熱線:021-66110810,66110819
手機:13564362870

熱線:021-66110810,66110819
手機:13564362870
Feeding ethology and surface sediment reworking by the ampharetid polychaete Melinna palmata Grube, 1870: Effects on sediment characteristics and aerobic bacterial community composition
沉積物特性和好氧菌群落組成影響
來源:Journal of Experimental Marine Biology and Ecology 512 (2019) 63–77
論文摘要
本研究旨在描述雙桁蟲科(ampharetid)多毛類動物Melinna palmata的攝食行為學,并評估其對表層沉積物的再加工(reworking) 以及由此引發的對沉積物特性和表層好氧細菌群落組成的影響。該物種在法國阿卡雄灣(Arcachon Bay)形成了極高密度的種群。研究發現,其攝食行為(如管口定位、攝食時伸出體外的姿態、糞便產生的位置和機制)表現出一定的可塑性。 worms平均將84.6%的時間用于在沉積物表面覓食,并僅在沉積物-水界面(SWI)產生糞便,這導致了表層沉積物的再加工,并使其分化為三個 distinct 區域:未擾動沉積物(Undisturbed sediment)、覓食區(Prospected area)和糞便堆區(Faecal mound area)。平均每個個體覓食的表面積為28 cm2,表層沉積物再加工速率為6.8 mm3 h?1。覓食區的沉積物更粗、有機質含量更低;糞便堆區的特性介于兩者之間;而未擾動沉積物的有機質含量最高。糞便堆區的氧氣滲透深度更大。與這三個區域相關聯的表層好氧細菌群落組成也顯著不同,這表明沉積物再加工本身( irrespective of redox changes)就對細菌群落有影響。這些結果暗示阿卡雄灣的高密度M. palmata種群可能存在食物限制,其高密度可能源于潮汐流帶來的水沙通量和海草床對顆粒物沉降的增強作用。
研究目的
本研究的主要目的是:
描述Melinna palmata攝食器官的解剖結構。
建立其不同行為類型的分類體系并評估其時間分配模式。
量化其表層沉積物再加工的速率和范圍。
評估其沉積物再加工活動對表層沉積物主要特性、氧氣滲透深度和好氧細菌群落組成的影響。
研究思路
本研究采用了 “離體控制實驗”與“多技術聯用” 的研究思路,分三個系列實驗進行:

第一系列實驗(Fig. 1A):核心實驗。通過視頻記錄分析(0.1 Hz頻率,持續24小時) 研究攝食行為學、行為類型和時間分配。在實驗結束后,對區分出的三個區域(未擾動區、覓食區、糞便堆區)的表層沉積物進行采樣,分析其理化特性(粒度、有機碳/氮、葉綠素a/脫鎂葉綠素a) 和好氧細菌群落組成(通過ARISA指紋圖譜技術)。
第二系列實驗(Fig. 1B):使用丹麥Unisense微電極系統測量三個區域沉積物剖面的溶解氧(DO)濃度,以評估再加工對氧氣滲透深度的影響。
第三系列實驗(Fig. 1C):使用激光遙測技術對沉積物表面進行連續微地形測繪,以更精確地量化表面沉積物再加工的速率和體積。
測量數據及其研究意義(注明來源)
本研究測量了多方面的數據,其意義和來源如下:
攝食行為與時間分配:
意義:直接揭示了M. palmata的核心活動模式。其將絕大多數時間(84.6%)用于表面覓食(Prospection),證明了它是一種專性的表面沉積食性動物,這決定了其生態功能的核心。


來源:行為時間分配比例見圖5;攝食行為示意圖見圖4。
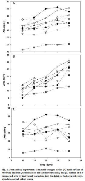
表層沉積物再加工的面積與速率:
意義:量化了該物種的生物擾動強度。其創造的覓食區面積遠大于其身體尺寸,表明其具有顯著改造表層沉積物環境的能力。


來源:再加工面積隨時間的變化見圖6;通過激光遙測獲得的微地形圖展示了糞便堆和覓食區的形態和深度差異,見圖7。
沉積物特性(粒度、有機質、色素):
意義:揭示了生物擾動如何改變沉積物的物理和化學性質。覓食區顆粒更粗、有機質含量更低,表明M. palmata在覓食過程中優先攝食細顆粒和有機質,起到了“生物分選”的作用。這種改變直接影響沉積物的棲息環境和生化反應速率。


來源:三個區域沉積物特性的多變量分析(nMDS)見圖8;各特性的具體數值見表1。
氧氣滲透深度:
意義:反映了生物擾動對沉積物氧化還原條件的物理影響。糞便堆區氧氣滲透更深,可能是因為其多孔結構促進了氧氣擴散。這為好氧細菌創造了更深厚的生活空間。
來源:氧氣滲透深度數據見表1。(注:原文中該數據在表1中,但未提供單獨的圖。其測量方法在第二系列實驗中描述,使用了Unisense微電極)。
好氧細菌群落組成與多樣性:
意義:這是本研究最關鍵的發現之一。三個區域的細菌群落組成顯著不同(圖9),且糞便堆區和覓食區的細菌多樣性(1-D)和均勻度(E?/??) 高于未擾動區。這表明,單純的物理性沉積物再加工(搬運、堆積)本身,即使不通過改變氧化還原狀態,也足以顯著塑造微生物群落結構。這可能源于機械擾動、有機質再分布以及創建新的微棲息地。

來源:細菌群落組成的多變量分析(nMDS)見圖9;多樣性指數見正文結果部分。
研究結論
獨特的生態功能群:Melinna palmata的沉積物再加工模式非常獨特。它幾乎只在沉積物表層進行水平和垂直方向的顆粒搬運(從覓食區攝取,在糞便堆區排放),而不進行深層的生物灌溉或搬運。研究者據此提出了一個新的功能群分類:“表層傳送帶(Surface conveyors)” ,以區別于傳統的“畫廊擴散器(Gallery diffusors)”等類別。
創造化學和生物異質性:M. palmata的活動將均一的沉積物表層分割成三個在化學和生物學特性上截然不同的微環境(未擾動區、覓食區、糞便堆區),極大地增加了沉積物-水界面的微尺度異質性。
對微生物群落的直接影響:研究證明了物理性生物擾動過程本身(例如,顆粒的搬運和糞便的堆積)是驅動沉積物細菌群落結構和多樣性變化的一個獨立且強大的因素,而不僅僅是通過改變氧化還原電位間接起作用。
種群高密度的生態啟示:在阿卡雄灣,M. palmata的極高種群密度(高達6745 ind. m?2)可能導致個體間覓食區域重疊,造成食物限制。其種群能維持如此高密度, likely依賴于潮汐流不斷帶來新的食物顆粒(懸浮顆粒物SPM)以及海草床對顆粒物的捕獲效應。
使用丹麥Unisense電極測量數據的研究意義詳細解讀
在本文的第二系列實驗中,丹麥Unisense公司的微電極系統被用于測量沉積物中溶解氧(DO)的垂直微剖面(數據總結在表1中)。
詳細研究意義如下:
提供高分辨率的原位氧化還原狀態證據:Unisense微電極能夠以100微米的高分辨率原位測量沉積物不同深度的溶解氧濃度。獲得的數據顯示,在M. palmata創造的糞便堆區,氧氣的滲透深度最深(平均7.2 mm),顯著高于未擾動區(4.9 mm)和覓食區(4.0 mm)。這為闡釋生物擾動如何改變沉積物微環境提供了最直接、最精確的物理化學證據。
揭示生物擾動的“非灌溉”式影響機制:大多數管棲生物(如蚯蚓、某些多毛類)通過其洞穴系統進行生物灌溉(bioirrigation),將富氧水引入深層沉積物,從而改變氧化還原狀態。然而,本研究結合行為觀察指出,M. palmata幾乎不進行生物灌溉。Unisense電極數據在此起到了關鍵作用:它證明即使沒有明顯的灌溉行為,單純的物理性再加工(建造多孔的糞便堆) 同樣能顯著增強沉積物的通氣性,加深氧的滲透。這突破了對生物擾動機制的傳統認知。
將物理結構改變與生物學后果直接關聯:氧氣滲透深度的差異為解釋后續觀察到的好氧細菌群落差異提供了至關重要的環境背景。糞便堆區更深的氧化層為其好氧細菌提供了更廣闊的生存空間和更豐富的電子受體(氧氣),這直接支持了該區域細菌群落多樣性更高的發現(圖9)。Unisense數據 thereby 在 “生物行為(造糞)”→“物理結構改變(多孔糞便堆)”→“化學環境變化(氧滲透加深)”→“生物學響應(細菌群落變化)” 這條完整的因果鏈條中,提供了承上啟下的關鍵一環。
支撐核心結論:Unisense微電極獲得的數據強有力地支撐了論文的核心結論之一——物理性再加工本身是塑造沉積物環境和小型生物群落的關鍵力量。它證實了M. palmata作為一種“表層傳送帶”,其影響機制與經典的“生物灌溉者”不同,深化了我們對生物擾動多樣性及其生態效應的理解。
綜上所述,使用Unisense微電極獲得的溶解氧微剖面數據,為本研究論證M. palmata獨特的、以物理再加工為核心的生物擾動機制及其對沉積物化學和微生物學環境的非灌溉式影響提供了不可或缺的高精度、原位證據。