熱線:021-66110810,66110819
手機:13564362870

熱線:021-66110810,66110819
手機:13564362870
Simultaneous removal of carbon, sulfur, and nitrogen from biological synthetic wastewater: aerobic and anaerobic approach
從生物合成廢水中同時去除碳、硫和氮:好氧和厭氧方法
來源:Arabian Journal of Geosciences, Volume 12, 2019, Article Number 168
《阿拉伯地球科學雜志》,第12卷,2019年,文章編號168
摘要
摘要指出,以往處理含有機質、硫和氮化合物的廢水通常采用分離生物技術,本研究調查了在單一生物反應器中于有氧和缺氧條件下同時去除碳、氮和硫的性能。結果顯示,COD、硝酸鹽和硫酸鹽的去除產物主要取決于介質pH值,底物比率如C:N、C:S和N:S會導致多樣化的最終產物。在好氧條件下,COD完全降解為CO2和H2O,硝酸鹽通過異化硝酸鹽還原為銨(DNRA)轉化為銨,硫酸鹽大部分轉化為元素硫。在厭氧條件下,COD主要貢獻于甲烷生成,但COD轉化率較低;硝酸鹽通過反硝化轉化為氮氣,但元素硫生成量較少。這些信息有助于理解好氧和厭氧廢水處理中細菌相互作用的復雜性。
研究目的
研究目的是調查在單一生物反應器中于好氧和厭氧條件下同時去除碳、氮和硫的可行性,比較兩種條件下的去除效率、產物和機制,以優化廢水處理過程并減少環境影響。
研究思路
研究思路是建立兩個批處理生物反應器(好氧和厭氧),在相似中溫條件(35°C)下操作,使用合成廢水,監測COD、硝酸鹽和硫酸鹽的去除動態。通過分析pH值、底物比率和微生物活動,評估去除效率和產物形成。使用標準方法測量水質參數,并通過Unisense電極等設備檢測溶解H2S濃度,以揭示反應機制。
測量的數據及研究意義
1 COD去除數據:來自圖1(好氧)和圖4(厭氧),顯示好氧條件下COD去除率高達90%,厭氧條件下為68-80%。研究意義是確認好氧處理更高效于碳去除,厭氧處理中COD貢獻于甲烷生成,為優化碳去除策略提供依據。


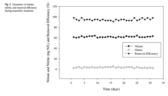
2 氮去除數據:來自圖2(好氧)和圖5(厭氧),顯示好氧條件下硝酸鹽去除率為83-90%,厭氧條件下為96-98%。研究意義是揭示好氧條件下DNRA路徑主導,厭氧條件下反硝化路徑主導,幫助理解氮轉化機制。


3 硫去除數據:來自圖3(好氧)和圖6(厭氧),顯示好氧條件下硫酸鹽去除率為85-97%,厭氧條件下近100%。研究意義是表明好氧條件下硫酸鹽轉化為元素硫,厭氧條件下硫化氫生成較少,指導硫回收和減少污染。


4 pH變化數據:來自圖7,顯示好氧和厭氧過程中的pH波動,好氧最適pH低于7,厭氧對pH更敏感。研究意義是強調pH作為關鍵因素影響微生物活性和產物形成,需在操作中控制pH以優化處理。

結論
1 好氧條件下COD完全降解為CO2和H2O,硝酸鹽通過DNRA轉化為銨,硫酸鹽主要轉化為元素硫,顯示高效去除和資源回收潛力。
2 厭氧條件下COD貢獻于甲烷生成但轉化率較低,硝酸鹽通過反硝化轉化為氮氣,但元素硫生成量較少,表明厭氧處理在硫回收方面受限。
3 pH值和底物比率(C:N、C:S、N:S)是決定去除產物和效率的關鍵因素,需在設計中綜合考慮以優化性能。
4 研究為同時C、N、S去除提供了比較框架,支持好氧和厭氧工藝的選擇和整合。
使用丹麥Unisense電極測量數據的研究意義
使用丹麥Unisense電極測量數據的研究意義在于其高精度實時監測溶解H2S濃度的能力,這有助于準確追蹤硫轉化過程。在研究中,電極數據(來自分析 procedures 部分)提供了溶解H2S的動態變化,揭示了在好氧和厭氧條件下硫化物的生成和消耗模式。例如,在好氧反應器中檢測到低濃度硫化氫(<5 mg/L),表明硫酸鹽還原為元素硫而非大量H2S,減少了二次污染風險。這種實時監測幫助驗證了硫代謝路徑,優化了操作條件(如氧氣水平),以確保高效硫去除和最小化有害氣體排放,從而增強處理系統的環境可持續性。