熱線:021-66110810,66110819
手機:13564362870

熱線:021-66110810,66110819
手機:13564362870
標題:Elevated atmospheric CO2 reduces CH4 and N2O emissions under two contrasting rice cultivars from a subtropical paddy field in China
大氣中 CO2 升高可減少中國亞熱帶稻田中兩種對比水稻品種的 CH4 和 N2O 排放
來源:Pedosphere 32(5): 707–717, 2022
摘要核心內容
論文通過中國亞熱帶稻田的多年原位FACE(Free-Air CO? Enrichment)平臺實驗(2016-2018年),研究了高濃度CO?(eCO?,比環境CO?高200 μmol mol?1)對兩種響應性差異水稻品種(強響應型:Yangdao6, YIIyou900等;弱響應型:Wuyungeng23, Huaidao5等)稻田CH?和N?O排放的影響。結果表明:
eCO?顯著提高水稻產量(強響應品種增產19%-31%,弱響應品種增產7%-14%)。
eCO?顯著降低溫室氣體排放:
CH?累積排放量降低11%-59%;
N?O累積排放量降低33%-70%。
強響應品種減排效果更顯著:其CH?和N?O排放量均低于弱響應品種。
研究目的
探究eCO?與不同響應性水稻品種的交互作用對稻田溫室氣體(CH?和N?O)排放的影響機制,為選育“高產低排”水稻品種以應對氣候變化提供科學依據。
研究思路
1. 實驗設計:
利用FACE平臺設置eCO?(環境CO? + 200 μmol mol?1)與aCO?(環境CO?)對比組。
種植強響應型(如Yangdao6)和弱響應型(如Wuyungeng23)水稻品種。
2. 數據采集:
氣體排放:靜態箱-GC法監測CH?和N?O通量。
土壤參數:氧化還原電位(Eh)、溶解性有機碳(DOC)、NH??-N、NO??-N。
微生物活性:CH?生產潛力(MPP)和氧化潛力(MOP)。
土壤氧濃度:Unisense微電極系統原位測定。
水稻生長指標:產量、生物量、分蘗數。
3. 機制分析:
通過相關性統計(表SⅡ)和原位微環境測量,解析eCO?和品種影響溫室氣體排放的驅動因素。
測量數據及其研究意義
(1)氣體排放數據(圖2、圖3;表Ⅰ)

N?O排放峰值:主要發生在中期排水階段(圖3)。

意義:明確eCO?對排放通量的時間動態影響,為減排管理提供關鍵期依據。
(2)土壤參數(圖4)

Eh和O?濃度:eCO?顯著提高表層土壤(0–20 mm)Eh和[O?](強響應品種增幅更大)(圖4a,b;圖5)。
DOC和氮形態:eCO?輕微增加DOC,但顯著降低NH??-N含量(圖4c-f)。
意義:揭示土壤氧化還原狀態和底物有效性是調控CH?和N?O排放的核心因素。
(3)微生物活性(表Ⅱ)

MPP降低:eCO?使CH?生產潛力下降17%-86%(強響應品種降幅更大)。
MOP升高:eCO?使CH?氧化潛力上升2%-48%。
意義:證實eCO?通過抑制產甲烷菌活性并促進甲烷氧化菌活性減少CH?排放。
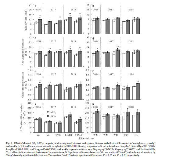
(4)水稻生長指標(圖1)
eCO?提高強響應品種的生物量(地上+20%,地下+18%)和分蘗數(圖1c,e,g)。
意義:高生物量促進根系O?輸送,改善土壤氧化環境(圖5),間接抑制CH?生成。
Unisense電極數據的詳細解讀
測量方法
使用丹麥Unisense微剖面系統(Clark型微電極),以2 mm步長原位測定淹水稻田土壤-水界面以下0–20 mm的O?濃度分布(圖5)。

研究發現
eCO?顯著提升[O?]:
強響應品種:+24% ~ +37%(圖5);
弱響應品種:+22% ~ +29%(圖5)。
品種差異:強響應品種在aCO?和eCO?下的[O?]分別比弱響應品種高19%和23%(圖5)。
研究意義
1. 機制驗證:
直接證實eCO?通過促進水稻根系通氣組織發育(高生物量→高孔隙度→高O?輸送),提高根際[O?](圖5),抑制厭氧產甲烷過程(MPP↓),同時促進好氧甲烷氧化(MOP↑)(表Ⅱ)。
2. 品種選育指導:
強響應品種在eCO?下表現出更強的根系O?輸送能力(圖5),為選育“高O?效率”品種以減少CH?排放提供生理依據。
3. 方法學優勢:
毫米級分辨率:可捕捉土壤剖面的O?梯度變化(圖5顯示[O?]在10 mm深處趨近于0)。
原位實時性:避免采樣擾動,真實反映稻田微環境動態。
結論
1. eCO?的協同效應:
增產減排:eCO?在提高水稻產量(尤其強響應品種)的同時,顯著降低CH?(-11%~-59%)和N?O(-33%~-70%)排放(表Ⅰ)。

2. 核心機制:
CH?減少:eCO?→根系生物量↑→土壤[O?]↑(圖5)→Eh↑(圖4)→ MPP↓ + MOP↑(表Ⅱ)。
N?O減少:eCO?→植物吸氮量↑→土壤NH??-N↓(圖4e,f)→可利用氮減少。
3. 品種的關鍵作用:
強響應品種兼具高產與低排優勢:其高生物量和O?輸送能力(圖1,5)進一步強化eCO?的減排效果,是應對氣候變化的理想育種方向。
4. 應用價值:
推薦在亞熱帶稻區推廣強響應品種(如YIIyou900, Yongyou1540),結合eCO?條件實現“糧食安全-氣候減緩”雙贏。