熱線:021-66110810,66110819
手機:13564362870

熱線:021-66110810,66110819
手機:13564362870
Activity of Ammonium-Oxidizing Bacteria—An Essential Parameter for Model-Based N?O Mitigation Control Strategies for Biofilms
銨氧化細菌的活性——基于模型的生物膜 N 2 O 減排控制策略的基本參數
來源:Water 2023, 15, 2389
1. 摘要核心內容
論文提出通過調控 氨氧化細菌(AOB)活性 作為控制生物膜系統中 N?O排放 的關鍵策略:
AOB活性與N?O排放正相關:高AOB比氨轉化率(>0.5 g NH?-N/g XAOB/d)導致N?O排放因子高達 4.74%(圖2)。

生物膜系統優勢:相比懸浮污泥系統(SBR),生物膜系統可維持更高AOB生物量,降低比活性,減少 40% AOB相關N?O排放(表2)。

曝氣策略優化:延長每日曝氣時間(如"30/15"周期)并減少曝氣頻次,可降低AOB活性,使N?O排放減少 25%(SBR)至27%(生物膜)(圖6)。

N?O主要來源:生物膜系統中 異養反硝化(HET)貢獻59.5% N?O排放(表2),因亞硝酸(HNO?)抑制N?O還原(pH<7時)。
應用價值:為污水處理廠提供基于AOB活性調控的N?O減排策略,支持數字化模型(如ASM擴展模型)在工藝優化中的應用。
2. 研究目的
明確 AOB活性 對自養N?O生成的主導作用,建立其與排放因子的定量關系。
對比 生物膜系統 與 懸浮污泥系統(SBR) 的N?O排放特性,識別減排優勢。
開發基于模型(擴展ASM)的曝氣控制策略,實現N?O排放最小化。
3. 研究思路
模型擴展:
在ASM模型中引入 AOB比氨轉化率 作為N?O生成因子核心變量(圖2),動態計算排放因子(圖2)。
中試驗證:
對比 生物膜反應器 與 SBR 在相同進水條件下的N?O排放(圖3-4)。


情景模擬:
測試4類減排策略(表1):
S1:調整曝氣周期("15/15"、"30/30"等)。
S2:改變溶解氧濃度(2–4 mg/L)。
S3:增加生物量(生物膜厚度/SBR污泥濃度)。
S4:進水負荷均質化。

數據驅動優化:
結合 Unisense N?O微傳感器 實測數據校準模型,識別最優控制參數(圖3, 圖6)。
4. 測量數據及意義
關鍵數據來源與意義
測量參數 數據來源 研究意義
液相N?O濃度 Unisense微傳感器(圖3) 揭示曝氣切換后 5–8分鐘內N?O爆發峰值(O?耗盡時),證實瞬態缺氧觸發高排放(圖3)。
氣相N?O排放通量 排氣監測(圖4) 量化系統總排放(SBR:253.9 g N?O-N/65天;生物膜:227.3 g),校準模型準確性(圖4)。
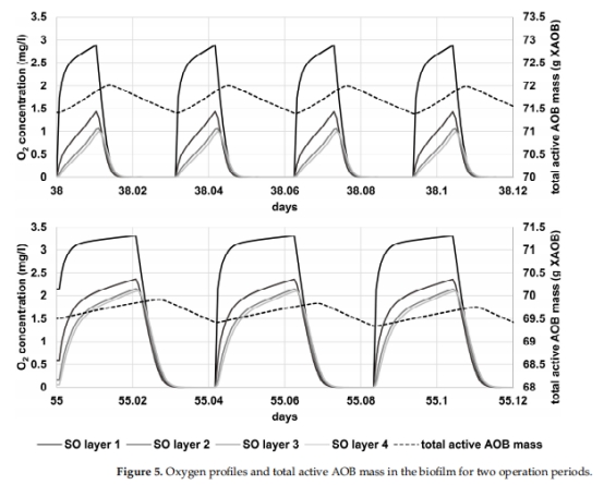
生物膜內O?梯度 模型模擬(圖5) 顯示外層生物膜O?>2.6 mg/L(低N?O生成),內層<0.3 mg/L(高排放風險)。
AOB比氨轉化率 模型計算(圖2, 圖6) 確立 <0.3 g NH?-N/g XAOB/d 為低排放閾值(N?O因子<0.74%)(圖2)。

Unisense電極數據的核心意義
技術優勢:
Unisense N?O微傳感器 實現 原位、實時、高分辨率(nM級) 監測,捕捉傳統方法遺漏的 瞬態N?O釋放峰值(如曝氣停止后5–8分鐘的100%轉化率峰值,圖3)。
結合 液相與氣相 同步監測,精準量化 N?O排放通量(圖4),避免離線采樣誤差。
機制解析:
發現 HET是生物膜系統主要N?O源(貢獻59.5%),因HNO?抑制N?O還原(pH<7 + NO??>200 mg N/L)(表2)。
證實 曝氣重啟初期 生物膜內積累的N?O向主體液擴散并逸出,揭示 排放滯后效應(圖3)。
工藝優化:
數據驅動模型校準,優化曝氣策略(如"30/15"周期減少峰值頻率),降低 生物膜系統N?O排放41%(圖6)。
5. 結論
AOB活性為核心杠桿:
維持AOB比氨轉化率 <0.3 g NH?-N/g XAOB/d 可降低N?O排放因子至 0.74%(圖2)。
生物膜系統優勢:
高生物量承載力使AOB活性降低 40%,減少自養N?O排放(表2)。
最優曝氣策略:
延長單次曝氣時間(如30分鐘)并 減少每日循環次數,降低AOB活性峰值頻率,減排 25–27%(圖6)。
溶解氧控制:
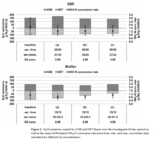
維持 O? >3 mg/L 可抑制HET反硝化N?O生成(圖8),但需平衡NOB抑制需求。

模型價值:
擴展ASM模型精準預測N?O動態(R2>0.9),支持 數字化工藝優化(圖3-4)。