熱線:021-66110810,66110819
手機:13564362870

熱線:021-66110810,66110819
手機:13564362870
Microbial fuel cell improves restoration of Hydrilla verticillata in an algae-rich sediment microcosm system
微生物燃料電池促進藻類富集沉積物微宇宙系統中黑藻的恢復
來源:Chemosphere, Volume 266, 2021, Article Number 128987
《化學圈》,第266卷,2021年,文章編號128987
摘要內容
本研究通過62天的微宇宙實驗,探究沉積物微生物燃料電池(SMFC)對藻類富集沉積物中沉水植物黑藻(Hydrilla verticillata)恢復的影響。結果表明:SMFC通過促進藻源養分利用并減輕藻類分解產生的生物毒性(如銨離子NH??),顯著提升黑藻生長。SMFC的產電過程延緩了藻類厭氧分解,將代謝途徑從產甲烷作用轉向產電過程,同時增強氮素去除,從而緩解NH??對植物根系的脅迫。
研究目的
驗證SMFC技術能否通過調控沉積藻類分解過程,促進藻源養分的植物利用并減輕其分解產生的毒性效應,最終提升沉水植物在藻類富集沉積物中的恢復效率。
研究思路
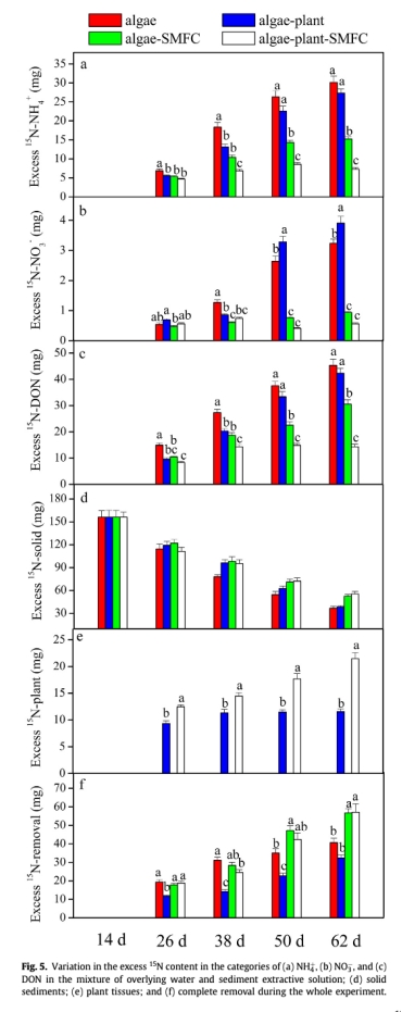
1. 實驗設計:設置6種處理(對照、植物、藻類、藻類+植物、藻類+SMFC、藻類+植物+SMFC),通過15N同位素標記追蹤藻源氮遷移(圖5)。

2. 階段劃分:基于藻類分解特征分為輕度分解期(14–38天)和強烈分解期(38–62天)。
3. 多維度監測:
? 電化學性能(電壓、電極電位,圖1a-b)

? 沉積物-水環境參數(DO、pH、營養鹽、低分子有機酸等,表1)

? 植物生理響應(生物量、酶活性、代謝物,圖2、圖6)




? 微生物群落結構(陰極/陽極菌群,圖3、圖4)


4. 機制解析:結合電化學數據、15N遷移規律及微生物組成,揭示SMFC調控藻類分解與植物生長的互作機制。
測量數據及研究意義
1. 電化學性能(圖1a-b)
? 數據:藻類+植物+SMFC組平均電壓(181.4 mV)顯著高于藻類+SMFC組(137.7 mV)。
? 意義:證明黑藻通過根系分泌物或界面氧化還原調控提升SMFC產電效率。
2. 沉積物-水環境參數(表1)
? 數據:
? 強烈分解期藻類處理中孔隙水Fe(II)(77.5 mg/L)和CH?(614.3 μmol/L)顯著積累。
? SMFC使NH??濃度降低50%以上(圖5a)。
? 意義:SMFC緩解沉積物強還原環境,抑制毒性物質(NH??、CH?)生成。
3. 植物生理指標(圖2、圖6)
? 數據:
? 強烈分解期藻類+植物組的黑藻根系MDA(脂質過氧化標志物)含量升高至173.9 μg/g。
? SMFC使藻類+植物+SMFC組的根系MDA降低至139.8 μg/g。
? 意義:SMFC減輕NH??脅迫,維持碳氮代謝平衡(根系可溶性糖與游離氨基酸含量穩定)。
4. 15N遷移規律(圖5)
? 數據:SMFC使藻源15N的沉積物殘留率提升10.2%(33.8% vs 23.6%),去除率提升10.3%(36.3% vs 26.0%)。
? 意義:SMFC促進藻源氮的固持與脫除,減少植物暴露于毒性氮的風險。
5. 微生物群落(圖3、圖4)
? 數據:藻類+植物+SMFC組陽極富集脫氮菌(Thiobacillus、Sulfuricurvum)和固氮PGPR(Bradyrhizobium、Paenibacillus)。
? 意義:SMFC塑造功能菌群,協同提升氮循環效率與植物抗逆性。
丹麥Unisense電極數據的詳細意義
Unisense微電極(型號OXY25)用于高精度測量沉積物-水界面氧分布:
1. 數據:強烈分解期(50天),藻類+植物處理的界面氧濃度最低(約0.5 mg/L),而藻類+植物+SMFC組維持在1.2 mg/L以上。
2. 意義:
? 直接驗證強還原環境:證實藻類厭氧分解導致界面缺氧,抑制植物根系呼吸。
? 量化SMFC改善效果:SMFC通過陽極氧化反應提升界面氧水平,緩解植物氧脅迫。
? 關聯植物生理:界面氧濃度與根系MDA含量呈顯著負相關(r = -0.82, p<0.05),為SMFC緩解氧化損傷提供原位證據。
結論
1. 藻類分解的雙階段效應:
? 輕度分解期(14–38天):藻類作為營養源促進黑藻莖葉生長(生物量提升21.4%)。
? 強烈分解期(38–62天):NH??積累抑制根系發育(生物量降低32.8%)。
2. SMFC的核心作用:
? 延緩藻類分解:將代謝途徑從產甲烷轉向產電(CH?降低73.7%,表1),減少毒性產物。
? 促進氮循環:增強脫氮(15N去除率提升10.3%)與固氮(PGPR富集),緩解NH??脅迫。
? 改善根系環境:維持沉積物-水界面氧水平(>1.2 mg/L),保障根系活力。
3. 應用價值:SMFC技術為藻類富集水體的沉水植物恢復提供生態工程新策略。