熱線:021-66110810,66110819
手機:13564362870

熱線:021-66110810,66110819
手機:13564362870
Simultaneous removal of elemental mercury and NO by mercury induced thermophilic community in membrane biofilm reactor
熱膜生物膜反應器中汞誘導嗜熱群落同時去除元素汞和一氧化氮
來源:Ecotoxicology and Environmental Safety, Volume 176, 2019, Pages 170-177
《生態毒理學和環境安全》,第176卷,2019年,頁碼170-177
摘要
摘要指出,研究調查了熱膜生物膜反應器(TMBR)在6%氧氣和60°C條件下同時去除元素汞(Hg?)和一氧化氮(NO)的性能。TMBR在210天運行中實現了高效的Hg?和NO去除,去除效率分別達到88.9%和85.3%。形成了汞誘導的嗜熱群落,包括Comamonas、Pseudomonas等耐汞細菌,以及具有汞和氮代謝功能基因的硝化/反硝化菌屬,如Brucella、Paracoccus等。通過XPS和HPLC分析,證實了汞被氧化為Hg2?,并檢測到甲基汞。TMBR使用氧氣作為電子受體,NO和Hg?作為電子供體,在硝化和反硝化過程中實現去除。
研究目的
研究目的是評估熱膜生物膜反應器(TMBR)同時去除元素汞(Hg?)和一氧化氮(NO)的性能,并揭示其機制,包括微生物群落結構、功能基因以及反應途徑,以促進在煙氣處理中的應用。
研究思路
研究思路是建立熱膜生物膜反應器(TMBR)系統,在模擬煙氣條件(6%氧氣、60°C)下運行,通過長期監測Hg?和NO的去除效率,分析微生物群落結構(使用16S rDNA和宏基因組測序),表征生物膜(使用XPS和HPLC),并基于功能基因和代謝途徑探討去除機制。系統運行240天,分四個階段研究不同負載和氣體停留時間的影響。
測量的數據及研究意義
1 Hg?和NO的去除效率數據:來自圖2,顯示長期運行曲線,包括不同階段的去除效率變化。研究意義是驗證TMBR在高溫和高氧氣條件下的穩定性和高效性,為工程應用提供支持。

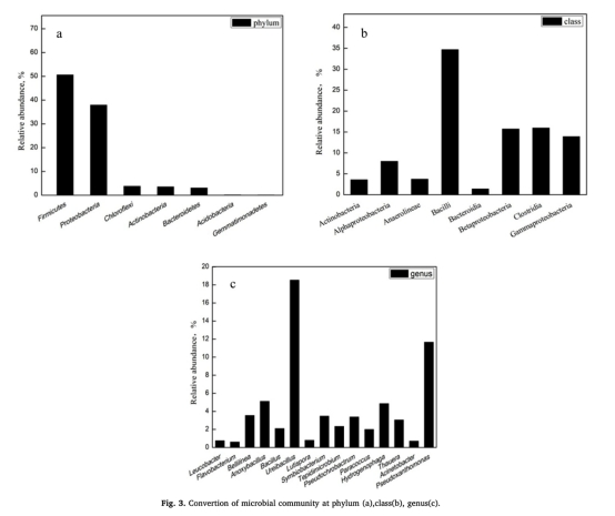
2 微生物群落結構數據:來自圖3a、3b、3c,顯示門、綱、屬水平的相對豐度,如Firmicutes(50.7%)、Proteobacteria(30%)等,以及具體菌屬如Ureibacillus、Pseudoxanthomonas。研究意義是識別耐汞和反硝化菌屬,解釋群落適應性和功能。

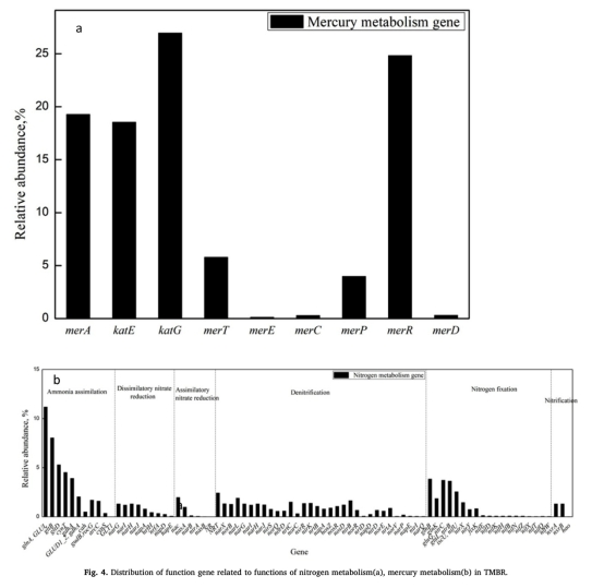
3 功能基因分布數據:來自圖4a和4b,顯示汞代謝相關基因(如katE、merA)和氮代謝相關基因(如glnA、narG)的相對豐度。研究意義是闡明生物化學機制,確認汞氧化和反硝化途徑。

4 XPS和HPLC分析數據:來自圖6a和6b,XPS顯示Hg4f峰位指示Hg2?形成,HPLC顯示甲基汞峰。研究意義是證實汞的氧化和甲基化過程,提供直接證據支持生物轉化。

5 機制示意圖數據:來自圖7,展示TMBR中好氧和缺氧區的反應路徑。研究意義是直觀描述Hg?和NO的去除機制,整合硝化、反硝化和汞氧化過程。

結論
1 TMBR能高效同時去除Hg?和NO,去除效率分別達85.3%和88.9%,表明在高溫煙氣處理中具有潛力。
2 形成了汞誘導嗜熱群落,包括Paracoccus、Bacillus等菌屬,這些菌具有汞和氮代謝功能基因,如merA和nosZ。
3 機制涉及氧氣作為電子受體,Hg?和NO作為電子供體,在硝化和反硝化過程中實現轉化,汞被氧化為Hg2?并可能甲基化。
4 研究為煙氣處理提供了新方法,利用熱膜生物膜反應器實現多污染物協同去除。
使用丹麥Unisense電極測量數據的研究意義
使用丹麥Unisense電極測量數據的研究意義在于其高精度實時監測能力,能夠量化生物膜內的溶解氧(DO)濃度分布。在研究中,Unisense微電極測量(第3.5節)顯示好氧區DO為2.24-7.44 mg/L,缺氧區DO為0.47-0.21 mg/L,這幫助區分生物膜的好氧和缺氧區域,從而解釋硝化和反硝化發生的微環境。這種測量證實了氧氣梯度對反應機制的關鍵影響,支持了Hg?和NO去除的路徑分析,即好氧區進行硝化和汞氧化,缺氧區進行反硝化。此外,DO數據有助于優化操作條件,如氣體停留時間,以最大化去除效率,減少能源消耗。研究意義是提供了微觀環境洞察,增強對生物膜過程的理解,并指導反應器設計和控制策略。