熱線:021-66110810,66110819
手機:13564362870

熱線:021-66110810,66110819
手機:13564362870
導讀:電化學阻抗譜是一種重要的電化學測試方法,在電化學領域尤其是鋰離子電池領域具有廣泛的應用,如電導率、表觀化學擴散系數、SEI的生長演變、電荷轉移及物質傳遞過程的動態測量。下面就結合實際案例介紹了電化學阻抗譜的基本原理、測試方法、測試注意事項、常用電化學阻抗測量設備及測試流程,具體分析了電化學阻抗譜在鋰離子電池中的應用。
1、電化學阻抗譜概述
電化學阻抗譜(electrochemical impedance spectroscopy,簡稱EIS)最早用于研究線性電路網絡頻率響應特性,將這一特性應用到電極過程的研究,形成了一種實用的電化學研究方法。
電化學阻抗譜精準測試需要具備一定的前提條件。首先,交流微擾信號與響應信號之間必須具有因果關系;其次,響應信號必須是擾動信號的線性函數;第三,被測量體系在擾動下是穩定的,即滿足因果性、線性和穩定性3個基本條件,可以用Kramers-Kronig變換來判斷阻抗數據的有效性。
2、實驗原理
電化學阻抗譜是在電化學電池處于平衡狀態下(開路狀態)或者在某一穩定的直流極化條件下,按照正弦規律施加小幅交流激勵信號,研究電化學的交流阻抗隨頻率的變化關系,稱之為頻率域阻抗分析方法。也可以固定頻率,測量電化學電池的交流阻抗隨時間的變化,稱之為時間域阻抗分析方法。
鋰離子電池的基礎研究中更多的用頻率域阻抗分析方法。EIS由于記錄了電化學電池不同響應頻率的阻抗,而一般測量覆蓋了寬的頻率范圍(μHz-MHz),因此可以分析反應時間常數存在差異的不同的電極過程。
2.1、電極過程動力學信息的測量
電化學阻抗譜在鋰離子電池電極過程動力學研究中的應用非常廣泛。一般認為,Li+在嵌入化合物電極中的脫出和嵌入過程包括以下幾個步驟,如圖1所示,
電子通過活性材料顆粒間的輸運、Li+在活性材料顆粒空隙間電解液中的輸運;
Li+通過活性材料顆粒表面絕緣層(SEI)的擴散遷移;電子/離子在導電結合處的電荷傳輸過程;
Li+在活性材料顆粒內部的固體擴散過程;
Li+在活性材料中的累積和消耗以及由此導致活性材料顆粒晶體結構的改變或新相的生成。
圖1嵌入化合物電極中嵌鋰物理機制模型示意圖
典型電化學阻抗譜,如圖2所示。主要包括隔膜、電極及集流體等歐姆阻抗,電子絕緣層SEI阻抗,電荷轉移阻抗,離子擴散阻抗及與晶體結構變化相關的阻抗幾個部分。通過電化學阻抗譜數據的解析可以定量或半定量的解析提取電池中的電極過程動力學信息。
圖2嵌入化合物電極中Li+脫出和嵌入過程的典型電化學阻抗譜
2.2、表觀化學擴散系數的測量
式中,ω為角頻率,B為Warburg系數,DLi為Li在電極中的擴散系數,Vm為活性物質的摩爾體積,F為法拉第常數,(F=96487 C/mol),A為浸入溶液中參與電化學反應的真實電極面積,dE/dx為相應電極庫侖滴定曲線的斜率,即開路電位對電極中Li濃度曲線上某濃度處的斜率。
2.3、電池材料的導電性測試
除了2.1和2.2中介紹的電極過程動力學和表觀化學擴散系數的測量之外,電池研究中,非常重要的一類研究工作集中在測試電池材料的導電性;包括電極材料(粉末、單顆粒、多孔電極、薄膜電極)、電解質材料(液體電解質、固體陶瓷電解質、薄膜電解質)、隔膜材料等。由于不同電池材料的物理形態及物化性質各不相同,因此,在具體測試材料的導電特性時使用的電極體系及電極構型也略有差異。總的來說,主要包括阻塞和非阻塞兩種測試體系.
3 、EIS測試設備及數據擬合
用于電化學阻抗譜測試的設備及用于數據擬合的軟件門類較多,如IM6、Solartron、Autolab、Novo control、辰華等;常見的用于EIS數據處理的軟件有Zview、ZSimpWin、EIS300、LEVMW、Impedance spectroscopy、Autolab Nova等。典型的用于EIS測試的電化學工作站其規格參數如表1所示。
由表1可知,不同的設備,在測試精度,量程、電壓范圍、測試通道的數量、頻率范圍等方面存在較大的差別。由于鋰離子電池電極過程動力學測試涉及的頻率范圍較為寬廣(μHz-MHz),從高頻到低頻,可能涉及電感、電容和電阻多元串并聯組合特性;實際測量對測試環境如濕度、溫度、電磁屏蔽等要求較高,因此,具體測試過程在設備選用時需要結合實踐及理論知識進行。
3.1、材料的EIS測試
以Autolab電化學工作站為例,介紹無機玻璃陶瓷電解質樣品的測試工步,如圖3所示。
No.8啟動測試
No.9數據保存
工步1:按圖3(步驟1)所示連接測試線,紅-紅-紅,黑-黑-藍,綠-綠;將試樣按正負極夾好,陶瓷片不區分正負極;關閉屏蔽箱(步驟2),依次打開工作站和放大器電源,打開Nova 2.1軟件。單擊Open library選項后,選擇FRA impedance potentiostatic選項卡。
工步2:單擊Autolab control選項,將Bandwidth選項設置為High stability,單擊FRA measurement選項,將First appli選項設置為1E+06,將Last appli選項設置為1,Nunber設置為20per decade(取點密度視具體需要設定),單擊三角形按鈕,選擇ok,開始測量。
工步3:測試完畢后,單擊File選項卡,單擊Save FRA impedance potentiostatic as選項,選擇保存位置,單擊保存(save);重復測試,如測試完畢,先關閉測試軟件,再關閉放大器電源,最后關閉工作站電源。
注意事項:測試過程保持屏蔽箱關閉狀態;安裝測試樣品過程需佩戴塑膠手套;測試過程中盡可能保持移動電話等設備遠離屏蔽箱。
3.2、EIS數據擬合流程
以Autolab軟件為例,介紹EIS數據擬合工步,如圖4所示。
工步1:打開Nova 2.1軟件,單擊Import data選項,選擇需要打開的文件,單擊打開按鈕。
工步2:單擊FRA measurement選項,然后單擊顯微鏡按鈕,單擊第一項Electrochemical circle fit,再單擊第二項Fit and simulation,雙擊Electrochemical circle fit,用鼠標滾輪放大或縮小圖,單擊選取第一個弧線上的8個點,使生成的曲線和弧線基本吻合,單擊Copy后,單擊返回箭頭。
工步3:單擊Fit and simulation,將窗口最大化,將Properties選項卡拉大,選擇Edit,按Ctrl+V,點擊連接處斷開Rp連接,在空白處單擊右鍵,選擇Add element,選擇Constant Phase Element(Q),拖動到連接處使電路連接,選擇Tools,選擇Run Fit and Simulation,記錄Rs,Rp和誤差(χ2)數值。如圓片試樣,需要記錄試樣厚度、重量、直徑。
注意事項:若處理誤差(χ2)數值大于0.1,需要單獨記錄,并重新擬合分析。
4、數據及案例分析
通過電化學阻抗譜測試,可以獲得鋰離子電池電極過程動力學參數,如SEI的生長規律,包括不同SOC、溫度及循環周次、SEI阻抗的變化;同時可以測試Rct的變化及傳質過程;除此之外,還可以測試電極、電解質、隔膜等材料的電導率、離子遷移數、表觀化學擴散系數等。合理的使用EIS可以幫助研究人員更好的理解電池,提升電池研發的水平。以下結合具體的案例介紹EIS在鋰離子電池中的應用。測試及分析對象包括單顆粒、半電池、全電池、電極材料、電解質材料、隔膜材料、著重討論電池中SEI的生長規律,Rct阻抗的變化特性、不同溫度、循環周次、阻抗的變化和SOC之間的關系等。
4.1、電子導電性測試
構成鋰離子電池的電極材料通常為混合導體,即同時具備電子和離子導電特性;電子和離子導電特性的良莠對于電池的電化學性能影響非常顯著,因此,測量電子和離子電導率尤為重要。以電子電導率測試為例,為了準確測量電極材料的電子導電特性,需要選用規整的樣品進行測試,如薄膜電極或致密陶瓷結構。通常,測量電極材料的電子電導率使用粉末電阻儀進行測試,如日本三菱化學粉末電阻儀。這類測試方法獲得的結果與粉末的壓實密度正相關,因此,很難測定材料的本征導電特性。
除了粉末電阻儀,電化學阻抗譜在測試電極材料的電子電導率方面也有重要的應用。YANG等基于SPS技術制備了致密度高達97%的陶瓷電極材料(LiCoO2,NMC-333,532,622,811);并在陶瓷材料的兩端濺射Au作為工作電極,進行線性V-I和電化學阻抗譜測試研究,測試原理如圖5(a)所示。
圖5塊狀樣品電子電導率和離子電導率的測試方法,(a)測試樣品示意圖,樣品兩側為離子阻塞電極;(b)典型的EIS測試數據Nyquist圖,由電子和離子的并聯電路構成;(c)直流極化曲線和伏安特性曲線,斜率為電子電阻
圖6展示了不同組成的正極材料變溫V-I曲線,直線的斜率代表電子電導率。對比圖6中的5組測試結果可知,隨著Ni含量的提高,正極材料的電子導電性在提升。為了進一步研究不同組成正極材料離子電導率的差別,YANG等測試了不同溫度下,各組分陶瓷正極材料的電化學阻抗譜。如圖7所示,通過數據擬合分析可知,隨著Ni含量的提升,正極材料的離子電導率也在顯著的提升,而從EIS圖譜中剝離出來的電子電導率,其測試結果同使用線性伏安方法測試結果基本一致。這表明,通過交流阻抗技術結合直流極化測試可以提取、區分電極材料的電子電導率和離子電導率。
圖6直流極化或伏安特性曲線,用來測試鈷酸鋰和三元NMC的電子電導率。(a)鈷酸鋰;(b)NMC333;(c)NMC532;(d)NMC622;(e)NMC11;(f)與溫度關聯的電子電導率
圖7鈷酸鋰和三元NMC的EIS測試結果20~100℃。(a)鈷酸鋰;(b)NMC333;(c)NMC532;(d)NMC622;(e)NMC811;(f)與溫度關聯的離子電導率
4.2、離子導電性測試
4.2.1、無機固體電解質
無機固體電解質是一類非常重要的快離子導電材料,在固態電池及固體傳感器等器件中有著重要的應用。準確測量這類電解質材料的離子導電特性具有非常重要的意義。以NASICON結構快離子導體LAGP為例,介紹無機快離子導體電導率的測試方法及可靠性。LING等通過高溫固相法制備了不同致密度的LAGP玻璃陶瓷片,通過離子濺射儀在陶瓷片的兩側制備了Au薄層作為工作電極,使用Novo control-Beta工作站,測試了陶瓷片的變溫EIS曲線,測試結果如圖8和圖9所示。由圖8可知,LAGP陶瓷片的電導率,無論是總電導率,還是體相電導率,或者是表觀晶界電導率,與溫度之間的關系均很好的符合阿侖尼烏斯關系式。圖9展示了不同致密度的陶瓷片在233 K時的阻抗譜,由圖9(d)可知,陶瓷片的體相電導率是本征量,與陶瓷片的表觀幾何參數及致密度等沒有切的關系,即使致密度從65%變化到91%,陶瓷片的體相電導率變化仍然非常小關系式.
圖8無機固體電解質LAGP的阿侖尼烏斯曲線
圖9不同溫度燒結的LAGP陶瓷片阻抗譜(233 K)及電導率和Cgb/Cbulk的比值關系
圖10展示了不同質量比復合電解質膜的變溫電導率曲線,由圖10可知,高離子導電性的無機硫化物電解質的引入提升了復合電解質的總電導率,和純PEO聚合物電解質相比,Li+遷移數也獲得進一步的提升。
圖10復合電解質膜的變溫電導率
4.2.3、薄膜電解質
圖11展示了采用上、下電極方式測試薄膜電導率的示意圖及N摻雜Li3PO4薄膜電解質LiPON的SEM表面及斷面形貌圖。圖12展示了LiPON薄膜電解質的室溫阻抗譜。從圖12中可以看出,阻抗譜由有一個規整的體相半圓響應和具有阻塞效應的容抗弧組成。
圖11三明治結構薄膜電極用于LPON電導率的測量及LPON薄膜電解質的XRD和SEM表面及斷面形貌
圖12 LiPON薄膜電解質在22℃時的阻抗譜Nyquist圖
圖13和圖14分別展示了使用叉指電極和面內電極測試薄膜電解質LLZO和LLTO電導率的示意圖及變溫電導率曲線,其中圖14展示了使用面內工作電極測試LLTO電導率的阿侖尼烏斯曲線。圖14的測試結果顯示LLTO的電導率和溫度的關系很好的符合了阿侖尼烏斯關系式,由此可知,面內電極EIS測試可以很好的表征材料離子輸運和溫度之間的線性關系。
圖13叉指電極用于LLZO薄膜電解質電導率測量
4.3、單顆粒SELMAN等運用不銹鋼微電極和電化學阻
抗譜研究了高溫(2800℃)熱處理的介孔碳單顆粒中Li+在嵌入和脫出過程中電極過程動力學信息,如電荷轉移、鋰離子表觀化學擴散系數、SEI的生長演變和電極電位之間的關系等,測試原理及表觀化學擴散系數如圖15、16所示,研究結論如下。
(1)石墨表面SEI阻抗不依賴于電極電位,由此可以推斷出,表面SEI應該是離子導電行為;
(2)電荷轉移電阻隨電極電位的變化而變化,但不受階轉變過程的影響,這表明電荷轉移過程發生在表面,而電位關聯的阻抗變化可能是由于活化過程的影響;
(3)單顆粒Li+的表觀化學擴散系數的變化范圍在10-6~10-10cm2/s。
圖15不銹鋼微電極用于介孔碳微顆粒電極的集流體
圖16人造中間相碳微球在不同電位vs.Li+/Li下表觀化學擴散系數
4.4、三電極
三電極阻抗譜原理示意圖如圖17所示。WAN等通過對比兩電極和三電極的Li/C電池體系的EIS測試結果,研究了兩電極阻抗和三電極阻抗的差別。研究結果表明,全電池(full cell)及兩電極電池的阻抗譜為三電極阻抗譜之和,如圖18所示,通過系統的兩電極與三電極的測試研究,WAN等得出了如下結論。
(1)在兩電極研究中,兩電極對稱電池阻抗是必要的參考數據,如圖19和圖20所示,從對稱電池阻抗譜上可以提取單個電極的信息;
(2)感應渦流在碳電極阻抗譜的低頻區域出現,隨后在首次的鋰潛入過程中,又消失了,如圖18所示,這可能表明在電極電解液界面可能存在吸附和脫附過程;
(3)對于內阻比較小的體系,容易在高頻區出現誘導電感現象,這些背景信號需要剔除,才可以正確的分析阻抗譜數據;
(4)兩電極阻抗等于三電極阻抗譜中正極部分和負極部分的阻抗之和;(5)電池中的阻抗可能主要來源于正極。
圖17三電極電池結構示意圖
圖18鋰/碳半電池在鋰首次潛入石墨中的兩電極和三電極構成
圖19三電極電池用于測試鋰離子首次潛入碳材料中的阻抗
圖20三電極開路電壓狀態下的阻抗譜
4.5、SEI的生長演化特性
JOW等運用常規兩電極EIS研究了石墨負極表面SEI的生長規律,測試體系為Li/石墨半電池,非原位阻抗測試結果及擬合電路如圖21、22所示,研究結果如下。
(1)石墨半電池的EIS阻抗嚴重依賴于電極電位,即鋰化狀態,根據RSEI和E之間的關系可知,石墨負極表面的SEI形成過程主要分兩個電位區間,第一個電位區間在0.15 V以上,在這個電位區間內,SEI的導電性比較差;第二個電位區間在0.15 V以下,這個區間SEI呈現出高導電特性;
(2)對于一個完整的電池,RSEI隨著充電和放電過程,其大小在可逆的發生變化,這主要歸因于石墨的體積膨脹和收縮;
(3)在第二個電位區間,RSEI的大小和電壓之間的關系主要有兩個影響因素。第一,形成高導電相的SEI,這直接顯著的降低RSEI阻抗;第二,石墨體積的膨脹導致了SEI阻抗的增加;
(4)首次鋰化及SEI的形成對電解液的組分及配方非常的敏感。總的來說,溶劑和鹽的反應活性越高,SEI的阻抗越大,另外,SEI的阻抗在首次鋰化過程對微量的添加劑如VC非常的敏感。
圖21首次脫鋰過程,鋰/石墨半電池在不同電壓的阻抗譜
圖22鋰/石墨半電池在0.05 V電位下的阻抗譜及等效擬合電路
4.6、弛豫時間分布技術DRT在解析SEI生長規律中的應用
FRIEDRICH等結合了兩電極和三電極阻抗測試,研究了石墨負極在不同荷電態SOC、不同溫度下SEI成膜特性,測試結果如圖23~圖25所示。并對電池中可能存在的電化學過程做了假設,建立了電極過程動力學模型,如圖24所示,研究結果如下。
(1)通過對比兩電極和三電極測試結果,發現石墨首次鋰化過程中,在電壓范圍在0.8~0.3 V的區間內,出現了SEI膜的峰值,這一最大值在第2圈的鋰化過程中并沒有出現,這可能是由于首圈形成的SEI在第2圈的時候,促進了Li+的去溶劑化,而SEI阻抗的逐漸減小過程標志著SEI在逐步形成完整膜的過程;
(2)溫度相關的阻抗測試結果表明,在-20~45℃之間,總阻抗隨著溫度的升高在逐漸減小;這主要歸因于溫度的升高使電解液的電導率得到提升,SEI的電導率也獲得了提升;同時,Rct過程也變得更加迅速。但在55℃以上,總電阻和45℃時的總電阻相比,阻抗有所增加。這表明,溫度過高誘導了副反應,導致阻抗增加;
(3)在0~45℃之間,從第1周到第2周,SEI的阻抗隨著溫度的升高在減小,但在0℃以下,從第1周到第2周,SEI的阻抗有所增加。這表明,在低溫下,首周不能形成致密的SEI膜。
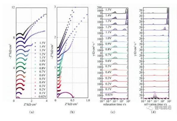
圖23石墨負極首次和第二次嵌鋰過程阻抗譜如圖(a)和(b)所示;(c)和(d)分別展示了首次和第二次鋰化過程的弛豫時間譜
圖24(a)展示了阻抗譜特征頻率點,不同電化學過程和關聯的阻抗譜元件及相應區域顯示在(b)中;(b)展示了半電池的阻抗分析和響應區域;藍色的并聯電路表示電流導電行為,這種電流存在于電極和集流體之間,紅色的并聯電路表示的是SEI的影響,綠色的并聯電路表示的是負極電荷轉移過程,橘黃色阻抗譜元件表示的是擴散及離子潛入過程,此外,歐姆阻抗和導體導電行為,(a)中歐姆阻抗來源于Celgard的三層隔膜電阻
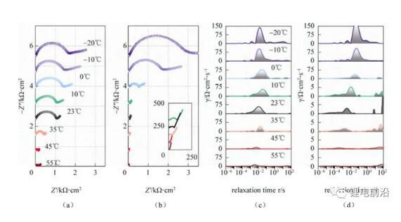
圖25石墨負極對金屬鋰電位在0.5V附近時,不同溫度下的阻抗譜,(a)顯示的第一周鋰化過程;(b)展示了第二周鋰化過程;(c)和(d)展示列了周和第二周鋰化過程的弛豫時間分布圖
5、結語
電化學阻抗譜是一種重要的電化學測試方法,在電化學領域尤其是鋰離子電池領域具有廣泛的應用,如電導率、表觀化學擴散系數、SEI的生長演變、電荷轉移及物質傳遞過程的動態測量等。合理的使用EIS可以幫助研究人員更好的理解電池,提升電池研發的水平。
文獻:鋰電池研究中的EIS實驗測量和分析方法作者:凌仕剛,許潔茹,李泓
相關新聞