熱線:021-66110810,66110819
手機:13564362870

熱線:021-66110810,66110819
手機:13564362870
2結果與分析
2.1電極預處理效果的電化學表征
由圖2-A可以看出,電位差在80 mV以下,峰電流比值趨近于1。由圖2-B可以看出,在不同掃描速率條件下(25、50、75、100、125、150、200 mV·s-1),活化后的玻碳電極(GCE)還原峰和氧化峰電流均和掃描速率的平方根呈良好的線性關系,說明玻碳電極經過處理后其氧化還原峰電流僅受擴散條件控制,玻碳電極作為裸電極的預處理效果達標,可以進行后續的組裝研究。
圖2玻碳電極預處理效果的循環伏安法表征(A)及預處理后的玻碳電極的還原峰和氧化峰電流和掃描速率的關系(B)
2.2電極組裝過程及電化學表征
由圖3可以看出,在掃描速率為50 mV·s-1,掃描范圍為-0.1~0.6 V的條件下,玻碳電極使用雙核微孔膜組裝后,由于核微孔膜阻礙了電子向電極表面的傳遞,所以峰電流值低于裸電極峰電流值;在兩層膜中間組裝上植物根尖分生組織后峰電流值進一步減小,這是由于植物根尖分生組織進一步阻礙了電子的傳遞。由圖3峰電流的變化可以看出,該組織傳感器組裝成功。
圖3循環伏安法對電極不同階修飾段的表征
2.3電流—時間測定法的電位優化
將構建好的植物根尖分生組織傳感器置于超純水中,采用電流—時間法,在不同電位下測試。以加入1×10-6mol·L-1的尿素前后穩態電流差去衡量不同電位對該傳感器電化學響應效果的影響。由圖4可知,該傳感器在-0.38 V時電流變化值最大,我們選擇-0.38 V為恒電位進行植物根尖分生組織傳感器對尿素傳感動力學特性的研究。
圖4電位對生物傳感器響應效果的影響
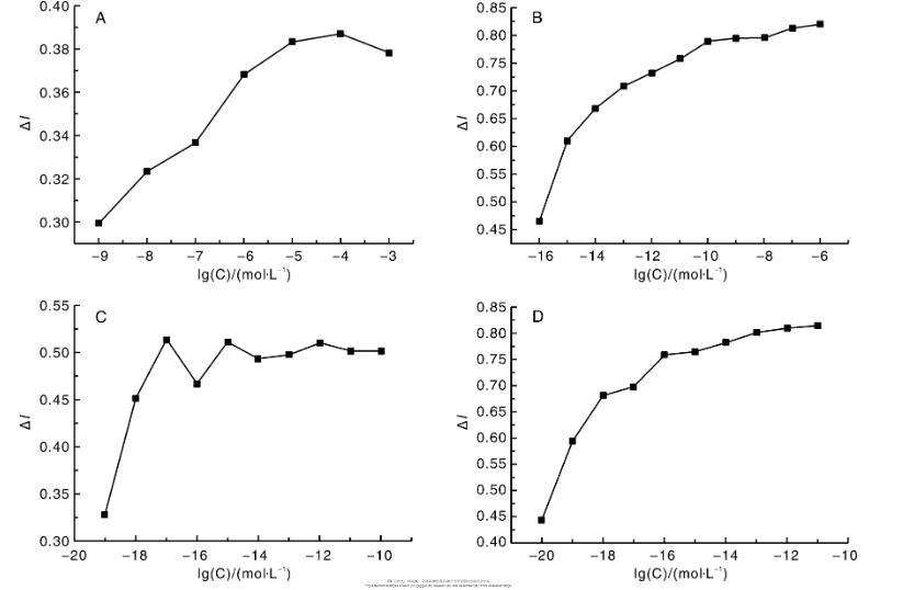
2.4植物根尖分生組織傳感器對尿素濃度的檢測范圍
將固定好的植物根尖分生組織傳感器用不同濃度的尿素溶液刺激,濃度從低到高依次測定,時間—電流法掃描,掃描電位選擇-0.38 V,靜置10 s左右,使受體和尿素充分結合后,第100秒電流值為穩態電流,每組實驗均平行測試3次,采用的數據是經儀器軟件平均化后的響應電流,以減少誤差。以電流在受體—配基結合前后電流的變化率△I為縱坐標,為方便后續計算以配基—尿素濃度C(mol·L-1)的對數值lg(C)為橫坐標作圖,結果如圖5,在低濃度范圍內,電流變化值呈線性增長,說明此時根尖對尿素的傳感能力遠大于尿素的量,后一部分呈曲線式緩慢增長,說明組織對尿素的傳感能力已接近上限。實驗目的是找到最小響應濃度,繼續增大尿素濃度對后續細分測試濃度和聯動變構常數的計算沒有影響。因此,無需繼續增加尿素濃度。
圖5玉米(A)、辣椒(B)、花椰菜(C)和黃瓜(D)在檢測范圍內的電流變化率
由圖5知,玉米、辣椒、花椰菜和黃瓜分別在10-9~10-3、10-16~10-6、10-19~10-10和10-20~10-10mol·L-1尿素的濃度范圍內,響應電流的變化率隨著濃度的增加呈現類似酶促反應動力學曲線。
2.5植物根尖分生組織傳感器對尿素傳感作用的動力學曲線
由圖5對電流變化率ΔI呈線性變化的濃度范圍做進一步的細分,通過時間電流法測定,用Origin 2019軟件分別對得到的參數曲線進行雙曲線擬合,得出4種植物準確的受體—配體互作動力學參數[18],如圖6。
圖6玉米(A)在10-8~10-4 mol·L-1、辣椒(B)在10-16~10-14mol·L-1、花椰菜(C)在10-19~10-4 mol·L-1和黃瓜(D)在10-20~10-18mol·L-1濃度范圍內電流變化率及雙曲線擬合
根據受體—配體互作動力學方程
上式為以[RL]為變量的一個雙曲線一元二次方程。當[RT]、Kd為固定時,[RL]隨[LT]的變化而變化,開始上升地很快,以后逐漸趨向于水平,這就是受體—配體互作的飽和曲線。該式說明了受體與配體的結合具有配體飽和的效應,和米氏酶促反應動力學有相似的特征。于是我們可以獲得類似于Km值的重要動力學參數Ka(配體—受體互作所產生的聯動變構激活常數)。
從圖6可以看出,在較低濃度下,電流的變化率隨尿素濃度的增加而增加,表明此時根尖組織上的受體傳感能力遠高于檢測溶液中的配體濃度。當達到一定濃度時,隨著尿素濃度的持續增加,電流的變化率基本恒定或變化非常小,表明此時根尖組織上的受體傳感能力已達到飽和。上述過程表明,傳感器不僅反映了受體與配體的結合,還反映了受體與配體結合后的通過細胞內信號傳導和級聯放大導致的電化學信號的改變,如離子通道的開啟或關閉。
相關新聞