熱線:021-66110810,66110819
手機:13564362870

熱線:021-66110810,66110819
手機:13564362870
Benthic Respiration and Nutrient Release Associated with Net Cage Fish and Longline Oyster Aquaculture in the Geoje-Tongyeong Coastal Waters in Korea
韓國巨濟統營沿海水域網箱魚和延繩牡蠣養殖的底棲呼吸和營養物質釋放
來源:Estuaries and Coasts (2020) 43:589–601
摘要核心發現
論文揭示韓國統營海域魚類網箱養殖(FF)和牡蠣延繩養殖(OF)顯著增加沉積物耗氧量(SOD)和底棲營養鹽通量(BNF),導致沉積物有機質(OM)富集并引發局部富營養化。關鍵結論包括:
1. FF的SOD(-155.2 mmol·m?2·d?1)和BNF(NH??: 12.7 mmol·m?2·d?1;PO?3?: 3.3 mmol·m?2·d?1) 分別是對照點(FF-C)的3.6倍和10倍(表2, 表3)。


2. 附著生物群落的凈產氧 高達80.3 mmol O?·m?2·d?1(圖5a),貢獻底棲呼吸的67%(圖5b)。

3.養殖活動釋放的N、P分別滿足初級生產需求的128%和501%(FF),加劇水體富營養化(表3)。
研究目的
1.量化水產養殖(魚類/牡蠣)對沉積物 耗氧量(SOD) 和 營養鹽通量(BNF) 的影響。
2.評估附著生物群落(如網衣附生藻類)對有機質輸入的貢獻。
3.比較不同管理方式(商業化FF/OF vs. 實驗性養殖TMSS)的環境影響差異。
研究思路
1.站點設置:
對比5個站點:商業化魚類養殖(FF)、牡蠣養殖(OF)、實驗性養殖(TMSS)及各自對照點(FF-C, OF-C)(圖1)。

2.原位測量:
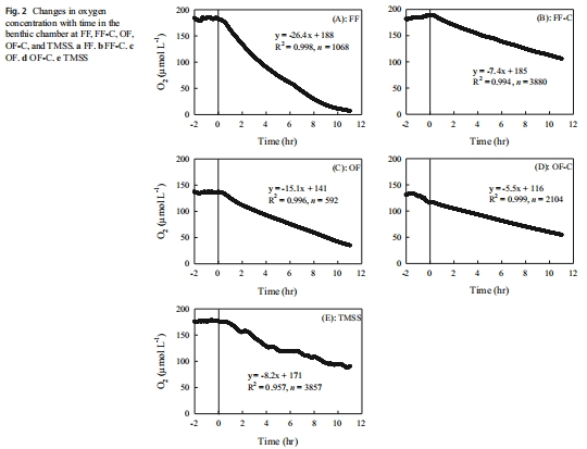
使用 底棲通量艙(Belc/I) 實測SOD和BNF(圖2, 圖4)。


通過 Unisense氧微電極 量化附著生物凈產氧率(圖5)。
3.輔助分析:
沉積物有機碳(TOC)、總氮(TN)、沉降速率(表1)。

水柱參數(溫度、鹽度、溶解氧)。
關鍵數據、來源及意義
1.SOD與BNF梯度(圖2, 圖4, 表2, 表3):
數據:FF的SOD(-155.2 mmol·m?2·d?1)比對照高3.6倍;BNF(NH??+NO??: 13.36 mmol·m?2·d?1)高4.5倍。
來源:圖2(氧濃度時序曲線斜率)和表2(計算值)。
意義:直接證明商業化養殖導致沉積物強烈缺氧和營養鹽釋放。
2.附著生物代謝活性(圖5):
數據:光照下網衣界面O?濃度達288.4 mmol·L?1(圖5a),凈產氧率峰值80.3 mmol·m?2·d?1(圖5b)。
來源:圖5a(O?微剖面)和圖5b(P-I曲線)。
意義:揭示附著生物是重要OM來源,貢獻底棲呼吸的67%。
3.營養鹽收支(表3):
數據:FF的BNF滿足初級生產N需求的128%和P需求的501%。
來源:表3(營養鹽通量與初級生產需求對比)。
意義:證實養殖活動通過底棲-水柱耦合誘發富營養化。
4.OM擴散范圍(圖3):

數據:TMSS養殖點SOD在400 m外恢復至背景值(67.3 mmol·m?2·d?1)。
來源:圖3(距離-SOD關系曲線)。
意義:界定養殖OM影響半徑(≤400 m),為管理提供空間依據。
核心結論
1.商業化養殖的負面效應:
FF和OF顯著提升SOD和BNF,打破營養鹽平衡,誘發局部富營養化。
2.附著生物的關鍵角色:
網衣附生群落貢獻65 mmol C·m?2·d?1有機質,占底棲呼吸的67%。
3.可持續管理范例:
實驗性養殖TMSS(低密度+科學管理)的SOD與對照無差異,證明環保養殖可行性。
Unisense電極數據的獨特價值
技術優勢
高時空分辨率:
25 μm尖端氧微電極(響應時間<0.3 s)實現 100 μm步進的O?微剖面測量(圖5a),精準捕捉擴散邊界層(DBL)動態。
原位真實性:
直接在水流模擬艙中測量(流速20 cm·s?1),避免采樣擾動,真實反映附著群落代謝(方法章節)。
關鍵科學發現
1.附著群落的雙重代謝功能:
電極數據量化 光照下產氧峰值(80.3 mmol·m?2·d?1) 與 黑暗呼吸(-31.9 mmol·m?2·d?1)(圖5b),揭示其作為OM"源"(光合固碳)和"匯"(呼吸耗氧)的雙重角色。
2.代謝動力學參數:
擬合P-I曲線得出 最大凈產氧率(P???=100.6 mmol·m?2·d?1) 和 半飽和光強(E?=200.8 μmol·m?2·s?1)(圖5b),為生態模型提供關鍵參數。
3.對底棲呼吸的定量貢獻:
電極實測呼吸率(-31.9 mmol·m?2·d?1)相當于TMSS底棲呼吸的67%,修正傳統忽略附著生物OM輸入的認知。
管理啟示
證明 人工設施表面積擴大生物附著(網衣表面積達水體的4.5倍),需納入養殖環境評估。
為優化防污策略(如網衣清潔頻率)提供代謝基準數據,減少OM輸入。
總結
本研究通過原位通量艙與Unisense微電極技術,揭示水產養殖通過沉積物耗氧、營養鹽釋放及附著生物代謝三重途徑影響海岸帶生態。Unisense電極的核心突破在于 量化微界面代謝過程,證明附著生物貢獻67%底棲呼吸,為可持續養殖管理提供精準調控靶點。未來養殖設計需兼顧設施表面積與附著群落生態功能,以平衡生產與生態韌性。