熱線:021-66110810,66110819
手機:13564362870

熱線:021-66110810,66110819
手機:13564362870
Behavioral and physiological responses to prey match-mismatch in larval herring
幼年鯡魚對獵物匹配不匹配的行為和生理反應
來源:Estuarine, Coastal and Shelf Science 201 (2018) 82-94
論文總結
本文旨在通過實驗室實驗和個體模型(IBM)探究大西洋鯡魚(Clupea harengus)幼體在獵物豐富(匹配)和匱乏(不匹配)條件下的生理與行為適應性。研究聚焦北海秋季產卵(NSAS)和西波羅的海春季產卵(WBSS)種群,以揭示其早期存活機制。以下是詳細總結:
一、論文摘要
鯡魚種群年際補充量的差異常歸因于幼體與浮游動物獵物的時空匹配關系(匹配-不匹配假說,MMH)。本研究通過實驗室控制實驗,測量了NSAS和WBSS鯡魚幼體在獵物匹配(Acartia tonsa飽和濃度)與不匹配(無獵物)條件下的生長、游泳行為、營養狀況(RNA-DNA比率)和代謝率(呼吸速率)。結果表明:
匹配條件下:幼體生長快、活動度高、代謝旺盛;
不匹配條件下:游泳和攝食行為在2-4天內迅速衰退,伴隨體長體重比和RNA-DNA比下降;WBSS幼體代謝下調8-34%;
模型預測:25 mm幼體比12 mm幼體在不匹配中存活時間長25-33%(10°C vs 7°C),升溫加劇饑餓負面影響。
研究強調行為與生理調整對獵物匹配動態的適應性,為底層調控幼體存活提供機制見解。
二、研究目的
量化獵物匹配的影響:在受控條件下測量幼體生長、條件因子、RNA-DNA比、游泳/攝食活動和代謝率(呼吸)對獵物可得性的響應。
比較種群差異:對比NSAS(低溫秋季產卵)和WBSS(春季產卵)幼體的響應策略,揭示其生活史適應。
開發機制模型:將實驗數據納入個體模型(IBM),模擬行為與生理權衡如何影響不同場景(溫度、獵物濃度)下的存活與生長。
驗證適應性假說:檢驗幼體能否通過行為(減少活動)和生理(代謝下調)調整延長饑餓存活時間。
背景基于鯡魚種群補充量波動與獵物可獲性的緊密關聯,及氣候變化可能加劇匹配不良的風險。
三、研究思路
研究采用實驗室實驗與個體模型結合的方法:
實驗設計:
生物材料:NSAS和WBSS鯡魚幼體(分別于7°C和10°C培養),設置匹配(持續投喂 A. tonsa)與不匹配(初始投喂后禁食)處理(見Table 1)。

測量參數:每日記錄體長、干重、條件因子(SCF)、RNA-DNA比(sRD)、暫停持續時間(PD)、攝食率、標準呼吸速率(Rs)(使用Unisense微呼吸系統)。
模型開發:基于能量收支的IBM(Hufnagl & Peck, 2011),整合實驗獲得的活動-代謝關系(如PD與Rs的關聯),模擬不同溫度/獵物場景下的生長與存活(公式3-6)。

統計分析:采用重復測量ANOVA、Friedman檢驗等比較處理間差異(p<0.05),用R和SigmaPlot處理數據。
四、測量數據、來源及研究意義
研究測量了多維度數據,其意義及來源如下(數據均標注自原文圖/表):
獵物濃度動態(數據來自Fig. 1):

數據:匹配處理保持高獵物濃度(~5 ind ml?1),不匹配處理在2-4天內降至近零。
研究意義:驗證實驗處理的有效性,確認不匹配條件能快速引發饑餓應激,為行為/生理響應提供基礎。
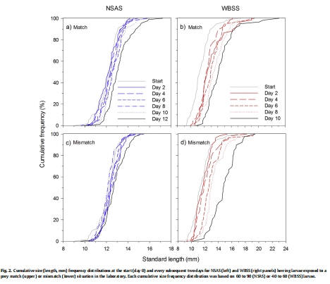
生長與條件指標(數據來自Fig. 2–4):



數據:匹配幼體體長增長快(NSAS: 0.08 mm d?1; WBSS: 0.24 mm d?1),SCF和sRD高;不匹配幼體生長慢(NSAS: 0.03 mm d?1)、SCF和sRD顯著下降(e.g., WBSS sRD從3.06降至1.99)。
研究意義:sRD和SCF作為靈敏的營養狀況指標,證實饑餓導致蛋白質合成減少和能量儲備耗竭;種群間差異(WBSS響應更快)反映溫度與代謝的交互作用。
行為活動變化(數據來自Fig. 3d–e, 4b–d):
數據:不匹配幼體的暫停持續時間(PD)增加(e.g., WBSS從0.4s至7.6s),攝食率下降(NSAS從2.2至0.1 events min?1)。
研究意義:行為調整(減少活動)是能量保存的關鍵策略,延長了饑餓下的潛在存活時間;PD作為行為指標可直接關聯至模型中的能量消耗。
代謝響應(呼吸速率)(數據來自Fig. 5):

數據:使用Unisense電極測量顯示,不匹配WBSS幼體的Rs降低(1.1–2.2 vs 1.3–2.4 μl O? mg DW?1 h?1),降幅8-34%。
研究意義:代謝下調證實生理性適應,減少基礎能量消耗以應對食物匱乏;為模型提供關鍵參數,量化能量收支。
模型模擬結果(數據來自Fig. 6):

數據:IBM成功復現實驗趨勢(如體長、體重、PD、Rs),預測較大幼體(25 mm)比較小幼體(12 mm)存活時間更長(25-33%),升溫減少存活時間。
研究意義:模型整合行為與生理響應,揭示體型和溫度通過影響代謝成本與能量存儲調節存活;提供工具預測氣候變化下匹配-不匹配的種群動態。
五、研究結論
獵物匹配驅動性能:匹配條件下幼體表現最佳(生長快、活動高、代謝旺),不匹配導致快速衰退(行為抑制、條件下降)。
行為與生理調整增強存活:減少活動(↑PD)和代謝下調(↓Rs)是關鍵適應策略,延長饑餓耐受時間(尤其低溫下)。
種群與溫度差異:WBSS(春季、10°C)比NSAS(秋季、7°C)響應更迅捷,但升溫加劇饑餓負面影響。
模型驗證機制:IBM確認行為-生理權衡的生存優勢,強調在浮游動態中考慮個體適應性響應的重要性。
六、詳細解讀使用丹麥Unisense電極測量出來的數據有什么研究意義
丹麥Unisense微呼吸系統(OX-MR)在本研究中用于測量幼體的標準呼吸速率(Rs),具體應用于方法章節的"Respiration Measurements"部分。其研究意義如下:
精準量化代謝響應:
技術描述:Unisense系統采用微電極技術,直接測量溶解氧消耗(精度±0.1%飽和度),實驗在嚴格控制溫度(10.1±0.1°C)和鹽度(16.0±0.2)下進行。幼體麻醉后測量(95%恢復率),確保數據反映標準代謝率(非活動狀態)。
研究意義:高靈敏度氧檢測可靠捕獲微小代謝變化(如8%下調),證實饑餓導致生理性代謝抑制(非僅行為減少),為能量模型提供精確輸入(Rs值用于公式3計算能量損失)。
揭示能量保存機制:
數據關聯:Rs下降(Fig. 5)與行為活動減少(PD增加,Fig. 4b)同步,表明綜合適應策略——行為節省運動耗能,生理降低維持耗能。
研究意義:直接證據支持“代謝下調延長存活”假說(如WBSS幼體存活↑30%)。若無此調整(如模型假設固定代謝),存活時間縮短(從8天至6天),凸顯生理靈活性的進化優勢。
支持跨種群比較:
溫度交互作用:Rs測量在10°C(WBSS)進行,發現代謝下調幅度大于低溫NSAS(7°C),表明溫度通過影響代謝率加劇饑餓效應(Q10效應)。
研究意義:Unisense數據幫助量化溫度-代謝-存活關系,預測氣候變暖可能放大匹配不良風險(如春季升溫使WBSS幼體更脆弱)。
方法與模型驗證:
技術優勢:Unisense系統提供連續、非侵入測量(避免傳統Winkler滴定離散誤差),數據直接整合IBM(公式3-4),驗證模型預測(Fig. 6i-l顯示模擬與實測Rs吻合)。
研究意義:實驗-模型閉環驗證增強結論可靠性,確立Unisense作為代謝研究金標準;為后續研究提供范式(如擴展至其他應激源如缺氧)。
總之,Unisense電極不僅是工具,更是解析生理機制的核心:其數據揭示了代謝下調是饑餓存活的關鍵適應,為理解與預測種群動態提供了定量生理基礎。