蘆薈葉片表面剖開一個5 mm×5 mm的檢測窗口(圖4插圖),使蘆薈植株的儲水凝膠組織暴露,分別插入碳纖維微電極與Ag/AgCl參比電極進行差分脈沖掃描,電極直徑6μm(φtip<6μm),插入深度1 mm,掃描范圍0.5——~0.2 V.由圖4可見,在0.2——0.3 V電位處出現1個氧化峰,在檢測窗口處滴加100μL 10-2mol/L的葡萄糖溶液后,該氧化峰電流明顯增加,且峰電位偏移小于0.1 V,與文獻報道的峰電位一致,推測該峰為蘆薈多糖的氧化峰。
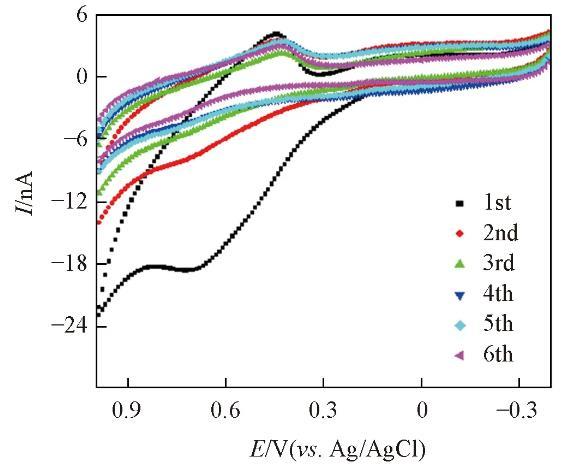
將一根潔凈的CFME置于儲水凝膠組織中連續進行循環伏安掃描6次,掃描速率100 mV/s,掃描范圍1.0——~0.4 V.結果如圖5所示,電流強度隨掃描次數的增加而遞減,表明CFME在蘆薈儲水凝膠組織中檢測蘆薈多糖的穩定性較差。這是由于在蘆薈儲水凝膠組織中,葉酸含有對氨基苯甲酸的苯環結構從而在電化學檢測過程中表現出強吸附作用;另外,蛋白酶等物質會在傳感界面產生非特異性吸附,對電極產生明顯的鈍化作用,使CFME對蘆薈多糖的檢測靈敏度明顯降低,對電化學動態監測蘆薈葉儲水凝膠組織中的蘆薈多糖水平有嚴重的干擾。
相關新聞