熱線:021-66110810,66110819
手機:13564362870

熱線:021-66110810,66110819
手機:13564362870
背景介紹:生物廢水處理廠(WWTPs)排放的一氧化二氮(N2O)引起了相當大的關注,因為一氧化二氮具有極高的全球變暖潛力,并會破壞臭氧層。膜曝氣生物膜反應器(MABR)可能是一種有前景的技術,能夠加強N2O的緩解。該反應器采用固定膜生物處理技術,其中基質提供氧氣輸送和促進生物膜的形成。MABR的逆流基質擴散幾何結構及其特殊的生物膜生態位,與無氣泡曝氣相結合,可以防止N2O耗盡,從而促進N2O緩解。MABR引入序貫曝氣進行部分硝化(PN)-厭氧氨氧化已經證明了其緩解效果。盡管如此,還沒有獲得MABR生物膜中較高的N2O消耗活性的現場證據。本論文研究的目的是調查膜曝氣生物膜反應器(MABR)(逆流底物擴散幾何結構的代表)在減輕一氧化二氮(N2O)排放方面的有效性。操作兩個具有相同尺寸但不同生物膜幾何形狀的實驗室規模反應器,即MABR和采用并流底物擴散幾何形狀的傳統生物膜反應器(CBR),以確定溶解氧(DO)、一氧化二氮(N2O)、功能基因豐度和微生物群落結構。
Unisense微電極系統的應用
使用Clarktype微電極(Unisense,丹麥)測量整個生物膜深度內溶解N2O和溶解氧(DO)濃度剖面,并連接皮安表(Unisense,奧爾胡斯,丹麥)進行數據采集。氧氣微電極和N2O微電極的尖端直徑分別為50um和25um。在使用微電極測試生物膜之前,對每個微電極進行了校準。微操作器和微電極使用Sensor Trace Pro軟件精確控制微電極插入生物膜的位置(Unisense,丹麥)。在反應器運行的第90天和第95天,在插入微電極的中間端口的10-15個點,獲得了N2O和O2濃度的生物膜深度分布。在假定穩態條件下,利用菲克第二擴散定律,估算了各濃度分布下的平均N2O凈容量消耗/生產速率。
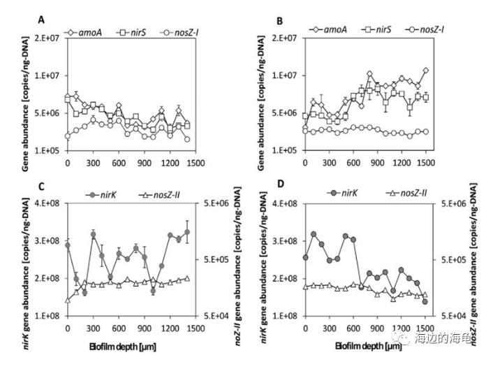
實驗結果:研究表明MABR中的表面氮去除率(11.0±0.80 gN/(m 2天)略高于CBR(9.71±0.94 gN/(m 2天),而總有機碳去除效率相當(MABR為96.9±1.0%,CBR為98.0±0.8%)。與此形成鮮明對比的是,MABR中溶解的N2O濃度(0.011±0.001 mg N 2 O-N/L)比CBR中的(1.38±0.25 mg N 2 ON/L)低兩個數量級,導致明顯的N2O排放因子(MABR中的0.0058±0.0005%與CBR中的0.72±0.13%)。對當地凈N2O生產和消費率的分析揭示了N2O區域的產生和消耗在MABR生物膜中是相鄰的。實時定量PCR表明MABR與CBR中反硝化基因的豐度更高,尤其是一氧化二氮還原酶(nosZ)基因。通過對16S rRNA基因擴增子測序對微生物群落組成的分析顯示,Tauera屬(31.2±11%)、根瘤菌(10.9±6.6%)、狹養單胞菌(6.8±2.7%)、鞘氨醇桿菌(3.2±1.1%)存在豐富和Brevundimonas(2.5±1.0%)作為MABR中潛在的N2O還原細菌。
圖1、固定凝膠的N2O和O2濃度曲線(左)以及由曲線得到的Michaelis-Menten曲線(右)。(A)小型凝膠(f?2.08 mm),(B)中型凝膠(f?3.26 mm),和(C)大型凝膠(f?4.03 mm)。垂直箭頭表示N2O峰值的位置。
圖2、由凝膠固定化的Azospira sp.應變I13細胞的相對一氧化二氮的消耗速率和O2濃度的函數。(B)由開發模型模擬結果和比較的表觀動力學參數。(C)半飽和常數之間的一氧化二氮和(D)最大的一氧化二氮吸收速率實驗(柱條)和模擬(圓)值。
圖3、有或沒有細菌細胞時氣態N2O濃度的變化作為N2O還原活性的證明。將細菌細胞以懸浮液和固定化凝膠的形式接種于微呼吸瓶中。非細胞固定化凝膠和非細胞接種培養基作為對照。
圖4、利用開發的模型模擬N2O(紅色)和O2(藍色)濃度隨時間的變化。球形凝膠的直徑設定為(A)1 mm,(B)2 mm,(C)3 mm,(D)4 mm,(E)6 mm。當N2O濃度低于0.00005 mol/m3(0.05μM)時,N2O濃度會自動增加到初始濃度(0.05 mol/m3),實驗條件下觀察到的N2O峰值。這個過程重復了三次。
圖5、凝膠中O2和N2O濃度動態隨深度和時間的變化。軸上為零的位置表示凝膠的中心。
結論與展望:在本論文研究中,研究人員證明了SND的MABR可以減少N2O排放的概念。為此進行了反應器操作和原位生物膜深度研究此項研究揭示了(i)具有反擴散生物膜幾何形狀的MABR是否允許比具有共擴散生物膜幾何形狀的傳統生物膜反應器(CBR)更低的N2O排放量;(ii)N2O還原菌豐度和活性的空間分布如何變化,在生物膜反擴散生物膜中的微生物群落結構是否不同取決于生物膜的深度。為了解決這些研究問題,研究人員將微電極技術(unisense)原位的測試出膜生物反應器中生物膜中的氧氣及氧化亞氮的濃度,并與分子微生物學方法相結合。定量PCR和高通量測序技術16S rRNA基因擴增,比較反擴散和共擴散生物膜。本研究是第一次直接比較MABR和CBR在整體和空間分解的N2O產量/減少和作為生物膜深度功能的微生物群落組成方面的結果。2種生物膜分別采用逆流和共流基質擴散結構,在相同負荷率下,對低DOC/TDN為1.0的高含氮廢水進行同時硝化反硝化。上述研究結果證明了MABRs有望成為一種小足跡技術,既能實現有效的同步硝化/反硝化,又能減緩N2O排放。
相關新聞