熱線:021-66110810,66110819
手機:13564362870

熱線:021-66110810,66110819
手機:13564362870
Cyanobacterial blooms increase the release of vanadium through iron reduction and dissolved organic matter complexation in the sediment of eutrophic lakes
藍藻水華通過鐵還原和溶解有機物絡合增加了富營養湖泊底泥中釩的釋放
來源:Water Research 243 (2023) 120377
摘要核心內容
論文通過原位高分辨率采樣(HR-Peeper)和薄膜擴散梯度技術(DGT)研究了富營養化湖泊(太湖)沉積物中釩(V)的遷移機制。主要發現:
季節性釋放特征:夏季溶解態釩濃度(最高5.22 μg/L)超過荷蘭長期生態毒理學限值(1.2 μg/L),主要受藍藻水華導致的還原條件驅動。
釋放機制:
夏季:鐵氧化物還原釋放Fe結合態釩,溶解性有機物(DOM)絡合增加釩溶解度(圖3, 圖4)。


冬季:沉積物氧化使V(III)/V(IV)轉化為高溶解性V(V),導致二次釋放(圖6, 表2)。


生態風險:沉積物中釩的再活化增加上覆水污染風險,威脅水生生態系統。
研究目的
揭示富營養化湖泊沉積物中釩的遷移轉化機制,特別是藍藻水華的影響。
量化沉積物-水界面(SWI)釩的時空分布特征。
闡明鐵還原、DOM絡合和氧化還原條件對釩釋放的調控作用。
研究思路
graph TD
A[野外月度采樣] --> B[原位高分辨率監測]
B --> C[HR-Peeper測溶解態釩/Fe(II)]
C --> D[ZrO-Chelex DGT測活性釩]
D --> E[實驗室模擬實驗]
E --> F[藻華模擬+氧化-缺氧培養]
F --> G[機制解析:Fe還原/DOM絡合/氧化轉化]
生成失敗,換個方式問問吧
測量數據及意義
溶解態釩(HR-Peeper)(圖1, 圖3)

數據:夏季(7月)濃度峰值5.22 μg/L(超短期暴露限值3.0 μg/L)。
意義:直接反映孔隙水中釩的生物有效性,證實夏季釋放風險最高。
活性釩(DGT)(圖1)
數據:冬季(1月)濃度最高(1.02 μg/L),因氧化條件生成高溶解性V(V)。
意義:揭示釩的潛在遷移能力,補充溶解態數據的動力學信息。
Fe(II)與UV254(圖3, 圖4)
數據:夏季Fe(II)與釩同步升高(r=0.666**),UV254(DOM指標)與釩正相關。
意義:驗證鐵還原和DOM絡合共同驅動夏季釩釋放(圖7)。

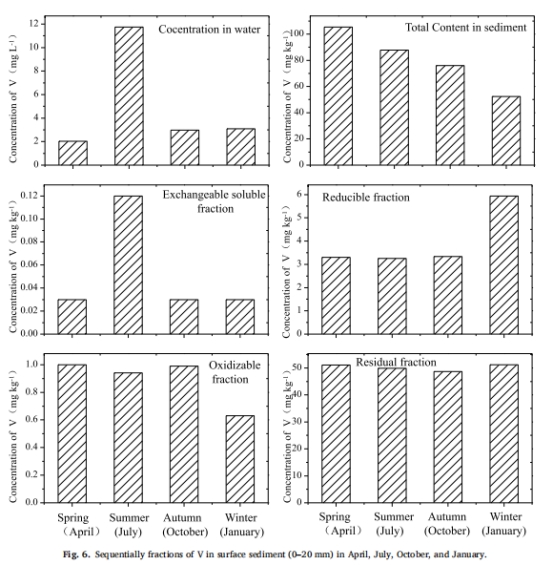
釩形態分析(表2, 圖6)
數據:夏季孔隙水中V(III)占比45.7%(還原態),冬季V(V)占比91.3%(氧化態)。
意義:量化氧化還原狀態對釩價態及溶解度的控制。
結論
夏季釋放主因:藍藻水華導致沉積物缺氧,促進Fe(III)還原釋放結合態釩,同時DOM絡合增加釩溶解度(圖8)。

冬季釋放機制:氧化條件使V(III)/V(IV)轉化為V(V),溶解度升高(圖6)。
生態風險:沉積物釩釋放通量在夏/冬季為正(圖2),直接威脅上覆水質,需關注富營養化湖泊的釩污染管控。


Unisense電極數據的詳細解讀
測量方法與目的
技術原理:Unisense氧微電極(尖端直徑≤10μm)垂直插入沉積物,以100μm步長測量溶解氧(DO)剖面。
校準:零點(無氧水)和飽和點(空氣飽和水)兩點校準。
關鍵指標:氧滲透深度(OPD)——DO濃度降至0的深度,反映沉積物氧化層厚度。
研究意義
量化缺氧程度:
夏季OPD<3 mm,證實藍藻水華導致沉積物表層強烈缺氧,直接驅動Fe(III)還原和釩釋放(圖3)。
冬季OPD>3 mm,支持氧化條件促使V(III)/V(IV)向V(V)轉化。
關聯釩釋放動力學:
DO剖面與溶解態釩峰值深度匹配(-5至-10 mm),揭示缺氧區為釩釋放熱點(圖3)。
藻華模擬實驗中,DO晝夜波動與釩濃度同步變化(圖4),證實光照-藻類代謝調控氧化還原微環境。
機制驗證:
氧化-缺氧實驗中,DO降至0時(344 h)釩濃度驟升(圖3),直接證明缺氧觸發釋放。
電極數據與Fe(II)、UV254的時空耦合(圖3, 圖4)支撐“Fe還原+DOM絡合”雙路徑模型。
技術創新價值
毫米級分辨率:克服傳統采樣破壞分層結構的局限,捕捉SWI微尺度氧化還原梯度(如-2 mm處DO劇變)。
原位真實性:避免取樣氧化擾動,準確反映藍藻水華下的真實缺氧狀態。
多技術協同:聯合HR-Peeper(溶解態)、DGT(活性態)數據,構建釩遷移的完整動力學畫像。
總結:Unisense電極通過原位DO剖面定量了沉積物缺氧程度與釩釋放的因果關系,為富營養化湖泊金屬污染防控提供了關鍵的界面過程證據。