熱線:021-66110810,66110819
手機:13564362870

熱線:021-66110810,66110819
手機:13564362870
富營養化定義
富營養化是一種氮、磷等營養物質過度輸入水體,所引起的水質污染現象。一般情況下,水中總磷達到0.02mg/L、無機氮達到0.3mg/L的水體已處于富營養化。
在自然條件下,隨著河流夾帶沖積物和水生生物殘骸在湖底的不斷沉降淤積,水體會從貧營養過渡為富營養,這是一種極為緩慢的過程,需要數百年的時間。但人類的活動能夠加速這一過程,在我國,由于近幾十年來經濟的高速發展和過度的湖泊資源開發利用,大量的氮磷營養物質隨著工業廢水、生活污水排入湖泊水體中,導致湖泊水體營養物質過剩,水體發生富營養化,長江中下游區域湖泊尤為嚴重。
富營養化過程
在天然環境的湖泊中,湖泊水體清澈,太陽光照能夠穿透水體到達沉水植物表面,為沉水植物(初級生產力)光合作用提供能量,而沉水植物光合作用能夠為湖泊生態系統中的其他生命體提供氧氣。因此,沉水植物在水生生態系統中發揮著重要的功能。它不僅能夠為水體中生命有機體提供避難所以及食物,由于其生理結構特殊性,還能夠消風減浪,抑制湖泊沉積物的再懸浮,降低懸浮顆粒物濃度,促進水體中磷的沉降,減少沉積物磷釋放,改善沉積物的特性,降低營養鹽釋放率,從而維持整個湖泊生態系統的穩定(圖1)。
圖1沉水植物在水生生態系統中的建構功能
當湖泊水體中氮磷營養物質過剩時,水體中浮游藻類會暴發性生長,覆蓋水體表層,導致水體透明度降低,太陽光照無法到達沉水植物表面或光照不足以維持沉水植物的光合作用過程,從而導致沉水植物的衰退甚至逐漸消亡,沉水植物的缺失會加劇湖泊水質的惡化,使湖泊生態系統由清水穩態向濁水穩態轉化。(圖2)
圖2富營養化過程導致湖泊由清水穩態轉換為濁水穩態
水下光場分布
富營養化導致的水質惡化,會對水體水下光場分布產生直接的影響。在透明度較高的長江中下游湖泊中,水下光照度最大值出現在560nm左右,隨著水深的增加,光照會逐漸衰減,但是衰減速率相對較慢,到達水體底部的光照強度能夠滿足沉水植物光合作用需求,沉水植物能夠正常生長繁殖;在透明度較低的湖泊中,水下光照度最大值隨著水深的增加向紅光波段移動,且藍光波段衰減速率大于紅光波段衰減速率。
在可見光范圍內,紅光和藍光都是植物光合作用能夠吸收利用的波段,但是因為葉綠素a對可見光的吸收峰值主要在紅光波段,葉綠素b的吸收峰值在藍光波段,因此水體中藍光的衰減會影響沉水植物葉片的色素構成,進而影響沉水植物的物種分布。
光衰減對沉水植物分布的影響
太陽輻射進入水體后會受到水體本身的吸收,浮游植物、懸浮物的吸收散射以及有色可溶性有機物的吸收,然后到達生長在水面以下的沉水植物葉片表面,這一過程稱為光衰減(圖3)。
圖3水體光衰減過程
在光衰減過程中,光照強度不斷降低,當光照強度衰減到水面入射光照的1%時,此時的水體深度稱為真光層深度(Zeu)。而此時真光層水深處的光照強度必須高于沉水植物的光補償點才能保證沉水植物光合作用的正常進行。當到達沉水植物葉片表面處的光照強度低于某種沉水植物的光補償點時,該物種便會因光照不足而無法生存。
在富營養化湖泊中,氮磷濃度的升高往往會直接導致水體透明度的降低,進而影響水下光場的分布,而不同沉水植物會通過功能性狀的權衡來適應水下弱光環境,如穗狀狐尾藻、竹葉眼子菜、篦齒眼子菜等冠層型沉水植物會通過莖伸長快速生長到水面來獲取足夠的光照,而苦草則主要通過提高光合作用的效率來適應弱光環境。功能性狀之間的權衡在一定程度上決定了沉水植物的物種豐富度(圖4)。
圖4光衰減對沉水植物物種豐富度的影響
沉水植物對湖泊生態系統的負反饋
隨著研究人員對長江中下游湖泊的研究工作逐步深入,長江中下游湖泊富營養化機制已基本被闡釋,目前更多的研究工作主要圍繞湖泊生態系統恢復展開。在湖泊生態系統恢復的進程中,沉水植被的恢復重建至關重要,當湖泊水體氮磷濃度降低到適合沉水植物生長時,穗狀狐尾藻、金魚藻、苦草等先鋒種開始恢復定植。
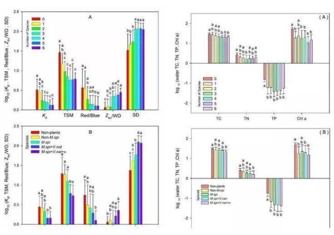
沉水植物的恢復重建是一個緩慢的過程,單一物種的恢復很難長期維持,一般在短暫恢復后又趨于衰退。而多物種、多種群的恢復能夠取得良好的恢復效果,研究表明當沉水植物豐富度達到3種物種以上時,能夠顯著改善水質指標和水體透明度,因為物種豐富度越高,對資源的利用更高效,對環境抗干擾能力也越強,進而促進生態系統的穩定。在選擇沉水植物物種時,應該根據生長型進行搭配,避免相同生長型的物種因生態位的重疊而相互競爭,降低恢復的效果。冠層型沉水植物穗狀狐尾藻和蓮座型沉水植物苦草的組合對水體有顯著的改善效果(圖5)。
圖5物種豐富度和物種組合對水體改善作用
參考文獻:
1.Liu Han,Zhou Wen,Li Xiaowei,Chu Qingshuai,Tang Na,Shu Bizhi,Liu Guihua,Xing Wei,2020.How many submerged macrophyte species are needed to improve water clarity and quality in Yangtze floodplain lakes?Science of The Total Environment 724.
2.Zhang Qian,Liu YunPeng,Luo FangLi,Dong BiCheng,Yu FeiHai,2019.Does species richness affect the growth and water quality of submerged macrophyte assemblages?Aquatic Botany 153:51-57.
3.吳明麗,李敘勇,2012.光衰減及其相關環境因子對沉水植物生長影響研究進展.生態學報32:7202-7212.
相關新聞