熱線:021-66110810,66110819
手機:13564362870

熱線:021-66110810,66110819
手機:13564362870
Transient biogeochemistry in intertidal sediments: New insights from tidal pools in Zostera noltei meadows of Arcachon Bay (France)
潮間帶沉積物的瞬態生物地球化學來自阿卡琴灣佐斯特拉諾爾提草甸潮汐池的新見解
來源:Marine Chemistry 200 (2018) 1–13
論文概述
研究聚焦于法國阿卡雄灣潮間帶鰻草(Zostera noltei)草甸中的圓形潮汐池,旨在揭示這些特殊微環境在潮汐和晝夜周期內沉積物-水界面發生的快速、瞬態生物地球化學過程。
1. 摘要核心內容
摘要指出,盡管已有研究關注潮汐池水化學的短期變化,但對沉積物-水界面生物地球化學反應和通量的響應知之甚少。本研究基于原位微剖面測量和水體采樣,調查了潮汐池中溶解氧、營養鹽、硫化物和金屬的動態及其相關通量。綜合性的研究(涵蓋兩個不同季節、多個潮汐和晝夜周期)表明,水溫和光照是驅動潮汐池生物地球化學功能的主要因素,它們控制了微底棲生物的光合活性。光照變化引起了沉積物表層O2濃度的晝夜波動,進而導致沉積物-水界面O2擴散通量和沉積物O2滲透深度的波動。漲潮時,沉積物上方的湍流增強,導致含氧水在沉積物最表層發生平流,顯著增加了孔隙水O2濃度和O2滲透深度。孔隙水硫化物濃度和出現深度與O2動態在晝夜和潮汐周期上同步變化,表明中間氧化還原成巖過程在如此短的時間尺度上受到O2動態的影響。溶解錳在夜間向水體的顯著通量證實了沉積物柱中氧化還原過程的快速變化。本研究清晰地表明,潮汐池是瞬態生物地球化學過程的天然孵化器,并對海灣尺度的營養鹽預算有重要貢獻。
2. 研究目的
本研究的主要目的是:
表征潮汐池沉積物如何響應外部環境強迫(溫度、光照、水深)在潮汐和晝夜周期內的變化。
量化和理解這些變化所驅動的沉積物-水界面的生物地球化學過程和通量。
評估潮汐池在阿卡雄灣生物地球化學功能中的作用,特別是其對營養鹽循環的貢獻。
3. 研究思路
研究采用了多季節、多周期的現場綜合觀測思路:
選址與現場描述:在阿卡雄灣的潮間帶鰻草草甸中選擇典型的圓形潮汐池作為研究對象(圖1),并估算其覆蓋面積。

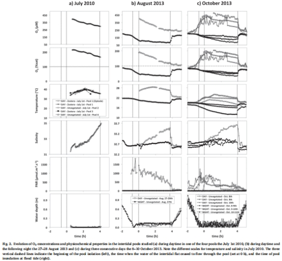
連續原位監測:使用自主傳感器連續監測池水溫度、鹽度、溶解氧(O2)、光合有效輻射(PAR)和水深(圖2)。

高分辨率原位微剖面測量:使用丹麥Unisense公司的MP6微型剖面系統,在沉積物-水界面進行O2、H2S、pH和溫度的垂直剖面測量(圖4)和固定深度的時序測量(圖5),分辨率達到亞毫米級。


水體化學分析:在潮汐池與海灣水體隔離期間,高頻采集水樣,分析營養鹽(NO3-, NH4+, PO43-, Sid)、溶解金屬(Mn, Fe)和總溶解無機碳(tCO2)的濃度變化(圖2, 圖3)。

通量計算與統計分析:基于水體濃度隨時間的變化計算總通量(表1);基于O2微剖面梯度計算擴散通量;使用距離線性模型(DistLM)統計分析環境因子對生物地球化學過程的驅動作用(附錄表A1, A2)。
4. 測量數據、來源及其研究意義
測量的數據類型與意義
池水物理化學參數(來自 圖2)
數據:溫度、鹽度、溶解氧(O2)、光合有效輻射(PAR)、水深。
研究意義:明確了潮汐池環境的極端可變性。數據顯示O2在白天顯著過飽和(最高達210%),夜間則消耗嚴重,直接證明了池內初級生產(光合作用)和呼吸作用的強烈晝夜交替,且池水體積小放大了這種效應。
池水化學組成(來自 圖2, 圖3 和 表1)

數據:營養鹽(NO3-, NH4+, PO43-)、溶解硅(Sid)、溶解錳(Mnd)、總溶解無機碳(tCO2)。
研究意義:tCO2與O2呈現相反的晝夜趨勢,印證了光合/呼吸作用。營養鹽濃度普遍較低,但計算出的通量表明沉積物是NH4+、PO43-和Sid的源。夜間Mnd通量比白天高一個數量級,是沉積物氧化還原狀態快速變化的直接證據。Sid通量與溫度正相關,暗示了硅質顆粒溶解的溫度依賴性。
沉積物微環境參數(來自 圖4 和 圖5)
數據:使用Unisense微型傳感器獲得的O2、H2S、pH和溫度的垂直分布及時序變化。
研究意義:這是論文最核心的發現。數據顯示沉積物最表層的O2濃度和滲透深度(O2 penetration depth)在分鐘尺度上劇烈變化,受光照(微底棲生物光合作用)和潮汐(水體擾動引起孔隙水平流)共同控制。H2S的出現深度和濃度與O2動態緊密耦合,O2滲透深度增加時,H2S被壓制到更深處。這揭示了沉積物最活躍的氧化還原層對環境變化的極高敏感性和快速響應能力。
5. 主要結論
論文得出以下核心結論:
潮汐池是動態的天然孵化器:其小體積特性放大了光照和溫度的變化,使其成為研究沉積物-水界面瞬態生物地球化學過程的理想場所。
O2動態是核心驅動力:微底棲生物的光合作用和水體擾動引起的平流共同控制著沉積物表層的O2濃度和滲透深度,其變化發生在分鐘尺度。
氧化還原過程快速響應:硫化物(H2S)和錳(Mn)等還原性物質的分布和通量緊密跟隨O2動態變化,表明沉積物中的氧化還原鏈反應在小時尺度上即可發生顯著調整。
營養鹽循環的時間尺度差異:氮、磷的再生與有機質礦化相關,其動態未表現出與O2相同的快速晝夜節律,可能受更長周期(如有機質輸入)控制。硅的釋放主要受溫度驅動的溶解作用影響。
海灣尺度的重要性:粗略估算表明,潮汐池對阿卡雄灣的營養鹽(如PO43-、NH4+)輸入有顯著貢獻,在進行海灣營養鹽收支計算時不容忽視。
6. 詳細解讀:Unisense電極測量數據的研究意義
論文中使用丹麥Unisense公司的MP6微型剖面系統進行了關鍵的原位測量,其獲得的數據具有非常重要的研究意義。
測量數據:該系統提供了沉積物-水界面處溶解氧(O2)、硫化氫(H2S)、pH和溫度的高分辨率(毫米級)垂直剖面(圖4)和高頻率(每5秒)時序數據(圖5)。
詳細研究意義解讀:
揭示了分鐘尺度的瞬態生物地球化學過程:傳統采樣方法(如采集孔隙水芯)無法捕捉到如此快速的變化。Unisense電極的實時原位測量顯示,沉積物表層的O2濃度可以在幾分鐘內發生數十μM的波動。這直接證明了潮間帶沉積物的生物地球化學狀態并非穩態,而是高度動態的,對潮汐(水動力)和晝夜(光照)周期做出即時響應。
闡明了O2動態的雙重控制機制:
生物控制(光合作用):數據顯示,在白天退潮池水隔離時,盡管上覆水很淺,沉積物表層的O2濃度可高達600 μM,遠超過上覆水。這強有力地證明了微底棲生物的光合產氧是O2的主要來源,并且其活性在沉積物最表層極其旺盛。
物理控制(孔隙水平流):數據清晰地顯示,在漲潮時,即使是在夜間(無光合作用),沉積物表層的O2濃度也會立即升高。這證明了水體加深和波動引起的壓力變化,能將上覆的含氧水“推入”沉積物最表層數毫米,形成一種平流輸送。這種過程在傳統的擴散模型中被忽略,但對氧化層的維持至關重要。
提供了氧化還原耦合的直接證據:O2和H2S的剖面同時測量發現,H2S的出現深度(ZH2S)總是比O2的滲透深度(ZO2)深約9±4 mm。這個“氧化還原過渡區”的存在,以及H2S濃度和出現深度與O2動態的同步變化(O2升高,H2S被壓制;O2降低,H2S上涌),直觀地展示了沉積物中氧化還原過程的緊密耦合。O2的動態直接調控著下部還原性物質(如H2S)向上遷移的“邊界”。
將沉積物過程與水體通量聯系起來:時序測量顯示,夜間沉積物表層O2耗盡的同時,水體中溶解錳(Mnd)濃度開始顯著上升(圖3)。這建立了完整的因果鏈:夜間O2滲透深度變淺 -> 錳氧化物還原層更接近界面 -> 產生的溶解錳更容易擴散至上覆水。Unisense的O2數據為解釋水體Mn通量的晝夜差異提供了沉積物內部的機制證明。
驗證了潮汐池作為“天然實驗室”的價值:在開闊的潮下帶環境中,很難將水動力效應(如平流)與生物效應(如光合作用)分離開來。而在潮汐池退潮隔離期間,水動力近乎靜止,此時觀測到的O2升高純粹由光合作用引起。在漲潮時,則可以觀察到純粹的水動力效應。Unisense電極的高分辨率數據使得在這種“天然實驗”中分離不同控制因子成為可能。
綜上所述,Unisense微型電極的應用,使得研究者能夠“窺視”到沉積物-水界面這個“黑箱”內部正在發生的、快速的、動態的變化。它提供的數據不僅是描述性的,更是機制性的,將物理(潮汐、平流)、化學(氧化還原)和生物(微底棲生物)過程在毫米尺度和分鐘尺度上聯系起來,極大地深化了對潮間帶生態系統瞬時生物地球化學循環的理解。