熱線:021-66110810,66110819
手機:13564362870

熱線:021-66110810,66110819
手機:13564362870
Sediment Phosphorus Release in Boreal Lakes: The Role of Trophic State and Humic Substances
北方湖泊沉積物磷釋放:營養狀態和腐殖質的作用
來源:Research Square
《研究廣場》,本文章尚未正式發表于期刊
摘要內容
摘要探討了高營養狀態湖泊中沉積物磷(P)釋放的空間變化,重點關注腐殖質的影響。研究發現:
1. 芬蘭四個湖泊的沉積物磷釋放速率(RR)主要受營養狀態和水體混合狀態影響;
2. 磷擴散通量與沉積物中鐵結合態磷(Fe-P)正相關,與有機磷(OP)負相關;
3. 全球數據分析證實腐殖質在內部磷循環中的重要性:貧營養湖中溶解性有機碳(DOC)與RR正相關,而較高營養狀態湖泊中呈負相關;
4. 在多重壓力(如氣候變化、富營養化)下,腐殖質變化對湖泊內部磷負荷的影響具有不確定性。
研究目的
1. 驗證鐵結合態磷(Fe-P)能否解釋高人類活動影響流域湖泊的磷釋放速率;
2. 探究有機物質(如腐殖質)對沉積物磷動態的影響。
研究思路
1. 芬蘭四湖研究:
? 采集四個芬蘭湖泊(Matj?rvi, Kutaj?rvi, Enonselk?, Kymij?rvi)的沉積物,分析孔隙水磷/鐵濃度、沉積物有機質(LOI)、磷形態組成,計算擴散通量(DF);
? 通過線性回歸分析擴散通量與磷形態的關系,并驗證Nürnberg (1988)預測模型(基于沉積物總磷TP????和LOI)。
2. 全球數據分析:
? 整合芬蘭及全球溫帶/北方湖泊數據,研究DOC對RR的影響,按營養狀態(貧營養、中營養、富營養)分組分析;
? 構建多變量模型(水體TP、TP????、LOI)預測RR。
測量數據及研究意義
1. 沉積物指標(表2):

? 鐵結合態磷(Fe-P)、鈣結合態磷(Ca-P)、無機磷(IP)、有機磷(OP)、總磷(TP????)、有機質含量(LOI)。
? 意義:揭示磷形態分布規律(如Fe-P和深度正相關,OP和深度負相關),驗證LOI對磷釋放的抑制作用。
2. 孔隙水與擴散通量:
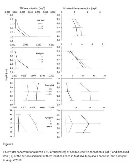
? 孔隙水可溶性活性磷(SRP)和溶解鐵(DFe)濃度(圖2),計算擴散通量(DF)。

? 意義:證明SRP與DFe顯著正相關(r=0.456),支持鐵還原驅動的磷釋放機制。
3. 氧化還原電位(圖1):

? 使用Unisense RD100微電極測量沉積物-水界面氧化還原電位。
? 意義:量化沉積物缺氧程度(如深水湖電位<200 mV),關聯缺氧條件與磷釋放。
4. 水質參數(表1):

? 水體總磷(TP)、溶解氧(DO)、溫度、pH、色度等。
? 意義:闡明水體混合狀態對磷分布的影響(如分層湖底部TP升高)。
結論
1. 沉積物磷擴散通量與Fe-P正相關,與OP負相關;LOI通過形成難降解有機復合物抑制磷釋放。
2. Nürnberg (1988)模型(RR????? = 4.78 + 2.75TP???? - 0.177LOI)在預測擴散通量中有效(R2=0.658)。
3. 腐殖質作用因營養狀態而異:
? 貧營養湖中DOC與RR正相關(可能因磷限制促進有機物降解);
? 中/富營養湖中DOC與RR負相關(腐殖質結合Fe-P形成穩定復合物)。
4. 氣候變化下,DOC變化對內部磷負荷的影響復雜(可能同時改變RR和缺氧因子)。
Unisense電極測量數據的研究意義
丹麥Unisense RD100微電極測量的氧化還原電位數據(圖1)具有以下關鍵意義:
1. 高分辨率缺氧狀態量化:以1 mm深度間隔測量沉積物表層(0–3 cm)電位,精確識別臨界釋放閾值(200 mV)。例如,Matj?rvi湖在1.3 cm深度電位降至200 mV以下,表明該深度以下易觸發磷釋放。
2. 揭示湖泊類型差異:淺水湖(Matj?rvi, Kutaj?rvi)沉積物-水界面電位較高(約370 mV),表明氧化環境抑制磷釋放;深水分層湖(Enonselk?, Kymij?rvi)界面電位顯著降低(最低167 mV),證實缺氧促進磷釋放。
3. 關聯孔隙水化學:電位數據與孔隙水SRP/DFe濃度(圖2)結合,驗證了經典理論——缺氧條件下Fe3?還原為Fe2?,伴隨結合態磷溶解釋放。
4. 支持管理決策:明確氧化還原過渡深度,為湖泊修復(如曝氣技術)提供關鍵靶點,優化措施實施位置。