熱線:021-66110810,66110819
手機:13564362870

熱線:021-66110810,66110819
手機:13564362870
The variations of labile arsenic diffusion driven by algal bloom decomposition in eutrophic lake ecosystems
富營養化湖泊生態系統藻華分解驅動的不穩定砷擴散變化
來源:Science of the Total Environment 842 (2022) 156703
摘要核心內容
本研究通過原位高分辨率技術(DGT/HR-Peeper) 結合環形水槽模擬實驗,揭示藻華分解通過三重機制驅動沉積物中活性砷(As)的遷移轉化:
還原驅動釋放:藻類腐爛促進Fe/Mn氧化物還原,釋放吸附態砷(圖5)。

競爭吸附削弱:藻源硫酸鹽(SO?2?)還原為H?S,形成弱吸附性FeS,降低砷固定能力。
價態轉化增毒:As(V)被還原為高遷移性As(III),生物有效性提升1.8倍(圖3)。

藻源有機物(AOM)進一步通過競爭吸附擴大砷擴散范圍,導致沉積物-水界面(SWI)砷擴散模式從“低遷移型”向“增強擴散型”轉變(圖5)。
研究目的
揭示空間異質性:闡明富營養化湖泊不同區域(開闊區/蘆葦區)活性砷的垂向分布特征(圖1)。

解析藻華影響機制:量化藻生物量對砷遷移轉化的驅動作用(圖3)。
識別主控因子:明確硫化物(H?S)、有機質(DOM)等對砷擴散模式的控制權重(圖4)。

研究思路
采用多尺度驗證框架:
野外原位觀測:
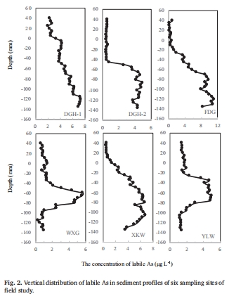
在太湖6個典型區域(圖1)部署DGT/HR-Peeper,獲取活性As、Fe、Mn、S、P及DOM剖面(圖2)。

使用Unisense微電極測量DO/H?S毫米級剖面。
環形水槽模擬:
添加藻生物量(100/1000 mg/L)模擬不同富營養水平,監測7-56天砷動態(圖3A)。
微觀控制實驗:
聚焦砷擴散模式轉變機制,驗證藻源硫化物與有機質的作用(圖3B)。
測量數據及其研究意義
1. 活性砷擴散模式分類(機制尺度)
數據來源:
模式I:SWI附近低濃度→中層峰值(-40mm)→深層衰減(DGH-2站點,圖2)。
模式II:SWI至-20mm快速上升→穩定高濃度平臺(XKW站點,圖2)。
模式III:全剖面波動上升(DGH-1站點,圖2)。
研究意義:
首次建立砷擴散模式與藻生物量的關聯,模式II/III指示高富營養化區域。
2. 藻華分解的驅動效應(過程尺度)
數據來源:
硫循環:藻源SO?2?還原使H?S濃度↑36%(FDG站點,圖S5),解釋砷分布變異的36.17%(PCA,圖4A)。
鐵硫互動:FeS形成導致砷吸附容量↓40%(表1)。

有機質競爭:藻源DOM(a254值↑20.26%)競爭吸附位點,擴大砷擴散范圍(圖S10)。
研究意義:
證實“藻華分解→硫酸鹽還原→FeS形成→砷解吸”的級聯效應(圖5)。
3. 砷生物有效性提升(風險尺度)
數據來源:
價態轉化:As(III)/As(V)比值從0.38升至0.72(模擬實驗,圖3)。
擴散通量:藻添加組表觀擴散通量↑50%(圖S9)。
研究意義:
量化藻華分解對砷生態風險的放大效應,為富營養湖泊砷管控提供依據。
結論
核心機制:
藻華分解通過 “硫還原-鐵硫化物形成-有機質競爭”三重路徑 驅動砷釋放(圖5)。
H?S是砷遷移的關鍵解釋變量(貢獻率36.17%,圖4)。
擴散模式指示意義:
模式II/III擴散范圍擴大(圖S7)可直接反映藻華分解程度與富營養化水平。
管理啟示:
控制藻源有機質輸入是抑制沉積物砷釋放的有效策略。
Unisense電極數據的專項解讀
技術優勢
毫米級分辨率:
100μm步進測量捕捉SWI處 DO耗盡區(FDG站點穿透深度僅7.3mm)與 H?S生成熱點(-10mm深度峰值)。
多參數同步:
DO/H?S/pH/ORP四通道同步監測(PA 2000系統),揭示氧化還原梯度對砷價態轉化的控制。
科學價值
機制驗證:
DO剖面證實藻華分解導致 缺氧區擴大(YL站點DO穿透深度34mm → FDG站點7.3mm,圖S3),直接觸發Fe/Mn還原及砷釋放。
H?S數據驗證 硫酸鹽還原途徑,支撐“FeS弱吸附”理論模型。
動態關聯:
H?S峰值深度(-10mm)與砷釋放峰(-20~-60mm)的 空間耦合(圖5),證實硫化物驅動砷遷移的滯后效應。
生態意義
風險預警:DO穿透深度<10mm可作為砷釋放風險的臨界指標。
修復靶點:電極數據指明蘆葦區(FDG)為砷污染重點防控區域。
總結:本研究通過Unisense微電極的高分辨監測,揭示藻華分解通過改變沉積物氧化還原狀態驅動砷活化。其毫米級DO/H?S剖面為“硫介導的砷釋放機制”提供直接證據,確立藻源有機質輸入是富營養湖泊砷風險管控的關鍵靶點。