熱線:021-66110810,66110819
手機:13564362870

熱線:021-66110810,66110819
手機:13564362870
A collagen-based layered chronic wound biofilm model for testing antimicrobial wound products
用于測試抗菌傷口產品的基于膠原蛋白的分層慢性傷口生物膜模型
來源:Wound Repair and Regeneration,2023,DOI:10.1111/wrr.13087
摘要概述
這篇論文開發了一種改進的體外慢性傷口生物膜模型(mCWB),旨在更真實地模擬人類慢性傷口的微環境。核心創新包括:用哺乳動物膠原替代植物源瓊脂作為基質;通過Transwell插入裝置實現傷口模擬培養基的動態營養交換;接種金黃色葡萄球菌(Staphylococcus aureus)和銅綠假單胞菌(Pseudomonas aeruginosa)形成雙菌種生物膜。模型在33°C下培養,模擬傷口溫度。測試了三種含活性有機酸的可降解淀粉水凝膠(Hydrogel A/B/C)及2%洗必泰(CHX)對照。結果顯示,水凝膠顯著降低菌落數(CFU),逆轉堿性pH至酸性環境,并緩解氧氣消耗,效果優于洗必泰。模型成功模擬了慢性傷口的缺氧、高pH和多菌種共存特征。
研究目的
研究旨在創建一個“理想”的體外慢性傷口感染模型,滿足8個標準:基于哺乳動物材料(膠原);持續營養供應(無剪切流);支持多菌種生長;表達三維梯度(氧氣、pH、營養);無固體表面附著;無植物源成分;經濟且可重復。目標是為抗生物膜療法提供更可靠的測試平臺,減少實驗室數據與臨床效果的差距。例如,慢性傷口常因細菌生物膜和微環境異常(如pH>8.0)而難以愈合,現有模型無法充分模擬這些特征。
研究思路
研究采用分層改進策略。首先,優化原始慢性傷口生物膜模型(CWB):將瓊脂基質替換為膠原(2 mg/mL),添加生理鹽水緩沖液(PBS),并在Transwell插入裝置中構建兩層結構——真皮層(含血清、血液、膠原)和脂肪層(含豬脂肪、膠原)。雙菌種接種:銅綠假單胞菌加入下層,金黃色葡萄球菌加入上層,初始菌量為100-200 CFU。模型置于傷口模擬培養基中,每24小時更換培養基以模擬營養動態輸入。其次,測試抗菌產品:水凝膠(pH 2.2–2.5)和洗必泰(pH 5.9)單次或重復(2×2天)應用于模型表面。評估包括菌落計數、pH/氧氣微梯度測量(使用丹麥Unisense微電極)和共聚焦顯微鏡成像。整個流程在6天內完成,覆蓋基線、治療中和治療后階段。
測量數據及意義
研究系統測量了三個維度的數據,以驗證模型有效性和治療作用:

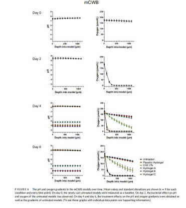
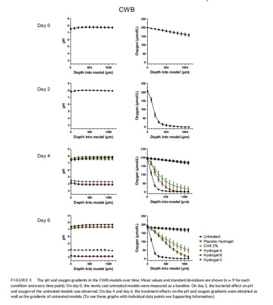
pH和氧氣梯度:數據來自圖4、圖5和圖6。

圖4顯示未處理模型pH升至>8.0(mCWB更持久),氧氣通量率升高至~13.6 nmol O?cm?2min?1(表示細菌呼吸導致缺氧)。圖5-6中,水凝膠將pH降至3.1–4.6(例如Hydrogel B pH=3.1),氧氣梯度恢復至基線(滲透深度>1 mm),洗必泰僅輕微改善pH(~7.3)和氧氣梯度。意義在于:高pH和缺氧是慢性傷口非愈合的關鍵標志,水凝膠通過酸化逆轉微環境,支持組織修復(低pH促血管生成和免疫反應),而氧氣恢復表明代謝負擔減輕。
生物膜結構:數據來自圖7和圖8。

圖7顯示原始CWB模型中S.aureus形成微菌落但被P.aeruginosa抑制,死亡菌體聚集。圖8中mCWB模型(如day 4)顯示雙菌種形成大型生物膜聚集體和微菌落,S.aureus分布更深(至脂肪層)。意義在于:證實模型支持復雜生物膜發育(如菌種空間分層),模擬臨床傷口中菌群的異質性和耐受機制,為抗生物膜策略提供形態學依據。
丹麥Unisense微電極數據的特殊意義

研究使用Unisense微電極(型號OX-25氧電極,尖端25μm;PH-100 pH電極,尖端100μm)測量模型內部微梯度。電極以100μm步進垂直掃描(深度至1100μm),數據如圖4-6所示。關鍵發現包括:未處理模型中,氧氣在0.4 mm深度耗盡(圖6),形成陡峭梯度(通量率>13 nmol O?cm?2min?1),pH均勻升至>8.0(圖4);水凝膠治療后,氧氣滲透深度恢復至>1 mm(圖5),pH降至3.1–4.6。研究意義在于:首次在體外模型中量化微米級生化梯度,證明細菌呼吸是傷口缺氧的核心驅動(氧通量計算基于Fick擴散定律);數據揭示有效治療需同時靶向菌載量和微環境(如酸化改善愈合條件),而洗必泰僅部分抑制代謝(氧氣消耗減少但CFU未顯著降),突顯其臨床缺陷。這種高分辨率測量為傷口病理機制提供直接證據,推動靶向微環境的療法開發。
核心結論
mCWB模型成功模擬慢性傷口特征:雙菌種穩定共存(P.aeruginosa:S.aureus≈20:1)、堿性pH(>8.0)和缺氧梯度(淺表富氧/深層無氧)。酸性水凝膠通過三重機制起效:直接殺菌(CFU降低4–6 log??)、逆轉pH至促愈合酸性狀態、緩解氧氣消耗。洗必泰效果有限,僅輕微抑制P.aeruginosa。該模型為抗生物膜藥物篩選提供高效平臺,強調微環境改善與菌載控制同等重要。