熱線:021-66110810,66110819
手機:13564362870

熱線:021-66110810,66110819
手機:13564362870
Nitric oxide and nitrous oxide production in anaerobic/anoxic nitrite-denitrifying phosphorus removal process: effect of phosphorus concentration
厭氧/缺氧亞硝酸鹽反硝化除磷過程中一氧化氮和氧化亞氮的產生:磷濃度的影響
來源:Environmental Science and Pollution Research, Volume 27, 2020, Pages 45925–45937
《環境科學與污染研究》,第27卷,2020年,頁碼45925–45937
摘要
本研究探討了在亞硝酸鹽反硝化除磷(N-DPR)過程中,磷濃度對污染物去除以及一氧化氮(NO)和氧化亞氮(N2O)產生的影響。N-DPR是NO和N2O產生的重要來源,其對環境有強烈的負面影響。結果表明,磷去除效率隨著磷濃度的增加而提高,這是由于在高磷濃度下反硝化聚磷菌(DPAOs)的富集所致。在磷濃度為0.5 mg L?1時觀察到高的NO產量,這主要歸因于還原酶活性恢復緩慢和DPAOs豐度較低。最大的N2O積累量(31.45 mg L?1)也在磷濃度為0.5 mg L?1時達到。可能的原因是低磷濃度下糖原積累菌(GAOs)合成的聚羥基烷酸鹽(PHAs)較少,這會加劇不同還原酶之間的電子競爭。此外,游離亞硝酸(FNA)的抑制是N2O高產量的另一個重要原因。
研究目的
本研究旨在探究磷濃度對亞硝酸鹽反硝化除磷(N-DPR)過程中污染物去除效率以及有害氣體一氧化氮(NO)和氧化亞氮(N2O)產生和積累的影響機制,以期為優化DPR工藝、同時實現高效營養物去除和減少溫室氣體排放提供理論依據。
研究思路
1. 反應器設置與運行:構建實驗室規模的厭氧/缺氧(An/A)序批式反應器(SBR),在30±1°C下運行,通過控制進水中的KH?PO?添加量來設置三個不同的初始PO?3?-P濃度梯度(15, 3.75, 和 0.5 mg L?1),每個階段運行數十天。
2. 過程監測:在每個運行周期內,定期監測化學需氧量(COD)、亞硝酸鹽氮(NO??-N)、磷酸鹽(PO?3?-P)的濃度變化,以及厭氧階段細胞內儲存物PHAs的合成量。
3. 氣體監測:使用丹麥Unisense公司的NO和N?O微傳感器,實時在線監測反應器內溶解態的NO和N?O濃度變化,并計算其累積量和排放因子。
4. 微生物群落分析:在每個運行階段結束時,采集活性污泥樣品,通過高通量測序技術(Illumina HiSeq)分析微生物群落結構,特別是反硝化聚磷菌(DPAOs)和糖原積累菌(GAOs)的豐度變化。
5. 機理關聯:將污染物轉化性能、氣體產生數據與微生物群落結構進行關聯分析,從電子競爭、還原酶活性抑制(FNA抑制)和微生物代謝特性等角度闡釋磷濃度的影響機制。
測量的數據及研究意義
1. 污染物濃度變化(來自圖2和表1):監測了COD、NO??-N和PO?3?-P的濃度沿時間的變化。該數據直接反映了不同磷濃度下系統的脫氮除磷性能,表明高磷濃度有利于磷的去除,而對COD和NO??-N的去除效率影響不大,但影響了反硝化速率。


2. NO和N?O積累曲線(來自圖3):使用Unisense微傳感器實時監測了整個反應周期,特別是缺氧階段溶解態NO和N?O的濃度動態變化。該數據直觀展示了氣體中間產物的產生和消耗 pattern,是證明低磷濃度導致更高、更持久的氣體積累的關鍵證據。

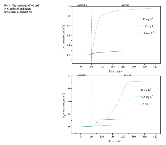
3. NO和N?O排放總量與排放因子(來自圖4和表2):計算了不同磷濃度下NO和N?O的累積產生量及其占去除氮量的比例。該數據量化了磷濃度對溫室氣體和有害氣體排放的顯著影響,表明低磷濃度(0.5 mg L?1)下的排放因子是髙磷濃度(15 mg L?1)下的數十倍。


4. 微生物群落結構(來自圖5):通過高通量測序獲得了不同磷濃度下污泥樣品在門和屬水平的微生物群落組成。該數據從微生物生態學角度揭示了現象背后的本質原因,即低磷濃度下DPAOs(如Thauera)豐度降低而GAOs(如Competibacter, Defluviicoccus)豐度上升,直接關聯了微生物種群變化與系統性能(除磷效率低、氣體產量高)的變化。

結論
1. 磷濃度對COD和NO??-N的最終去除效率影響不顯著,但對特定反硝化速率和磷去除效率有顯著影響。高磷濃度(15 mg L?1)有利于反硝化聚磷菌(DPAOs)的富集,從而獲得更高的磷去除效率和更快的反硝化速率。
2. 低磷濃度(0.5 mg L?1)會導致顯著的一氧化氮(NO)和氧化亞氮(N2O)積累與排放。其排放因子遠高于高磷濃度條件。
3. NO的高積累主要歸因于低磷條件下還原酶(尤其是 nitric oxide reductase, Nor)活性恢復緩慢,以及游離亞硝酸(FNA)的抑制。
4. N2O的高積累主要歸因于兩個因素:一是低磷條件下糖原積累菌(GAOs)富集,其代謝產生的電子供體(PHAs)較少且電子競爭更激烈,導致還原酶Nos(nitrous oxide reductase)的電子供應不足;二是FNA對Nos活性的直接抑制。
5. 微生物群落分析證實,低磷濃度不利于DPAOs的生長,導致GAOs成為優勢菌群,這是系統除磷性能下降和溫室氣體排放增加的根本原因。
使用丹麥Unisense電極測量數據的研究意義
本研究中使用丹麥Unisense公司生產的NO和N?O微傳感器(Microsensors)對反應器內的溶解態氣體濃度進行了實時在線監測,這一技術手段具有重要的研究意義:
1. 高時間分辨率與實時性:傳統離線采樣方式無法捕捉氣體中間產物(如NO、N?O)瞬時產生和消耗的動態過程。Unisense微傳感器能夠連續、在線地記錄濃度變化(響應時間約10秒),從而精確描繪出整個反應周期,特別是缺氧階段初期NO和N?O的快速積累峰值以及后續的還原過程(如圖3所示)。這為了解反硝化過程的完整途徑及其瓶頸步驟提供了前所未有的時間分辨率。
2. 準確量化氣體排放:通過實時監測溶解態濃度,并結合理論計算,可以準確量化整個反應過程中NO和N?O的總產生量、峰值濃度以及排放因子(占去除氮的比例)。這些定量數據(表2)是評估工藝環境績效(溫室氣體排放)和比較不同運行條件(如磷濃度)影響的關鍵指標。
3. 揭示機理關聯:高精度的實時數據使得研究者能夠將氣體積累的動態曲線與其他參數(如FNA濃度、底物消耗速率)的變化相關聯。例如,觀察到N?O在FNA濃度高時積累,在其濃度下降后迅速被還原,這為“FNA抑制是N?O積累的重要原因”這一機理提供了最直接、有力的證據。
4. 評估工藝穩定性與風險:實時監測可以作為工藝控制的一種潛在預警工具。持續高濃度的NO積累(具有生物毒性)或N?O積累表明系統運行在不理想的狀態,存在處理效率下降和溫室氣體排放增加的風險。本研究證實低磷濃度是導致這種高風險狀態的一個重要因素。
綜上所述,Unisense微傳感器的應用是本研究的核心技術之一,其提供的高質量實時數據是深入理解N-DPR過程中氣體產生機理、準確評估環境影響以及最終提出優化策略不可或缺的基礎。