熱線:021-66110810,66110819
手機:13564362870

熱線:021-66110810,66110819
手機:13564362870
High resolution spatiotemporal sampling as a tool for comprehensive assessment of zinc mobility and pollution in sediments of a eutrophic lake
高分辨率時空采樣作為富營養化湖泊沉積物中鋅遷移率和污染的綜合評價工具
來源:Journal of Hazardous Materials 2018.09.067
論文概述
研究聚焦于中國太湖梅梁灣這一典型的富營養化湖區,通過整月度、高分辨率(4毫米)的沉積物-水剖面采樣,結合控制實驗,系統揭示了鋅在不同季節的遷移轉化規律、驅動機制及其對水生生態系統的污染風險。
1. 摘要核心內容
摘要指出,鋅(Zn)是必需微量元素,但過量會對水生生物造成危害并影響水質。為評估沉積物中鋅的污染風險,本研究采用高分辨率滲析法(HR-Peeper)和薄膜擴散梯度技術(DGT),以4毫米的垂直分辨率,調查了太湖梅梁灣富營養化湖區沉積物-上覆水剖面中溶解態Zn和DGT有效態Zn的月度變化。研究發現,二月和三月,沉積物中錳(Mn)氧化物的還原導致DGT有效態Zn濃度升高(14-235 μg L?1),DGT有效態Zn與Mn顯著相關證實了這一點。六月和七月,藻華通過藻類同化作用降低了上覆水中溶解態Zn的濃度。八月至十月,上覆水中溶解態Zn濃度(338-1023 μg L?1)超過了中國漁業水質標準(100 μg L?1),這歸因于藻類降解引發沉積物中Mn氧化物還原溶解,隨后溶解性有機物(DOM)與Zn的絡合作用(模擬藻華實驗證實)。冬季,Zn遷移性降低主要歸因于Mn氧化物的吸附。結論認為,在富營養化湖泊中,藻類降解期間沉積物鋅污染風險加劇的現象值得特別關注。
2. 研究目的
本研究的主要目的是全面評估富營養化湖泊沉積物中鋅的遷移性、污染風險及其驅動機制。具體目標包括:
揭示鋅遷移性的時空動態:利用HR-Peeper和DGT技術,定量刻畫溶解態Zn和DGT有效態Zn在沉積物-水剖面中的月度垂直分布和季節變化規律。
探究關鍵驅動機制:重點探究藻華(生長與降解)和氧化還原過程(特別是Mn氧化物的轉化)對鋅遷移性的影響。
評估生態風險:將監測到的鋅濃度與國內外水質基準/標準進行比較,評估其對水生生態系統的潛在風險。
驗證野外發現:通過室內好氧-厭氧培養實驗和藻華模擬實驗,驗證野外觀察到現象背后的機理。
3. 研究思路
研究采用了野外月度監測與室內控制實驗相結合的綜合思路:
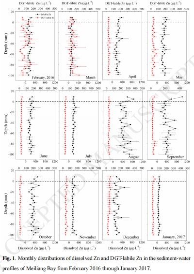
野外高頻監測:于2016年2月至2017年1月,每月在太湖梅梁灣采集沉積物柱狀樣。使用HR-Peeper(獲取溶解態Zn濃度剖面)和Zr-oxide DGT(獲取DGT有效態Zn濃度剖面)技術進行高分辨率(4mm)采樣(圖1, 圖2)。同時分析沉積物Zn形態(BCR連續提取法,圖3)及多種環境參數(DO, Eh, DOC等)。



室內控制實驗:
好氧-厭氧實驗:采集梅梁灣沉積物,通過交替通入氧氣和氮氣,模擬氧化還原條件變化,并利用Rhizon采樣器監測孔隙水中Zn、Mn、Fe的濃度變化(圖4)。

藻華模擬實驗:向沉積物-水系統中添加含銅綠微囊藻的湖水,模擬藻華生長、爆發和降解過程,監測不同時期(第1、15、44天)沉積物孔隙水中Zn、Mn、Fe的濃度晝夜變化(圖5, 圖6),并使用DGT測量有效態Zn(圖7)。



數據分析與機理闡釋:結合野外和室內數據,運用相關分析(表2, 表3)等統計方法,厘清Zn與Mn、Fe、DOM等環境因子的關系,最終提出Zn遷移轉化的概念模型(圖8)。

4. 測量數據、來源及其研究意義
測量的數據類型與意義
溶解態Zn與DGT有效態Zn濃度剖面(來自 圖1, 圖2)
數據:通過HR-Peeper和DGT獲取的月度溶解態Zn和DGT有效態Zn的垂直分布濃度(-100 mm至上覆水)。
研究意義:直接、高分辨率地量化了鋅在沉積物-水界面的生物有效性和遷移潛力。數據顯示了Zn濃度的顯著季節性波動,為揭示其遷移規律提供了最核心的證據。DGT有效態Zn與溶解態Zn的比值(R值)反映了沉積物固相對Zn的再補給能力。
沉積物Zn形態分級(來自 圖3)
數據:使用BCR連續提取法測定的沉積物中Zn的四種形態占比:可交換態及碳酸鹽結合態(酸溶態)、鐵錳氧化物結合態(可還原態)、有機物及硫化物結合態(可氧化態)、殘渣態。
研究意義:揭示了Zn在沉積物中的賦存形態和潛在活性。數據顯示可還原態(與Fe/Mn氧化物結合)是Zn的重要儲庫,其比例變化(如夏季降低、冬季升高)為解釋溶解態Zn的季節性釋放和固定提供了關鍵依據。
好氧-厭氧實驗Zn、Mn、Fe釋放動力學(來自 圖4)
數據:在控制實驗中,孔隙水中溶解態Zn、Mn、Fe濃度隨時間(小時)的變化曲線。
研究意義:實驗驗證了氧化還原條件對Zn釋放的驅動作用。數據清晰顯示,在厭氧條件下,Mn2?和Zn2?同步急劇升高,強有力地證明了Mn氧化物的還原溶解是Zn釋放的重要途徑。
藻華模擬實驗Zn晝夜變化(來自 圖5, 圖6)
數據:模擬藻華不同階段(初始、爆發、降解),沉積物不同深度及上覆水中溶解態Zn濃度的晝夜變化。
研究意義:揭示了藻華生命過程對Zn遷移的復雜影響。數據顯示,藻華生長期(第1天)Zn白天被吸收,降解期(第44天)Zn夜間大量釋放,并與Mn釋放顯著相關,證實了藻類活動通過改變微環境(耗氧、產生DOM)間接但強烈地驅動了Zn的遷移。
DGT有效態Zn剖面(藻華實驗)(來自 圖7)
數據:藻華模擬實驗后,DGT測得的有效態Zn垂直分布剖面。
研究意義:提供了藻華影響下Zn生物有效性的空間信息。數據顯示藻華處理后DGT有效態Zn濃度降低,結合溶解態Zn數據,表明藻類活動促進了Zn向溶解態有機絡合物的轉化(DGT無法捕獲),改變了Zn的形態和遷移性。
環境參數與相關性分析(來自 表2, 表3)



數據:月度水溫、DO、pH、Eh、DOC、葉綠素a等環境參數;Zn與Mn、Fe濃度的相關性分析。
研究意義:將Zn的地球化學行為與湖泊環境背景聯系起來。相關性分析(如DGT-Zn與DGT-Mn在2、3、9月顯著正相關)為“Mn氧化物還原驅動Zn釋放”的機制提供了統計支持。
5. 主要結論
論文得出以下核心結論:
鋅污染風險具有顯著季節性:太湖梅梁灣上覆水中的溶解Zn濃度在夏末秋初(8-10月)最高,并持續超過漁業水質標準(100 μg L?1),表明此期間鋅對水生生物構成高風險。
藻華是調控鋅遷移的關鍵因素:藻華通過兩個相反的過程影響Zn:
藻華生長期(6-7月):藻類同化吸收Zn,降低了上覆水中的溶解Zn濃度。
藻華降解期(8-10月):藻類殘體分解消耗氧氣,創造還原環境,導致沉積物中Mn氧化物還原,同時釋放大量DOM,兩者共同作用(還原釋放+DOM絡合)極大地促進了Zn向水體的釋放和遷移。
錳氧化物的轉化是核心地球化學過程:Mn氧化物的還原溶解是沉積物中Zn釋放的主要途徑(2-3月及藻華降解期),而Mn氧化物的再形成和吸附是冬季Zn被固定、濃度降低的主要原因。
鋅形態發生季節性轉化:藻華降解期,大量的Zn從固相釋放后,主要與DOM形成有機絡合物(DGT有效態Zn比例低而溶解態Zn濃度高),改變了其生物有效性和環境行為。
高分辨率采樣的必要性:本研究展示了HR-Peeper和DGT等高分辨率原位采樣技術對于揭示復雜沉積物-水界面過程及其動態變化的強大能力,是準確評估污染物風險的必要工具。
6. 詳細解讀:Unisense電極測量數據的研究意義
在本研究的好氧-厭氧控制實驗中,使用了丹麥Unisense公司的氧化還原(Eh)微電極(型號:OX-100)和pH微電極(型號:pH-500)。
測量數據:該電極在實驗的不同階段(控制期、好氧處理期、厭氧處理期)測量了沉積物剖面的氧化還原電位(Eh)的垂直分布(Supplementary Fig. S2)。
詳細研究意義解讀:
精確界定氧化還原臨界狀態與驅動機制:Unisense微電極提供的高分辨率Eh剖面,是解釋好氧-厭氧實驗中Zn、Mn、Fe釋放動力學的關鍵鑰匙。實驗數據顯示,在通入氮氣(厭氧處理)后,Eh值顯著降低(Supplementary Fig. S2)。這一定量的、實時的Eh數據,從熱力學上證實了沉積物環境確實從氧化狀態轉變為了強烈的還原狀態。正是這種低Eh環境,為微生物驅動Mn(IV)/Fe(III)氧化物還原為Mn(II)/Fe(II)提供了必要條件,從而直接導致了圖4中觀察到的Mn2?和Zn2?濃度的同步飆升。Unisense的Eh數據將“厭氧處理”這一操作與觀察到的元素釋放現象之間的因果機制緊密地聯系在一起。
關聯微生物活動與元素地球化學循環:沉積物Eh的降低主要是由微生物呼吸消耗氧氣和其他電子受體(如NO??, Mn??, Fe3?, SO?2?)所致。Unisense測得的Eh動態變化,間接但可靠地反映了沉積物中微生物代謝活動的強度和深度。將Eh數據與Zn/Mn釋放數據結合分析,強有力地支持了“微生物驅動的還原反應是Mn氧化物溶解和Zn釋放的根本動力”這一核心結論。沒有Eh數據的支撐,對Mn和Zn釋放的解釋將停留在推測層面。
為野外觀察提供機理解釋和實驗驗證:野外研究發現在二月、三月以及藻華降解期(八九月)Zn活性升高,并推測與Mn氧化物還原有關。室內好氧-厭氧實驗重現了這一過程,而Unisense電極監測到的Eh急劇下降正是觸發這一過程的“開關”。因此,室內實驗中的Eh數據驗證了野外提出的假設,表明季節性水溫變化和藻華降解導致的底層水缺氧和沉積物Eh下降,是驅動野外環境中Zn季節性釋放的同一機制。
確??刂茖嶒灥臈l件可控與結果可靠:通過使用Unisense電極實時監測Eh,研究者可以確保實驗按設計進行(成功營造了厭氧環境),并確保所有重復實驗處于相同的氧化還原水平,從而保證了實驗結果的可重復性和可靠性。這是得出嚴謹科學結論的重要基礎。
綜上所述,Unisense氧化還原微電極在本研究中扮演了 “環境反應過程的實時監測者與機制驗證者”的角色。它提供的高精度、原位、實時Eh數據,不僅僅是描述環境狀態的參數,更是連接“厭氧操作”-“微生物反應”-“地球化學過程(Mn/Fe還原)”-“污染物(Zn)釋放”這一完整因果鏈的核心證據。沒有這份可靠的Eh數據,室內控制實驗對野外現象的機理驗證力度將大大減弱,整個研究的說服力也會受到影響。它充分體現了高分辨率環境傳感技術在現代環境地球化學研究中的重要性。