熱線:021-66110810,66110819
手機:13564362870

熱線:021-66110810,66110819
手機:13564362870
Ocean acidification and warming modify stimulatory benthos effects on sediment functioning: An experimental study on two ecosystem engineers
海洋酸化和變暖改變了底棲動物對沉積物功能的影響:對兩位生態系統工程師的實驗研究
來源:Front. Mar. Sci. 10:1101972.
摘要核心內容
論文通過實驗室微宇宙實驗研究了海洋酸化和變暖對兩種關鍵底棲生物(雙殼貝 Abra alba 和多毛類 Lanice conchilega)促進沉積物功能(如氮循環)的影響。主要發現:
物種特異性響應:
L. conchilega 在酸化條件下增強了對沉積物氧消耗(SCOC)、硝化和反硝化的促進作用(+8-41%)。
A. alba 的促進作用在酸化下消失,在變暖下因死亡率升高而減弱。
機制差異:
L. conchilega 通過增加泵氧頻率適應酸化,增強沉積物氧化。
A. alba 因減少攝食和呼吸活動,削弱生物擾動能力。
復合效應:氣候變暖與酸化共同作用時,A. alba 的促進作用短暫恢復(因溫度緩解鈣化壓力),但隨死亡率上升而減弱。
研究目的
評估海洋酸化和變暖對底棲關鍵物種(生態系統工程師)生態功能的調控作用。
比較兩類生物擾動模式(A. alba:隨機表層擾動;L. conchilega:管棲泵氧)對氣候變化的響應差異。
揭示氣候壓力下生物行為變化如何級聯影響沉積物氮循環。
研究思路
graph LR
A[野外采集沉積物與物種] --> B[實驗室微宇宙實驗]
B --> C[四組處理:CTRL/OW/OA/CC]
C --> D[6周培養,監測存活率]
D --> E[測量氧滲透深度(OPD)]
E --> F[閉室培養測SCOC與營養鹽通量]
F --> G[計算硝化/反硝化速率]
G --> H[統計分析氣候×物種×時間效應]
測量數據及意義
存活率(圖1)

數據:A. alba 在變暖下存活率↓34%(OW和CC組),L. conchilega 無顯著變化。
意義:反映物種熱敏感性差異,A. alba 的衰退可能削弱其長期生態功能。
氧滲透深度(OPD)(圖2)

數據:
L. conchilega 使OPD↑31%(所有處理)。
A. alba 使OPD↑27%(CTRL最強,OA/OW減弱)。
意義:量化生物擾動對沉積物氧化的直接影響,為氮循環提供氧化基質。
沉積物-水界面通量
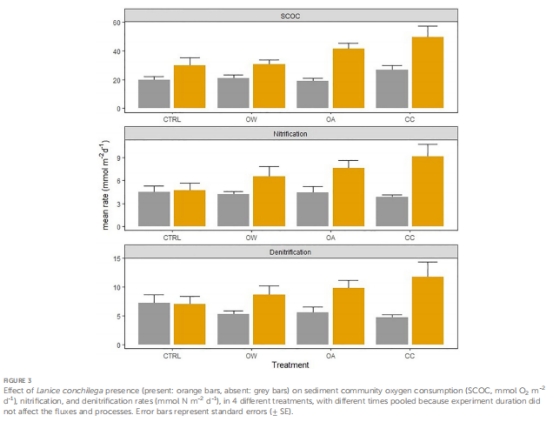
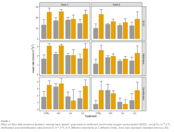
SCOC(沉積物群落氧消耗)(圖3, 4):


L. conchilega:酸化下促進作用↑37%(圖3)。
A. alba:CTRL下↑35%,OA下消失(圖4)。
硝化與反硝化速率(圖3, 4):
L. conchilega:酸化下硝化↑41%、反硝化↑25%。
A. alba:CC組短暫促進(硝化↑61%、反硝化↑110%)。
意義:直接量化物種對氮循環的貢獻,揭示氣候條件改變生物擾動的功能性后果。
時間效應(表2, 圖4)

數據:A. alba 的硝化/反硝化速率在6周后↓22-23%。
意義:表明變暖效應隨暴露時間累積,可能與死亡率上升相關。
結論
酸化增強 L. conchilega 的功能:泵氧行為增加沉積物氧化,促進耦合的硝化-反硝化。
酸化抑制 A. alba 的功能:攝食與呼吸減少削弱生物擾動,導致氮循環促進作用消失。
變暖降低 A. alba 適應性:存活率下降進一步削弱其長期生態貢獻。
復合效應復雜:A. alba 在氣候變暖與酸化共同作用下短暫恢復功能(溫度緩解鈣化壓力),但隨時間推移失效。
關鍵啟示:海洋酸化可能改變底棲群落結構(如 L. conchilega 相對優勢上升),進而重塑沉積物生物地球化學循環路徑。
Unisense電極數據的詳細解讀
測量方法與目的
技術原理:使用Unisense OX100微電極(100μm尖端)垂直插入沉積物,以250μm步長測量氧濃度梯度(圖2)。
校準:0%(抗壞血酸鈉)和100%(空氣飽和海水)兩點校準。
關鍵指標:氧滲透深度(OPD)——氧濃度降至0的深度,反映沉積物氧化層厚度。
研究意義
量化生物擾動強度:
L. conchilega 使OPD增加1.32±0.16 mm(圖2),證實其“活塞泵”行為顯著擴大氧化層,為硝化(需氧)和反硝化(需缺氧微環境)提供空間基礎。
A. alba 的OPD增幅在酸化/變暖下降低,直接關聯其行為抑制(如攝食減少)。
揭示氣候效應的機制:
L. conchilega 在酸化下OPD不變(圖2),但泵氧頻率↑30%(文獻佐證),說明其功能增強源于單位時間內氧化層利用效率提升,而非氧化深度變化。
A. alba 在變暖下OPD↓19%(OW組),解釋其氮循環促進作用消失的物理機制。
連接行為與生態系統功能:
OPD數據與通量測量結合,證明物種行為適應(如 L. conchilega 泵頻增加)通過改變沉積物氧化還原梯度,直接驅動氮循環過程響應。
生態啟示
微電極技術的價值:提供高分辨率氧化層數據,是鏈接物種行為(生物擾動)與生態系統功能(氮循環)的關鍵橋梁。
氣候預測應用:OPD變化可預測未來海洋酸化/變暖下沉積物碳氮周轉潛力的空間重構(如氧化層收縮可能抑制硝化)。
總結:Unisense微電極數據不僅驗證了物種行為假說,更從微尺度揭示了氣候變化如何通過生物工程效應級聯影響生物地球化學循環,凸顯其在生態預測模型中的不可替代性。