熱線:021-66110810,66110819
手機:13564362870

熱線:021-66110810,66110819
手機:13564362870
2.5電化學試驗
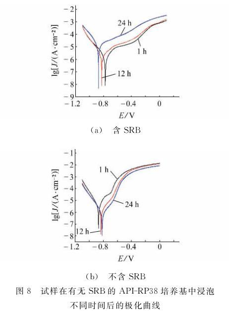
2.5.1極化曲線
由圖8可見:在浸泡初期,試樣在含SRB的API-RP38培養基中的自腐蝕電位(Ecorr)高于在不含SRB溶液中的,隨著浸泡時間的延長,在含SRB的API-RP38培養基中,試樣的Ecorr開始下降,腐蝕電流密度(Jcorr)有所增加。而在無SRB條件下,隨著浸泡時間的延長,試樣的Ecorr正移,Jcorr減小。用外推法對曲線進行擬合,結果見表2。
在含SRB溶液中,浸泡初期,SRB大量吸附在試樣表面,生物膜的存在一定程度上阻礙了腐蝕的進一步發展,使自腐蝕電位相對于滅菌條件下的有所增加;隨著浸泡時間的延長,自腐蝕電位開始負移,腐蝕電流密度開始變大。這是因為:首先隨著浸泡時間的增加SRB的繁殖改變了溶液中離子成分,生成的硫化物導電性增加,自腐蝕電位降低,這使得管材在SRB環境中更容易發生腐蝕,其次SRB腐蝕生成的FeS與鐵基體接觸時還能對陰極析氫產生催化作用而形成腐蝕電偶加速腐蝕。在滅菌條件下,隨著浸泡時間的延長,H2S使試樣產生均勻的腐蝕產物膜,由于產物膜的保護,試樣的自腐蝕電位正移,腐蝕電流密度減小,試樣得到保護。
2.5.2電化學阻抗譜(EIS)
由圖9可見:在有無SRB的API-RP38培養基中,試樣的EIS均呈現單容抗弧特征。浸泡時間不同,容抗弧的半徑有差異,即Rp的大小不同。采用ZSimpWin數據處理軟件對曲線進行擬合,結果見表3。根據YU等的研究,對碳鋼的SRB腐蝕而言,生物膜和產物層的貢獻是不能分離的,因此采用如圖10所示等效電路Rs{Qf[Rf(QdlRct)]}對阻抗譜等效電路進行擬合。
圖10中,Rs為溶液電阻,Rf是試樣表面電荷轉移電阻,Qdl是雙電層電容。Qf和Qdl為常相位角元件,分別有兩個參數:電容導納Y和無量綱指數n。在本文中分別標記為Yf,Ydl,nf和ndl。
由表3可見:在浸泡初期,由于SRB的吸附,含SRB溶液中Rf、Rct相對于滅菌溶液中的有所增加;隨著浸泡時間的延長,含SRB溶液中,Rf,Rct都有所降低。這表明隨著試驗的進行,SRB產生的硫化物增多,腐蝕產物膜的導電率增加,腐蝕產物膜阻抗Rf降低。同時,SRB代謝產物與金屬間的直接電子轉移,使Rct減小促進腐蝕加速過程。在不含SRB溶液中,隨著浸泡時間的延長,H2S腐蝕使試樣產生均勻的腐蝕產物膜,由于產物膜的保護作用,Rf、Rct有所增加,腐蝕減弱,這一試驗結果與極化曲線的測量結果一致。
表3電化學阻抗譜擬合結果
圖10電化學阻抗擬合等效電路圖
3結論
(1)從油田污水中提取的菌種為硫酸鹽還原菌,菌種在自配的API-RP38培養基中可以生長,細菌選擇合適的位置團簇在試樣表面。
(2)含SRB溶液中,試樣發生了嚴重的點蝕,進一步的研究表明,一旦SRB吸附在試樣表面,可以在高含H2S及高礦化度條下生存,造成試樣發生嚴重的局部腐蝕,且使腐蝕加速。
(3)極化曲線結果表明:SRB存在條件下,隨著浸泡時間的延長,試樣自腐蝕電位負移,腐蝕電流密度增大;滅菌條件下隨著浸泡時間的延長,試樣的自腐蝕電位變正,腐蝕電流密度減小。
(4)EIS結果表明:含SRB溶液中,隨著浸泡時間的延長,Rf、Rct下降,腐蝕加速;不含SRB溶液中,隨著浸泡時間的延長,H2S腐蝕產生的均勻腐蝕產物膜使Rf、Rct變大,腐蝕減弱。
相關新聞