熱線:021-66110810,66110819
手機:13564362870

熱線:021-66110810,66110819
手機:13564362870
研究簡介:在膜生物膜生物反應器(MBfRs)中進行的好氧甲烷氧化-反硝化(AME-D)為同時減少甲烷(CH4)排放和去除廢水中的硝酸鹽提供了良好的前景。然而關于氧分壓如何影響反擴散生物膜的發育和特性、其空間分層特征以及生物膜微生物之間的協同作用等方面的系統實驗研究尚缺乏。在本研究中,研究人員首次將光學相干層析成像(OCT)與共聚焦激光掃描顯微鏡(CLSM)相結合,原位表征了MBfR中反擴散生物膜的發展。結果表明,MBfR上的氧分壓能夠控制生物膜的厚度和空間分層,進而控制功能微生物的分布。在優化的氧氣分壓5.5 psig(含氧量25%)條件下,AME-D工藝反擴散生物膜的反硝化效率最高,主要原因是該生物膜在好氧層和缺氧層之間具有良好的動態平衡,好氧層中有合適的氧氣梯度和足夠的好氧甲烷養菌,有利于甲烷氧化。
保留完全消耗的O2和可獲得的有機源,避免限制缺氧層的反硝化活性。通過宏基因組分析和熒光原位雜交(Fluorescence in situ hybridization,FISH)染色,成功證實了反擴散生物膜內功能微生物的空間分布,發現典型的好氧反硝化菌Rhodocyclaceae在好氧層中存活并逐漸富集,在好氧反硝化過程中起著關鍵作用。該原位生物膜可視化和表征首次直接證明了AME-D在反擴散生物膜中的協同反硝化路徑,包括好氧甲烷營養菌、異養好氧反硝化菌和異養缺氧反硝化菌。
Unisense微電極系統的應用
通過使用微電極傳感器(OX-10,Unisense,丹麥)原位測量沿著生物膜深度的DO濃度梯度,該傳感器與皮安計連接用于數據采集。在如前所述測量DO分布之前,用無氧和飽和水校準尖端直徑為10μm的微傳感器,將微電極安裝在馬達驅動的微操縱器上,使用Sensor Trace Pro軟件精確控制該微操縱器,電機驅動微傳感器沿生物膜厚度方向以5μm的深度步進從膜表面向本體液推進,控制微傳感器15 s達到穩態,獲得溶解氧濃度分布的深度剖面,然后測量15 s,在每個位置收集5個重復樣品,再向前移動到下一個位置。利用解剖顯微鏡進行可視化觀察,以估計微傳感器與生物膜的相對位置,并選擇每個生物膜的頂部、中部和底部3個位置進行測量,以確保數據的重復性。
實驗結果
在反擴散生物膜AME-D工藝中,膜腔內的氧分壓通過操縱生物膜發育過程和空間特性對反硝化性能產生顯著影響。CLSM和OCT觀察結果表明,當氧分壓從1.1 psig增加到5.5 psig時,生物膜的定殖和積累速度加快,成熟時間相對較長后形成較厚的生物膜。當進一步增加到6.6 psig時,過量的供氧會導致形成的生物膜呈顆粒狀團聚。微電極測量和FISH圖像分析表明,在氧分壓為5.5psig時,反擴散生物膜的反硝化性能最好,這主要是由于好氧層和缺氧層之間的動態平衡達到最佳,此時氧分壓為5.5psig,有利于反硝化菌的脫氮。紅環菌科傾向于生活在好氧層,在好氧反硝化過程中起主要作用,為AME-D過程由好氧甲烷營養菌、異養好氧反硝化菌和異養缺氧反硝化菌共同進行的新型協同機制提供了證據。
圖1、通過結合OCT和CLSM觀察,在不同氧分壓下生物膜時間發展的顯微可視化。(a)、(c)、(e)和(g)分別基于堆疊CLSM圖像的階段I至IV的微生物覆蓋因子;(B)、(d)、(f)和(h)相應階段的生物膜厚度,基于原地OCT觀察。
圖2、不同氧分壓下生物膜微生物組成的變化:基于16s rRNA基因高通量測序的關鍵微生物群落在科水平上的相對豐度。
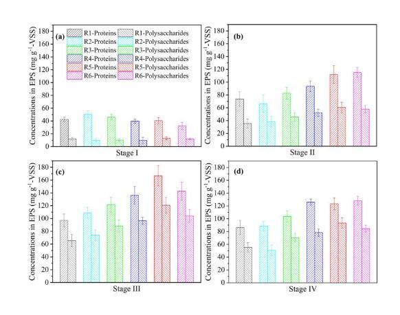
圖3、不同氧分壓下MBfRs中生物膜EPS含量的變化。
圖4、在MBfRs運行期間在不同氧分壓下的反硝化性能。(a)-MBfR出水中NO3?-N的濃度;(B)表面NO3?-的變化根據方程式S1計算的氮去除通量;(c)在每個階段結束時MBfR中的DO濃度;(d)每一階段結束時所有MBfR的TOC濃度。
圖5、(a)利用微電極監測不同氧分壓下MBfR生物膜內平均溶解氧分布的深度剖面圖,0μm處的點代表生物膜底部,誤差線表示多次測量的標準偏差(n個(B)氧分壓對好氧/缺氧層生物膜分層的影響;(c)三重疊加FISH圖像,顯示反擴散生物膜中I型和II型好氧甲烷氧化菌和反硝化菌的空間分布。生物膜樣品通過Cy3標記(Mγ84和Mγ705的混合物,紅色)對I型好氧甲烷氧化菌染色,通過FAM標記(Mγ450,綠色)對II型好氧甲烷氧化菌染色,反硝化菌用Cy 5-標記(DEN 67和TBD 1419的混合物,藍色),紫色表示I型甲烷氧化菌和反硝化菌的重疊,藍色表示II型甲烷氧化菌和反硝化菌的重疊。
結論與展望
本研究揭示了不同氧分壓下AME-D工藝中生物膜的動態發展特征,探討生物協同反硝化機理,在實驗室規模的6個不同氧分壓下平行運行MBfR,比較了不同氧分壓下MBfR的生物膜發育和反硝化性能.通過結合共聚焦激光掃描顯微鏡(CLSM)和光學相干性,在原位目視評價生物膜形態特征的動態差異體層攝影(OCT),然后生物膜的組成包括胞外聚合物(EPS)和16 SrRNA分析其次利用微電極和熒光技術研究了生物膜空間分層對氧分壓的響應。最后通過宏基因組分析,揭示了AME-D工藝中甲烷氧化和反硝化的協同作用,為反擴散MBfR的生物膜管理和分層提供了直觀的證據,而且鑒定了AME-D工藝中的實際微生物,這對沼氣生物反應器的開發和應用,以及對AME-D工藝的深入理解具有重要意義。
相關新聞