熱線:021-66110810,66110819
手機:13564362870

熱線:021-66110810,66110819
手機:13564362870
Local effects of large food-falls on nematode diversity at an arctic deep-sea site: Results from an in situ experiment at the deep-sea observatory HAUSGARTEN
大型食物對北極深海地區線蟲多樣性的局部影響來自深海天文臺HAUSGARTEN的現場實驗結果
來源:Journal of Experimental Marine Biology and Ecology 502 (2018) 129–141
一、論文摘要
本研究通過在北極弗拉姆海峽的深海長期生態研究觀測站(HAUSGARTEN)進行原位實驗,探討了大型食物沉降(如動物尸體)對小型底棲生物,特別是線蟲多樣性的局部影響。研究人員將一具縱向剖開的鼠海豚尸體分別放置在2500米和5400米水深處。五周后,使用遙控潛水器(ROV)對尸體下方及周圍不同距離的沉積物進行采樣。結果表明,沉積物中的細菌和后生動物線蟲對食物沉降作出了快速響應。與對照點相比,食物沉降周圍的小型底棲動物和線蟲密度普遍增加。更重要的是,受影響的沉積物中的線蟲群落結構、營養功能和生命史策略均發生了顯著變化。研究證實,大型食物沉降對深海底棲群落的影響在很大程度上取決于環境因素(如水深、替代食物來源)以及背景物種組成。
二、研究目的
本研究旨在通過可控的原位實驗,深入理解大型食物沉降對深海小型底棲生物的影響,并檢驗以下三個核心假設:
沉積物中的細菌和后生動物線蟲會因清道夫生物散布食物而產生的有機質富集而快速響應。
食物沉降會導致其附近區域的小型底棲動物/線蟲密度增加。
大量有機質的輸入會導致線蟲群落組成發生改變,并影響其多樣性模式。
三、研究思路
研究采用了 “原位實驗-對照比較”的嚴謹思路:
實驗設置:將一具鼠海豚尸體對半剖開,利用底部著陸器將其分別放置在HAUSGARTEN觀測站的兩個不同水深點(2500米的Vestnesa海脊和5400米的Molloy海淵)。
采樣設計:在食物沉降部署35天后,使用ROV操作的推管式取樣器,在尸體下方以及其頭部、腹部和尾部前方0厘米、20厘米、40厘米處進行沉積物采樣。
對照設置:在部署尸體的同時,使用多管取樣器在距離實驗點一定距離(1-4海里)處采集未受影響的沉積物作為對照。
數據分析:對樣品中的環境參數(如葉綠素、微生物生物量)、小型底棲動物密度、線蟲群落結構(屬級分類)、營養類型和功能多樣性(c-p等級)進行了全面分析,并運用了多種統計方法(如ANOSIM, PERMANOVA, MDS等)進行檢驗。
四、測量的數據、來源及研究意義
研究測量了多方面的數據,這些數據及其意義如下:
環境背景參數(數據主要來自正文中的表1和圖3):


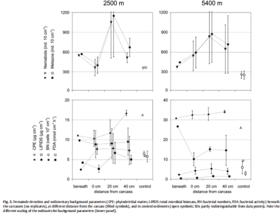
數據:包括沉積物中的葉綠素a、脫鎂葉綠素(指示 phytodetrital matter)、磷脂(指示總微生物生物量)、細菌數量、細菌生物量以及細菌外酶活性(FDA)。
研究意義:這些數據用于表征食物沉降周圍有機質富集的程度和微生物活動水平。結果顯示,兩個水深的食物沉降點附近,這些參數大多高于對照點,證實了實驗成功造成了局部有機質富集,為解釋生物響應提供了環境背景。
小型底棲動物和線蟲密度(數據主要來自正文中的表1和圖3):
數據:記錄了各采樣點的小型底棲動物總密度和線蟲密度。
研究意義:數據顯示,在兩個水深,食物沉降點附近的線蟲密度均普遍高于對照點,且在20厘米距離處往往達到峰值。這直接支持了第二個假設,表明有機質輸入刺激了線蟲種群的繁殖或聚集。
線蟲群落結構與多樣性(數據主要來自圖4、圖5和正文中的表3):



數據:通過屬級分類鑒定了線蟲群落組成,并計算了香農-威納多樣性指數(H‘)、均勻度指數(J’)和估計屬數(EG(30))等。
研究意義:非度量多維標度分析(NMDS,圖5)顯示,兩個水深的線蟲群落存在顯著差異。在2500米處,食物沉降點的線蟲多樣性(屬數)高于對照點;而在5400米處,差異不顯著。這表明食物沉降的影響因水深而異,較淺水深的群落響應更劇烈。
線蟲營養類型與功能多樣性(數據來自正文中的描述和表2):


數據:根據口器結構將線蟲分為選擇性沉積食性(1A)、非選擇性沉積食性(1B)、上皮刮食者(2A)和捕食/雜食者(2B),并計算了營養多樣性指數(ITD)和成熟度指數(MI)。
研究意義:在2500米處,食物沉降點沉積食性線蟲(1A)比例下降,而刮食者(2A)比例上升,導致營養多樣性增加。成熟度指數(MI)在食物沉降點降低,表明群落由機會主義(r-策略)類群主導。這揭示了食物沉降不僅改變了物種組成,更深刻地影響了整個群落的功能結構。
五、得出了什么結論?
證實了核心假設:研究全面證實了三個初始假設。沉積物生物對食物沉降有快速響應;線蟲密度在沉降點附近增加;線蟲的群落結構、營養和功能多樣性均發生了顯著變化。
水深是關鍵影響因素:食物沉降的降解速度和其對線蟲群落的影響強度因水深而異。在2500米處,清道夫(如大型端足類)更活躍,尸體降解更快,對線蟲群落的影響(如多樣性增加、功能群轉變)更為明顯。而在5400米處,降解較慢,影響相對較弱。
背景環境與物種庫的重要性:研究強調,食物沉降的最終生態效應并非孤立事件,而是受到當地環境條件(如本底有機質含量、氧氣狀況)和原有物種庫組成的強烈調制。不同水深的線蟲群落本身差異巨大,這決定了它們對同一干擾的不同響應方式。
創造了特殊的微環境:食物沉降導致了沉積物中氧氣的快速消耗,形成了局部缺氧環境,這為耐受低氧的特定線蟲類群創造了競爭優勢,從而驅動了群落演替。
六、詳細解讀使用丹麥Unisense電極測量出來的數據有什么研究意義
本研究中使用丹麥Unisense公司生產的克拉克型氧微電極進行了沉積物氧氣微剖面原位測量。這部分數據的研究意義非常關鍵,它為理解生物響應提供了機制性的、定量的環境證據。
直接證實了食物沉降造成的極端化學環境:Unisense電極測量獲得的氧氣剖面(圖6)清晰顯示,在尸體下方的沉積物中,氧氣在極淺的深度(2500米處 below 4.5-35 mm,5400米處 below 1.5-40 mm)就消耗殆盡。這與對照點氧氣可滲透至數厘米深形成鮮明對比。這直接證明了大型食物沉降的分解會迅速導致其下方沉積物嚴重缺氧,甚至可能產生硫化氫等有毒物質。
為觀察到的生物分布模式提供了核心解釋:氧氣微剖面數據為解釋“為什么線蟲密度在緊貼尸體下方并非最高,而在20厘米處出現峰值”提供了關鍵證據。尸體正下方是強缺氧/有毒環境,超出了大多數線蟲的耐受極限,因此成為“生理禁區”。而在稍遠的距離(如20厘米),有機質通過清道夫的排泄和物理擾動而擴散,形成了營養豐富但氧氣尚可忍受的“富集區”,從而吸引了大量線蟲。Unisense的數據量化了這一梯度,將生物分布模式與環境壓力梯度直接聯系起來。
揭示了驅動群落結構變化的潛在強制因子:嚴重的缺氧壓力是一種強烈的環境過濾機制,它會篩選出具有特定生理耐受性的物種。研究觀察到食物沉降點機會主義類群(耐低氧)比例增加,而保守型類群(通常需氧較高)比例下降,這一變化與Unisense電極揭示的缺氧狀態高度吻合。因此,該測量數據表明,氧氣可用性是驅動線蟲群落功能結構變化的一個主要非生物強制因子。
體現了深海生態學研究技術的前沿性:使用Unisense微電極進行原位、高分辨率(0.5毫米)的化學梯度測量,避免了采樣過程中對脆弱沉積物結構的破壞,獲得了更真實的環境數據。這種技術手段的應用,將研究從簡單的相關性描述(“有食物沉降,線蟲變了”)提升到了對背后因果機制(“因為食物沉降導致缺氧,從而篩選出耐低氧的線蟲”)的探索層面,大大增強了研究的深度和說服力。
綜上所述,丹麥Unisense電極提供的氧氣微剖面數據,不僅是另一個環境參數,更是連接“食物沉降這一物理事件”與“線蟲群落變化這一生物學響應”之間的核心橋梁,深刻揭示了深海極端但斑塊化分布的生境中,生物多樣性維持和變化的內在物理化學驅動機制。