熱線:021-66110810,66110819
手機:13564362870

熱線:021-66110810,66110819
手機:13564362870
Transition from stromatolite to thrombolite fabric: potential role for reticulopodial protists in lake microbialites of a Proterozoic ecosystem analog
從疊層石到凝塊石結構的轉變:網狀偽足原生生物在元古代生態系統類似物湖泊微生物巖中的潛在作用
來源:Frontiers in Microbiology, Volume 14, Article 1210781, Published 30 October 2023,
《微生物學前沿》第14卷第1210781號,2023年10月30日發表,
摘要內容:
研究通過野外調查和實驗,發現紐約州格林湖(Green Lake)微生物巖中存在一種類似有孔蟲的無殼原生生物(形態學觀察),經鑒定為Chlamydomyxa labyrinthuloides(分子生物學證據)。實驗將培養的淡水有孔蟲Haplomyxa saranae引入微生物巖表層,顯微CT掃描顯示其網狀偽足活動破壞了層狀結構各向異性。研究提出,這種原生生物通過網狀偽足活動可能參與微生物巖從層狀(疊層石)向凝塊狀(凝塊石)結構的轉變。
研究目的:
驗證淡水網狀偽足原生生物是否能破壞湖泊微生物巖的層狀結構,并探討其在元古代疊層石衰退中的潛在作用。
研究思路:
長期監測:2017–2019年對格林湖微生物巖平臺進行季節性采樣(8次),分析水體地球化學參數(pH、溫度、鈣離子等)和微生物巖結構。
生物鑒定:通過顯微觀察、單細胞分離和18S rDNA測序,鑒定微生物巖中的關鍵原生生物類群。
原位分布:使用熒光標記包埋法(FLEC)和共聚焦顯微鏡(CLSM),確定原生生物在微生物巖中的三維空間分布(圖6–9)。




干擾實驗:將淡水有孔蟲H. saranae接種到微生物巖表面,培養3.5個月后通過顯微CT掃描比較結構變化,并設置微管抑制劑(秋水仙素)對照組(圖11)。

數據分析:結合地球化學剖面(微電極數據)、微生物群落結構和實驗數據,評估網狀偽足活動的生態影響。
測量的數據及研究意義(注明來源圖表):
湖泊地球化學參數(表1):

測量內容:季節性pH(7.5–8.2)、溫度(9.6–28.2°C)、鈣離子濃度(8.9–10.2 mM)、葉綠素a(384–608 μg/cm3)、EPS含量(105–379 μg/cm3)。
意義:揭示微生物巖生長的化學環境(高堿度、鈣飽和),并顯示夏季光合作用增強(葉綠素a和EPS峰值),為微生物活動提供背景。
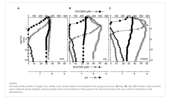
微電極剖面數據(圖2):

測量內容:氧(O?)、硫化氫(H?S)、pH在微生物巖中的垂直分布(250 μm分辨率),晝夜對比。
意義:顯示微生物巖表層(0–4 mm)存在強烈晝夜氧波動(白天170–200%飽和度,夜間缺氧),夏季深層(>9 mm)出現硫化物,證明光合微生物驅動化躍層,為需氧/厭氧微生物提供分層生態位。
微生物巖結構與生物分布(圖3、4、6–9):


結構:表層(0–5 mm)呈層狀(疊層石),深層(>10 mm)呈凝塊狀(凝塊石),含孔洞(圖3)。
生物分布:網狀偽足原生生物(FFRP)及其孢囊在微生物巖中普遍存在(0–9 mm深度),主要富集于表層(圖6–9)。
實驗各向異性數據(圖11):
測量內容:顯微CT掃描量化微生物巖結構的各向異性(DA值),比較實驗前后變化。
意義:H. saranae接種組DA值顯著降低(核心0、3、4),表明網狀偽足破壞層狀結構;抑制劑組無變化,證實破壞依賴偽足活動。
丹麥Unisense電極數據的詳細研究意義:
使用Unisense微電極(分辨率250 μm)獲得高精度化學梯度剖面,揭示微生物巖內部的微環境異質性。
數據顯示:
春季微生物巖氧峰值深度較淺(1.5 mm),夏秋季下移(2.5 mm),且峰值強度隨季節增加(圖2),反映光合微生物群落的演替與生物量積累。
硫化物僅在夏秋季夜間于深層(>9 mm)檢出,結合pH峰值(夏季8.6,秋季8.9)與氧峰值重合,表明硫酸鹽還原菌與光合菌的耦合作用驅動硫循環,類似元古代海洋化學條件。
意義:
為理解原生生物(如FFRP)的分布提供依據——其活躍于含氧表層,但可延伸至缺氧區(圖6B、8D),暗示其對化學梯度的適應性。
晝夜氧波動與硫化物動態證明微生物巖是"動態化學躍層",可能限制后生動物活動,突出原生生物在改造結構中的關鍵性。
結論:
格林湖微生物巖中存在豐富的網狀偽足原生生物Chlamydomyxa labyrinthuloides(原誤認為有孔蟲),其孢囊與活動體在微生物巖中廣泛分布(0–9 mm)。
實驗證實網狀偽足活動可破壞微生物巖層狀結構(降低各向異性),支持其在自然條件下促進疊層石向凝塊石轉變的假設。
季節性地球化學變化(如夏季EPS增加)與FFRP形態轉換(夏季孢囊主導)可能共同調控結構改造強度,冬季異養活動可能是層理破壞的主因。
為元古代疊層石衰退提供了新機制解釋(原生生物擾動替代后生動物假說),強調非鈣化原生生物在早期生態系統中的潛在影響。