熱線:021-66110810,66110819
手機:13564362870

熱線:021-66110810,66110819
手機:13564362870
Variability in sediment-water carbonate chemistry and bivalve abundance after bivalve settlement in Long Island Sound, Milford, Connecticut
康涅狄格米爾福德長島灣沉積物-水碳酸鹽化學成分的變化和雙殼類物質在雙殼類物質沉降后的豐度
來源:Marine Pollution Bulletin(2018年,卷135,頁165-175)
論文概述
研究了美國長島海峽(Long Island Sound, LIS)潮間帶沉積物-水界面碳酸鹽化學與雙殼類動物(bivalve)豐度之間的關系。研究通過野外采樣和室內分析,結合統計學模型,揭示了沉積物孔隙水化學(如pH、堿度)和物理參數(如粒度)對雙殼類定居和豐度的潛在影響,為海岸帶生態系統管理提供了科學依據。
1. 摘要核心內容
摘要指出,雙殼類動物從浮游幼蟲向底棲幼體過渡時,沉積物環境中的化學信號可能影響其定居選擇。盡管已有研究關注水柱化學,但沉積物孔隙水碳酸鹽化學的作用尚不明確。本研究于2013年7-9月在長島海峽兩個站點(近岸和遠岸)進行野外實驗,測量了孔隙水碳酸鹽化學(pH、堿度AT、溶解無機碳DIC)、沉積物粒度及雙殼類豐度。主要雙殼類物種為Mya arenaria和Nucula spp。Akaike信息準則(AIC)模型分析表明:
總雙殼類群落豐度的29%可由粒度、鹽度和pH預測。
在雙殼類沉降高峰期(兩周數據),pH和磷酸鹽濃度解釋了總群落組成的44%,而pH、磷酸鹽和硅解釋了Nucula spp.豐度的71%。
摘要結論強調,沉積物碳酸鹽化學(尤其是pH)是影響雙殼類豐度的關鍵因素,可能通過調節定居成功率和早期生存來實現。
2. 研究目的
本研究的主要目的是:
量化沉積物-水界面碳酸鹽化學與雙殼類豐度的關系,重點評估pH、堿度、DIC等參數的作用。
比較物理(粒度)與化學因素對雙殼類定居的相對貢獻,識別主要驅動因子。
揭示長島海峽雙殼類群落動態的時空變異機制,為 shellfish 養殖和海岸帶保護提供基礎數據。
研究聚焦于雙殼類沉降期(7-9月),以捕捉關鍵生態過程。
3. 研究思路
研究采用了野外采樣與室內分析相結合、多變量統計建模的綜合思路:
采樣設計:在長島海峽設置4個站點(近岸站點1-A、2-A;遠岸站點3-B、4-B),于2013年7月29日至9月23日進行8次采樣(覆蓋沉降期)。站點位置如圖1所示。

數據收集:
沉積物物理參數:使用重力采樣器采集沉積物芯,分析粒度分布、含水量和殼含量(圖2顯示粒度與殼含量數據)。

孔隙水化學參數:使用丹麥Unisense微電極(pH-500和OX50探頭)原位測量pH和溶解氧濃度(毫米級分辨率);離心提取孔隙水后,分析堿度(AT)、DIC、磷酸鹽、硅等(方法部分描述)。化學數據如圖4所示。

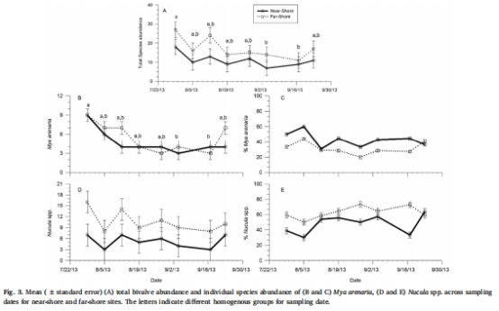
雙殼類生物數據:通過Smith-McIntyre抓斗采樣,計數和鑒定雙殼類物種,計算豐度(圖3顯示總豐度和主要物種數據)。

統計分析:
使用MANOVA檢驗環境變量的時空差異(表1和表2提供統計結果)。


應用AIC模型進行變量選擇,評估物理、化學參數對雙殼類豐度的預測能力(表3總結模型結果)。
4. 測量數據、來源及其研究意義
本研究測量了多維度數據,其具體來源和科學意義如下:
沉積物物理參數(來自 圖2和 表1):
數據:粒度(平均Phi值)、殼含量(%)、含水量。
研究意義:粒度是雙殼類定居的關鍵物理因子,影響孔隙水交換和幼蟲附著。數據顯示遠岸站點粒度更細(Phi=3.28),近岸較粗(Phi=2.89),這與雙殼類豐度差異相關(遠岸豐度更高)。殼含量變化反映了碳酸鹽緩沖能力,可能調節局部pH。
孔隙水化學參數(來自 圖4和 表1):
數據:pH(范圍6.18-8.34)、溶解氧(168-248 μM)、磷酸鹽(6-19 μmol/kg)、硅(165-278 μmol/kg)、堿度AT(1635-2808 μmol/kg)、DIC(1887-2439 μmol/kg)、文石飽和度Ω(0.30-3.52)。
研究意義:直接反映了沉積物微環境的化學狀態。pH和Ω的時空變異(如8月較高,9月降低)表明沉積物存在酸化風險。低Ω(<1)可能抑制雙殼類殼形成,而營養鹽(磷酸鹽、硅)與生物地球化學循環耦合,影響初級生產和幼蟲營養。
雙殼類豐度數據(來自 圖3和 表2):
數據:總豐度、Mya arenaria和Nucula spp.的個體數量。
研究意義:量化了雙殼類群落的定居成功度。遠岸站點豐度更高,且Nucula spp.占主導(40-60%),表明物種對環境梯度響應不同。時間上,豐度隨季節下降,可能與化學環境惡化或捕食有關。
統計模型結果(來自 表3):

數據:AIC模型R2值、關鍵預測變量(如粒度、pH、磷酸鹽)。
研究意義:揭示了環境變量的相對重要性。例如,總群落豐度的31%由粒度、pH和殼含量解釋;Nucula spp.豐度的71%由pH、磷酸鹽和硅解釋。這表明化學參數(尤其是pH)在預測豐度中扮演核心角色。
5. 主要結論
論文得出以下核心結論:
沉積物碳酸鹽化學顯著影響雙殼類豐度:pH是總群落和Nucula spp.豐度的關鍵預測因子,而堿度AT對Mya arenaria更重要。化學參數的解釋力(29-71%)高于單獨物理因子。
粒度與化學因子協同作用:粒度是基礎預測變量,但結合pH或營養鹽后模型改善,表明物理-化學耦合效應驅動定居過程。
時空變異顯著:遠岸站點化學條件更穩定(高pH、Ω),支持更高雙殼類豐度;時間上,沉降高峰期(8月)化學環境最優,后期酸化(Ω<1)可能增加死亡率。
管理意義:維持沉積物碳酸鹽化學穩定性(如通過殼緩沖)可能促進雙殼類資源可持續性,尤其在氣候變化導致酸化加劇的背景下。
6. 詳細解讀:使用丹麥Unisense電極測量數據的研究意義
本研究中使用丹麥Unisense公司的pH和氧微電極進行了關鍵的原位測量,這些數據在方法部分(2.2節)描述并用于生成圖4的化學剖面。
測量數據:Unisense微電極以高空間分辨率(pH電極尖端400-600 μm,氧電極40-60 μm)測量了沉積物孔隙水的pH和溶解氧垂直剖面,采樣深度達1 cm,并在氮氣手套箱中快速處理以保持樣品原態。
詳細研究意義解讀:
提供高精度原位化學數據:Unisense微電極的毫米級分辨率使其能夠捕捉沉積物-水界面的微觀化學梯度,避免了傳統孔隙水提取可能引入的氧化或擾動誤差。數據顯示pH在沉積物表層波動劇烈(圖4A),這直接反映了有機質降解和呼吸作用導致的局部酸化熱點。這種原位實時測量為關聯化學環境與生物響應提供了可靠基礎。
直接支撐碳酸鹽系統計算:電極測量的pH和氧數據是計算文石飽和度Ω的關鍵輸入參數(結合AT、DIC通過CO2SYS軟件)。Ω值(圖4G)顯示大部分時間Ω<1(未飽和),表明沉積物環境對雙殼類殼形成有潛在威脅。沒有Unisense的高質量pH數據,Ω的計算將缺乏準確性,無法量化酸化風險。
揭示化學-生物耦合機制:AIC模型表明pH是雙殼類豐度的主要預測因子(表3)。Unisense數據直接證實pH變異與雙殼類分布相關——例如,pH較高的遠岸站點支持更豐富的Nucula spp.(圖3D-E)。這暗示pH可能通過影響幼蟲趨化性、殼溶解或微生物循環間接調節定居成功率。
凸顯環境應激響應:氧剖面(圖4B)顯示濃度隨深度降低,與pH下降同步,表明缺氧和酸化常共存。這種協同應激可能加劇雙殼類代謝壓力,尤其對于幼體。Unisense電極的多參數同步測量能力幫助揭示了這種復合效應。
技術優勢與應用價值:Unisense電極的快速響應(<10秒)和校準穩定性使其適用于動態潮間帶環境。研究展示了如何將微電極技術與統計學結合,從微觀化學數據推導宏觀生態模式,為未來研究提供了方法論范例。
綜上所述,Unisense微電極在本研究中扮演了 “環境化學偵察器”的角色。其提供的高分辨率pH和氧數據不僅是描述性參數,更是量化沉積物酸化程度、計算生態相關指數(如Ω)、并建立化學-生物因果鏈的核心證據。沒有這些數據,研究無法準確揭示碳酸鹽化學對雙殼類豐度的具體影響機制,結論的深度和說服力將顯著降低。這項工作強調了高分辨率傳感技術在現代海洋生態研究中的不可替代性。