熱線:021-66110810,66110819
手機:13564362870

熱線:021-66110810,66110819
手機:13564362870
Benthic cyanobacterial detritus mats in lacustrine sediment:Characterization and odorant producing potential
湖沼沉積物中底棲藍藻碎屑墊表征和氣味產生潛力
來源:Environmental Pollution
論文摘要
本研究探討了富營養化湖泊(太湖)中底棲藍藻碎屑墊的形成、特征及其產生致臭物質的潛力。通過現場調查與室內分析,發現藍藻水華衰亡后大量碎屑被水生植物捕獲并沉積,在沉積物表層形成缺氧、還原性、低pH的碎屑墊。這些碎屑墊在分解過程中產生大量致臭物質,其濃度在有植被區域(3-52倍)顯著高于無植被區域。主要致臭物包括二甲基三硫醚(DMTS)、β-紫羅蘭酮和β-環檸檬醛,平均含量分別達52.38、162.20和307.51 ng·(g·dw)?1。研究證實致臭物的生成與沉積物中可生物降解化合物(蛋白質、碳水化合物、脂質)的分布顯著相關,且上覆水與沉積物中的致臭物濃度呈對稱分布,表明存在從沉積物向上覆水擴散的風險。該研究揭示了底棲藍藻碎屑墊作為湖泊內源污染的重要來源,對富營養化湖泊管理具有指導意義。
研究目的
表征底棲藍藻碎屑墊:明確水華后藍藻碎屑在沉積物中的積累形態、理化特性及空間分布(有植被vs無植被區)。
評估致臭物質產生潛力:量化碎屑墊分解過程中關鍵致臭物(如硫醚、萜類)的生成量及其環境驅動因素。
揭示機制關聯:探究致臭物與可生物降解化合物(蛋白質、碳水化合物、脂質)之間的相關性,建立預測模型。
評估生態風險:分析致臭物從沉積物向上覆水擴散的潛在風險,為湖泊治理提供科學依據。
研究思路
研究采用“現場采樣-高分辨率監測-多參數分析-統計驗證”的思路:
現場采樣設計:在太湖竺山灣選擇4個點位(A、D無植被;B、C有蘆葦植被),采集沉積物柱樣(0-30 cm)和上覆水樣。
微環境原位監測:使用丹麥Unisense微電極系統原位測量沉積物-水界面的溶解氧(DO)、硫化氫(H?S)、氧化還原電位(Eh)和pH的垂直微剖面(數據見圖1),界定碎屑墊的化學環境特征。
多參數實驗室分析:

基本參數:測定沉積物總有機碳(TOC)、總氮(TN)、總磷(TP)、水分含量、灼燒失重(圖2、圖3)。


生物標志物:分析葉綠素-a(Chl-a)、脫鎂葉綠酸(pheophorbide-a)以指示藍藻殘留(圖3)。
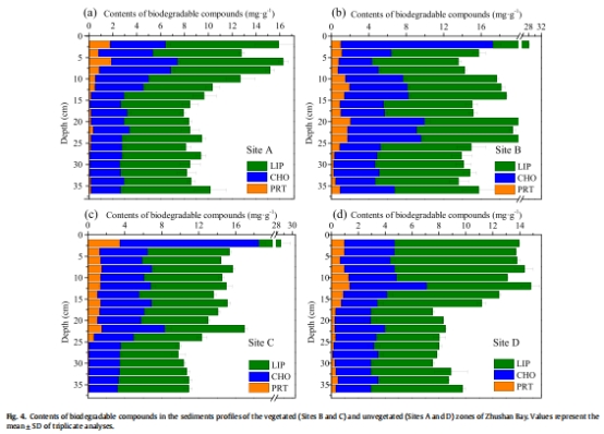
可降解化合物:量化蛋白質、碳水化合物、脂質含量(圖4)。

致臭物質:采用SPME-GC/MS檢測6種關鍵致臭物(DMDS、DMTS、2-MIB、geosmin、β-cyclocitral、β-ionone)在沉積物和上覆水中的分布(圖5、圖6)。


數據整合與建模:通過相關分析、多元回歸(表1、表2)建立可降解化合物與致臭物的定量關系,評估擴散風險。


測量數據及其研究意義(注明來源)
研究測量了多維度數據,其意義和來源如下:
微環境參數(DO、H?S、Eh、pH)垂直剖面:
意義:揭示碎屑墊的缺氧、還原性本質(植被區Eh<193 mV,H?S濃度高),為致臭物(如硫化物)的生成提供必要的厭氧條件。無植被區氧化性更強(Eh>350 mV),致臭風險低。
來源:數據見圖1,由Unisense微電極測量。
沉積物基本參數(TOC、TN、TP)垂直分布:
意義:植被區TOC、TN、TP含量顯著更高(TOC均值13.05 vs 10.06 g·kg?1),證實水生植物促進了藍藻碎屑的捕獲與積累。TOC/TN比值(植被區<10)指示有機質主要源于藍藻而非陸生植物。
來源:數據見圖2。
生物標志物(Chl-a、pheophorbide-a)及物理參數:
意義:植被區Chl-a和pheophorbide-a含量更高(均值6.39和15.98 μg·g?1),直接證明藍藻碎屑的大量沉積。水分和灼燒失重的高值進一步支持有機質富集。
來源:數據見圖3。
可生物降解化合物(蛋白質、碳水化合物、脂質)分布:
意義:植被區可降解化合物含量顯著更高(脂質主導),這些物質是微生物分解的底物,與致臭物生成直接相關。其垂直波動反映碎屑沉積的不連續性。
來源:數據見圖4。
沉積物致臭物質垂直分布:
意義:植被區致臭物濃度極高(如β-cyclocitral達2561 ng·g?1),且隨深度劇烈波動,表明碎屑墊是“熱點”源。無植被區濃度低且隨深度遞減,擴散風險小。
來源:數據見圖5及附表S2。
上覆水與沉積物致臭物對稱分布:
意義:上覆水與沉積物中致臭物濃度變化趨勢對稱(圖6),證明沉積物是上覆水致臭物的直接來源,存在持續擴散風險。
來源:數據見圖6。
研究結論
碎屑墊形成與特征:水生植被(如蘆葦)高效捕獲藍藻碎屑,形成厚達30 cm的有機質富集層(植被區TOC、TN、TP比無植被區高30-50%)。該層呈缺氧、還原、酸性環境(低DO、低Eh、低pH),富含可降解有機物(蛋白質、碳水化合物、脂質)。
致臭物產生熱點:植被區沉積物是致臭物的主要來源地,濃度是無植被區的3-52倍,其中β-環檸檬醛、β-紫羅蘭酮和DMTS是優勢組分。其生成與可降解化合物含量顯著相關(p<0.01),多元回歸表明這些化合物可有效預測致臭潛力(表2)。
擴散風險:沉積物與上覆水中致臭物濃度呈對稱分布,表明碎屑墊分解產物可擴散至水體,威脅水質安全。
管理啟示:控制內源污染需關注植被區底泥疏浚,以減少可降解有機物負荷,阻斷致臭物生成與釋放鏈條。
使用丹麥Unisense電極測量數據的研究意義詳細解讀
在本研究中,丹麥Unisense公司的微電極系統被用于原位、高分辨率地測量沉積物-水界面的溶解氧(DO)、硫化氫(H?S)、氧化還原電位(Eh)和pH的垂直微剖面(數據見圖1)。
詳細研究意義如下:
精確界定致臭物生成的化學環境:Unisense微電極以毫米級分辨率實時測定了沉積物剖面的DO、Eh、H?S和pH。數據清晰顯示,植被區沉積物表層(0-4 cm)的Eh急劇下降至<200 mV,同時H?S濃度升高(圖1b、c)。這直接證實了碎屑墊內強烈的還原環境,為硫酸鹽還原菌等厭氧微生物提供了理想條件,驅動了含硫致臭物(如DMDS、DMTS)的生成。而無植被區較高的Eh(>350 mV)抑制了這些過程。
建立環境梯度與生態功能的因果聯系:高分辨率剖面揭示了化學參數的陡峭梯度。例如,DO在植被區僅穿透至水下2.5 mm深處(圖1a),表明有機質快速耗氧,導致緊鄰界面下方即轉為厭氧狀態。這種精確的空間關聯將表層碎屑的輸入(高TOC)與底層厭氧代謝(致臭物產生)直接耦合,避免了傳統分層采樣可能模糊的因果關系。
支撐關鍵機制論證:Unisense數據為“厭氧環境驅動致臭”的核心論點提供了最直接的證據。Eh和H?S的同步變化(圖1b、c)與硫醚類致臭物的峰值出現(圖5a、b)在空間上高度一致,強有力地證明了還原性硫循環的關鍵作用。pH剖面(植被區低至6.84)進一步提示酸性環境可能影響微生物群落結構及代謝途徑。
技術優勢賦能科學發現:Unisense微電極的原位、無損、高精度測量避免了采樣擾動,捕獲了傳統方法無法分辨的微尺度變化。其快速響應(5秒) 能力使研究人員能夠獲得真實、動態的環境快照。這些高質量數據是后續統計建模(如致臭物與Eh的相關性)和風險評估的可靠基礎。
綜上所述,Unisense微電極獲得的數據不僅是環境參數記錄,更是解析底棲生物地球化學過程機制的鑰匙。它通過提供無可辯駁的原位證據,將藍藻碎屑的物理積累、化學環境改變和致臭物生物生成這三個關鍵環節緊密聯系起來,最終支撐了本研究關于“植被區底棲碎屑墊是湖泊致臭風險熱點”的核心結論。