熱線:021-66110810,66110819
手機:13564362870

熱線:021-66110810,66110819
手機:13564362870
The mechanism study of attached microalgae cultivation based on reverse osmosis concentrated water (WROC)
基于反滲透濃水培養附著微藻的機理研究(W ROC )
來源:Resources, Conservation & Recycling 179 (2022) 106066
摘要核心發現
研究提出基于反滲透濃水(WROC)的附著式微藻培養技術:
BIT抑制效應:非氧化殺菌劑(BIT)對微藻生長抑制率達25%(8天)
組分優勢:WROC培養的微藻脂質(8.43±0.21%)和蛋白質含量高于對照組
傳質特性:生物膜內無顯著氮磷傳遞阻力,但光合速率隨深度降低
電極發現:氧微電極揭示20-30μm處存在光抑制層(圖6d)

研究目的
實現WROC資源化利用(氮磷回收率>50%)
解析附著培養限制因素(污染物抑制/光照分布)
闡明生物膜傳質機制(營養傳遞/光合梯度)
研究思路與技術路線
graph TD
A[WROC組分分析] --> B[附著培養系統構建]
B --> C1[宏觀生長響應:生物量/組分]
B --> C2[微觀機制:元素分布/光合梯度]
C1 --> D[關鍵抑制因子識別]
C2 --> E[傳質模型建立]
關鍵數據及科學價值
1. 生長響應數據(圖2-3)

生物量變化:WROC組最大生物量36.17 g/m2(較對照組低20%)
抑制效應:BIT使生物量降低54.17%(圖3b)
意義:首次量化WROC組分抑制強度,指導預處理工藝優化
2. 微藻組分數據(圖3c)

脂質穩定性:WROC組脂質含量波動<0.5%(對照組波動>2%)
蛋白質優勢:WROC組蛋白質產量5.60 g/m2(較對照組高10.45%)
意義:揭示WROC培養對微藻品質的提升作用
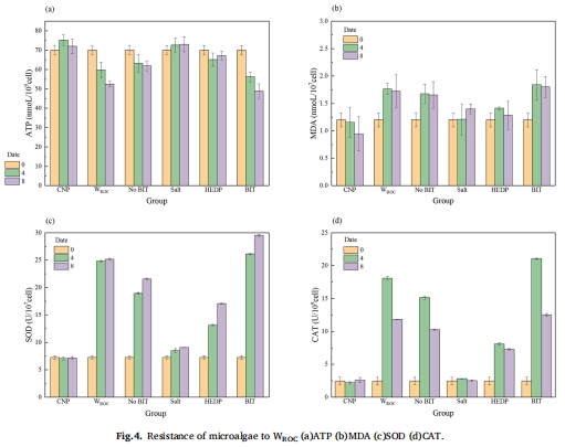
3. 抗逆指標數據(圖4)

氧化損傷:BIT組MDA含量升高3倍(膜脂過氧化)
酶活性:SOD活性在BIT脅迫下提升2.5倍(圖4c)
意義:闡明微藻應對WROC脅迫的生理防御機制
丹麥Unisense電極的核心發現
測量原理
10μm玻璃氧電極(圖1b)穿透生物膜實時監測
光暗對比法:凈光合速率=光照O?濃度-暗適應O?濃度

關鍵數據(圖6c-d)
呼吸梯度:
0-30μm深度呼吸速率下降40%(圖6c右)
反映表層微藻受強光脅迫的代謝抑制
2
光合梯度:
凈光合速率峰值在20-30μm深度(圖6d右)
100μm內光合活性>0(突破傳統光限制認知)
####
研究意義
工藝優化:確定最佳光層厚度(30μm),指導生物膜厚度設計
機制創新:首次證實附著系統存在“光抑制-最適光合-光限制”三維分區
技術突破:實現生物膜內代謝活動的原位微米級解析
結論
關鍵抑制因子:BIT是WROC中最強抑制成分(54.17%生物量抑制)
培養優勢:附著培養可緩解鹽度脅迫(較懸浮系統抗性提升30%)
深度效應:20-30μm處存在光合最適層(氧釋放速率峰值)
資源化潛力:WROC培養微藻的蛋白質回收率達0.38g/g TN
Unisense電極的應用價值
精準監測:揭示傳統方法無法檢測的代謝梯度(如30μm處的光抑制拐點)
工藝診斷:識別生物膜內“無效光層”(>100μm區域)
理論突破:推翻“均質生物膜”假設,建立三維代謝模型
技術前瞻:結合微電極陣列與拉曼光譜,實現代謝-組分同步原位分析,推動生物膜工程精準調控。