熱線:021-66110810,66110819
手機:13564362870

熱線:021-66110810,66110819
手機:13564362870
Putative Iron-Sulfur Proteins Are Required for Hydrogen Consumption and Enhance Survival of Mycobacteria
推定的鐵硫蛋白是氫消耗所必需的并增強分枝桿菌的生存
來源:Frontiers in Microbiology, volume 10, article 2749, November 2019
《微生物學前沿》,第10卷,文章編號2749,2019年11月
摘要
這篇論文研究了好氧土壤細菌通過氧化大氣分子氫(H2)來維持持久存在的機制,重點關注Mycobacterium smegmatis中的兩種[NiFe]-氫化酶Huc和Hhy。摘要指出,大氣H2氧化是生物地球化學氫循環的主要匯,支持貧營養生態系統的生產力。在M. smegmatis中,H2氧化由Huc(group 2a)和Hhy(group 1h)氫化酶催化,但電子傳遞機制尚不明確。研究通過遺傳方法證實,氫化酶操縱子上編碼的推定鐵硫蛋白HucE和HhyE是H2消耗所必需的。序列分析顯示這些蛋白雖同源但屬不同系統發育分支,具有不同金屬結合 motif。缺失這些基因會減少或消除H2氧化,并輕微但顯著降低生長產量和長期生存。生化和表型分析表明,缺失這些蛋白的突變體與氫化酶結構亞基突變體相似。作者假設這些蛋白介導電子從氫化酶到呼吸鏈 menaquinone 池的傳遞,但其他角色(如成熟)也可能。這些蛋白的保守性表明它們是大氣H2氧化的重要決定因素。
研究目的
研究目的是確認推定鐵硫蛋白HucE和HhyE在M. smegmatis氫氣消耗中的作用,并探討它們對細菌生長和生存的影響,以解析氫化酶電子傳遞機制。
研究思路
研究思路是使用等位基因交換誘變生成hucE和hhyE基因的標記缺失突變體(包括單突變和雙突變),并通過互補實驗恢復基因功能。然后,使用氫氣電極測量 whole cell 的氫氣氧化速率,通過活性染色(zymography)檢測氫化酶活性,進行生長曲線和長期生存實驗評估表型變化。此外,進行序列和系統發育分析以研究HucE和HhyE的保守性和進化關系。所有實驗與野生型菌株和氫化酶結構亞基突變體進行比較,以確定這些蛋白的功能重要性。
測量的數據及研究意義
1 氫氣氧化速率數據來自圖2,使用丹麥Unisense H2微傳感器電極測量。研究意義是直接量化突變體對氫氣的消耗能力,顯示缺失HucE或HhyE顯著降低氧化速率,雙突變則完全消除活性,證實這些蛋白是氫氣氧化所必需的,并支持它們在電子傳遞中的核心作用。

2 氫化酶活性染色數據來自圖3,通過 native PAGE 和 nitroblue tetrazolium 染色檢測。研究意義是可視化氫化酶活性,顯示缺失HucE或HhyE導致活性條帶消失,互補實驗恢復活性,驗證這些蛋白對氫化酶功能不可或缺,且與結構亞基缺失表型一致。

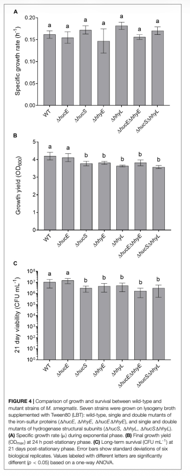
3 生長和生存數據來自圖4,包括生長速率、生長產量和21天生存率。研究意義是評估突變體的生理影響,顯示缺失HhyE或雙突變降低生長產量和生存率,表明氫氣氧化貢獻于能量代謝和長期持久性,但缺失HucE影響較小,提示功能差異。

4 序列和系統發育分析數據來自圖1,包括 motif 分析和進化樹。研究意義是揭示HucE和HhyE的保守域和系統發育關系,支持它們與特定氫化酶類型的關聯,并推斷其在多種細菌中的廣泛功能角色。

結論
論文得出結論,HucE和HhyE是M. smegmatis中氫氣氧化和氫化酶功能所必需的蛋白,缺失這些蛋白會完全消除H2消耗能力,并損害生長和生存。這些蛋白可能作為電子傳遞介質,將電子從氫化酶催化亞基傳遞到呼吸鏈 menaquinone 池,但也可能參與氫化酶成熟或結構穩定。它們的保守性 across hydrogenase-encoding organisms 表明它們是大氣H2氧化機制的關鍵組成部分,為理解細菌能量代謝和生態持久性提供了新見解。
使用丹麥Unisense電極測量數據的研究意義
使用丹麥Unisense H2微傳感器電極測量的數據是氫氣濃度變化,用于計算氫氣氧化速率。研究意義在于提供高精度和實時監測 of H2 consumption in microrespiration assays,確保實驗數據的準確性和可重復性。電極通過極化校準,能檢測低濃度氫氣變化,這對于研究大氣水平H2氧化至關重要。測量結果直接驗證突變體對氫氣代謝的影響,支持遺傳學結論,并強調HucE和HhyE在電子傳遞中的必要性。這種技術可靠性增強了研究結論的可信度,為分子機制探索提供了堅實的數據基礎。