熱線:021-66110810,66110819
手機:13564362870

熱線:021-66110810,66110819
手機:13564362870
Nitrogen removal as nitrous oxide for energy recovery: Increased process stability and high nitrous yields at short hydraulic residence times
以氧化亞氮形式去除氮素以實現能量回收:在短水力停留時間下提高工藝穩定性和氧化亞氮產率
來源:Water Research, Volume 173, 2020, Article 115575
《水研究》,第173卷,2020年,文章編號115575
摘要
本研究對耦合好氧-缺氧氧化亞氮分解操作(CANDO)工藝進行了中試和后續的實驗室規模研究,該工藝是一種兩階段脫氮與資源回收過程:第一階段在好氧生物反應器中將氨氧化為亞硝酸鹽;第二階段,聚羥基烷酸鹽(PHA)的氧化驅動亞硝酸鹽還原為氧化亞氮(N2O),后者可被吹脫回收用作沼氣氧化劑。研究結果表明,通過優化操作參數(特別是縮短厭氧和缺氧階段的持續時間),可以顯著提高N2O的產率(從71%提高到87%)、增加氮負荷率(從0.1提高到0.25 kg N/m3·d)并縮短水力停留時間(從10天縮短到2天)。高效的PHA合成與利用與缺氧階段高的N2O產量相關。縮短缺氧階段可防止N2O被進一步還原為N2。長期運行下,盡管微生物群落結構存在顯著差異,但不同生物反應器系統的操作性能變化總體相似。在短厭氧階段下的長期運行選擇出了一個以Defluviicoccus相關菌株為主的糖原積累菌群落。
研究目的
本研究旨在通過中試和實驗室規模研究,優化CANDO工藝(一種將廢水中的氮以N2O形式去除并回收能量的新工藝)的操作性能,探究其長期運行穩定性、N2O產率的影響因素(如COD/N比、總循環時間、PHA合成與N2O生產相對時長),并闡明其背后的微生物學機制,最終實現更高的氮負荷率、更短的HRT和更穩定的N2O生產。
研究思路
1. 中試規模研究:首先構建并運行一個6 m3的序批式反應器(SBR),處理經亞硝化處理后的厭氧消化離心液,以乙酸為碳源,考察不同COD/N比、循環時間對N2O生產和脫氮性能的影響,并應對上游工藝波動帶來的挑戰。
2. 實驗室規模驗證與優化:基于中試結果,建立兩個5-L的實驗室SBR(SBR-1和SBR-2),在更可控的條件下深入研究厭氧相和缺氧相時長對PHA代謝、N2O產率、微生物群落及工藝穩定性的影響。SBR-1采用較長的厭氧相(12h),SBR-2采用較短的厭氧相(8h后優化至4h)。
3. 多參數監測與分析:全程監測氮化物(NH4+, NO2-, NO3-)、化學需氧量(COD)、混合液懸浮固體(MLSS/MLVSS)、胞內存儲物PHA和糖原的濃度變化。使用Unisense微傳感器實時在線監測溶解態N2O濃度。通過高通量測序(16S rRNA基因)分析微生物群落結構演變,并通過qPCR分析功能基因(如nirS)的表達。
4. 機理關聯:將運行性能(N2O產率、脫氮效率)與微生物群落結構、碳源(PHA)代謝動力學進行關聯分析,闡明優化操作條件(短HRT、短厭氧/缺氧時間)提升工藝性能的微生物學機理。
測量的數據及研究意義
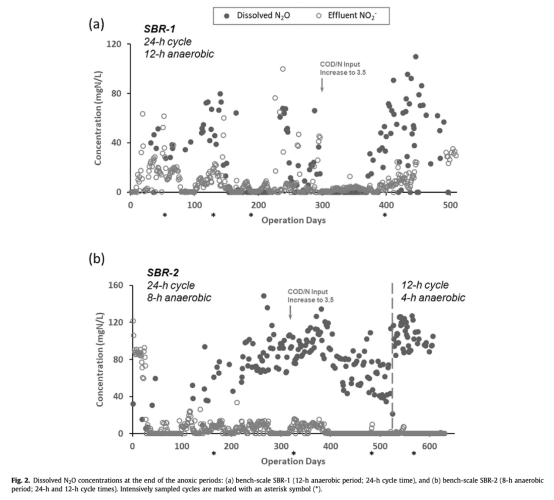
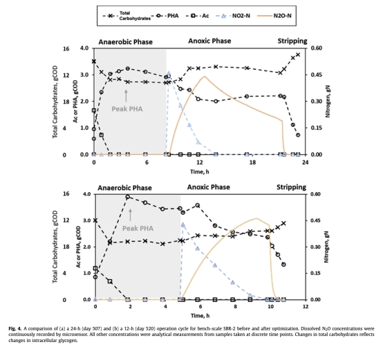
1. 溶解態N2O濃度(來自圖2, 圖3b, 圖4):使用Unisense微傳感器實時監測。該數據是直接評估N2O產率、優化吹脫回收時機以及判斷工藝是否發生N2O進一步還原的關鍵指標。



2. PHA與糖原濃度(來自圖3a,b, 圖4):監測整個循環過程中胞內存儲物PHA(PHB, PHBV)和糖原的動態變化。該數據揭示了碳源(乙酸)的儲存與利用效率,證明了短厭氧相有利于防止PHA發酵、提高其后續用于反硝化生成N2O的利用率,是理解電子流向和優化相態時長的核心依據。
3. 氮化物與COD濃度(來自圖3, 圖4, 表1):監測NH4+, NO2-, NO3-和COD的濃度變化。該數據用于計算脫氮效率、碳氮去除負荷以及比反硝化速率,是評估工藝整體性能的基礎。

4. 微生物群落結構(來自圖6, 圖7):通過16S rRNA基因高通量測序分析群落組成和演變。該數據揭示了不同運行條件下(特別是厭氧相時長)優勢菌群的更替(如從Thauera為主導變為Defluviicoccus相關菌為主導),將工藝性能的穩定性與特定的微生物種群(如具有特定碳儲存與反硝化特性的GAOs)聯系起來,為理解工藝穩定性提供了生物學解釋。


5. nirS基因表達量(來自圖3c):通過qPCR測量nirS(亞硝酸鹽還原酶基因)的轉錄本豐度。該數據反映了微生物將NO2-還原為NO(進而產生N2O)的即時代謝活性,直接關聯了投加亞硝酸鹽后微生物的響應速度與N2O的產生過程。
結論
1. CANDO工藝可以通過優化操作參數,特別是縮短厭氧相和缺氧相的持續時間,從而實現極高的N2O產率(最高87%)、高的氮容積負荷率(0.25 kg N/m3·d)和短的水力停留時間(2天)。
2. 厭氧相的時長對PHA的合成與利用效率至關重要。縮短厭氧相(至4-8小時)可以防止PHA的發酵損失,使其更有效地在后續缺氧相中被用于將NO2-還原為N2O。
3. 缺氧相的時長需要優化以避免N2O被進一步還原為N2。縮短總循環時間(至12小時)有助于維持高的N2O產率。
4. 微生物群落結構會隨運行條件(如厭氧相時長)發生顯著變化。長期在短厭氧條件下運行,富集了以Defluviicoccus cluster IV相關的糖原積累菌(GAOs)為優勢的群落,該菌群表現出高效的碳儲存和將亞硝酸鹽還原為N2O的能力,是工藝穩定運行的關鍵。
5. PHA合成效率(PHA/Ac比值)與N2O產率之間存在強烈的正相關關系(R2=0.92),這表明優化碳源向PHA的轉化是最大化N2O回收的關鍵策略。
使用丹麥Unisense電極測量數據的研究意義
本研究中使用丹麥Unisense公司生產的溶解態N2O微傳感器(dissolved N2O microsensors)對反應器內的N2O濃度進行了實時、在線、連續監測,這一技術的應用具有至關重要的研究意義:
1. 高時間分辨率與過程解析:傳統離線采樣方法無法捕捉N2O在反應過程中(尤其是缺氧階段初期)快速產生和變化的動態過程。Unisense微傳感器提供了連續的數據流(例如圖2,4),使得研究者能夠精確確定N2O積累的峰值、出現的時間以及后續是否被消耗,為優化N2O吹脫回收的時機提供了精確的時間窗口。
2. 準確量化N2O產率與排放:實時監測的溶解態N2O濃度是計算N2O轉化效率(N2O conversion efficiency)和產率(N2O yield)最直接、準確的數據基礎(參見文中公式2,3)。這避免了離線采樣可能帶來的氣體逸散或濃度變化,使得對不同運行策略(如不同相態時長、COD/N比)下N2O回收性能的評價和比較更加可靠。
3. 揭示工藝機理與瓶頸:通過觀察N2O的動態曲線(如迅速上升后出現平臺期或下降),可以推斷工藝狀態。例如,在缺氧相后期觀察到的N2O濃度下降(圖4a),表明發生了N2O還原為N2的反應,這直接促使研究者縮短缺氧相時長以避免此不必要的損耗,從而成功提高了N2O凈產率(圖4b)。因此,該數據是診斷工藝瓶頸、指導工藝優化調整的關鍵工具。
4. 關聯微生物活性:溶解態N2O的實時變化可以與其它實時參數(如NO2-濃度下降、PHA消耗)以及微生物活性指標(如nir基因表達量,圖3c)進行同步關聯分析,從而在時間尺度上直接 linking 微生物代謝活動與氣體產物生成,深化了對CANDO工藝微生物學機理的理解。
綜上所述,Unisense N2O微傳感器提供的高精度實時數據,不僅是評估工藝性能的核心指標,更是理解和優化CANDO工藝、最終實現高效N2O回收不可或缺的關鍵技術手段。