熱線:021-66110810,66110819
手機:13564362870

熱線:021-66110810,66110819
手機:13564362870
Coastal acidification alters estuarine sediment nitrous oxide and methane fluxes
海岸酸化改變河口沉積物氧化亞氮和甲烷通量
來源:Limnology and Oceanography Letters, Volume 8, 2023, Pages 723-733
《湖沼學與海洋學通訊》第8卷,2023年,723-733頁
摘要內容
研究通過控制實驗發現:
酸化顯著改變溫室氣體通量:河口沉積物暴露于中度酸化(pH 7.3)和極端酸化(pH 6.3)后,氧化亞氮(N?O)和甲烷(CH?)通量發生顯著變化。
響應具有站點特異性:高氮負荷站點(MP)的N?O通量增加(最高4218%),CH?通量降低(75%);低氮負荷站點(SLP)的N?O通量減少(275%),CH?通量在中度酸化時降低,極端酸化時增加。
機制驅動:酸化通過抑制反硝化酶(nosZ)、改變微生物群落及有機質(OM)降解路徑影響氣體通量,且OM類型(藻類vs鹽沼)是關鍵調控因子。
研究目的
量化海岸酸化對河口沉積物N?O和CH?通量的影響。
探究不同氮負荷背景下沉積物對酸化的響應差異。
揭示酸化調控溫室氣體通量的生物地球化學機制。
研究思路
站點選擇:
高氮負荷站點(Metoxit Point, MP):受居民污水輸入影響,夏季大型藻華頻發。
低氮負荷站點(Sage Lot Pond, SLP):鹽沼環繞,營養鹽輸入較低(表1)。
酸化控制實驗:
采集沉積物柱芯,在恒溫(30°C)黑暗條件下進行流動培養。
設置三組pH處理:對照(pH 8.0)、中度酸化(pH 7.3)、極端酸化(pH 6.3),通過CO?鼓泡調控pH。
通量測量:
使用氣相色譜(GC-2014)測定進出水溶解N?O和CH?濃度,計算沉積物-水界面通量(公式見方法部分)。
沉積物pH剖面:
采用Unisense pH微電極(100 μm直徑)在500 μm分辨率下測量沉積物表層(0-2 cm)pH梯度(圖2)。

測量數據及研究意義
沉積物pH剖面(圖2)
數據:酸化導致沉積物表層pH顯著下降(MP對照:7.36→極端:6.81;SLP對照:7.47→極端:6.77)。
意義:證實水體酸化能快速改變沉積物微環境,為微生物活性變化提供直接證據。
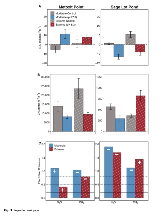
N?O通量(圖3)

數據:
MP站點:酸化使N?O從匯(-5.4 nmol m?2 h?1)轉為源(極端:8.1 nmol m?2 h?1)。
SLP站點:酸化使N?O從源(極端對照:10.8 nmol m?2 h?1)轉為匯(中度:-13.2 nmol m?2 h?1)。
意義:揭示酸化對N?O通量的影響方向取決于站點氮負荷和OM類型(藻類OM促進釋放,鹽沼OM促進消耗)。
CH?通量(圖3)
數據:
MP站點:酸化使CH?通量降低75%(極端:9,478 vs 對照:23,546 nmol m?2 h?1)。
SLP站點:中度酸化通量減半(295 vs 568 nmol m?2 h?1),極端酸化通量翻倍(819 vs 362 nmol m?2 h?1)。
意義:表明CH?響應存在閾值效應,極端酸化可能激活耐酸產甲烷菌或抑制氧化過程。
結論
酸化效應具有空間異質性:即使同一河口內,氮負荷和OM類型差異導致沉積物對酸化的響應截然不同(MP與SLP站點的N?O/CH?通量變化方向相反)。
關鍵機制:
N?O通量變化與nosZ酶抑制、反硝化路徑改變相關(SLP站點出現N?O消耗)。
CH?通量受OM質量(藻類易降解vs鹽沼難降解)和鐵還原競爭調控(酸化促進Fe還原,抑制產甲烷)。
管理意義:海岸溫室氣體預算需納入當前和未來pH變化,且需考慮站點特異性背景。
丹麥Unisense電極數據的詳細研究意義
研究中采用Unisense pH 100微電極系統(搭配Sensor Trace Pro軟件)測量沉積物pH微剖面:
高分辨率環境驗證:
數據:在500 μm間隔下獲取0-2 cm沉積物pH梯度(圖2),顯示酸化處理顯著降低表層pH(如SLP站點從7.47降至6.77)。
意義:直接證實水體酸化能快速滲透至沉積物微區(<24小時),為后續氣體通量變化提供原位環境背景。
酸化影響深度的量化:
數據:pH變化主要發生在沉積物表層(0-5 mm),深層(>10 mm)pH緩沖較強(圖2A-B)。
意義:表明酸化對微生物過程(如硝化/反硝化)的影響集中于沉積物-水界面,解釋了氣體通量快速響應的空間范圍。
機制關聯證據:
數據:MP站點酸化后表層pH降幅(ΔpH=0.55)大于SLP(ΔpH=0.70),與MP更強的N?O釋放和CH?抑制現象吻合。
意義:微尺度pH梯度數據支持“酸化通過抑制nosZ酶(N?O→N?)增強N?O排放”的假設(MP站點),并為SLP站點的反常N?O消耗提供探索方向(如酸性激活特定消耗菌群)。
核心價值:Unisense微電極實現了沉積物酸化響應的原位、高分辨率監測,將宏觀氣體通量與微觀環境關聯,為海岸酸化生物地球化學模型提供了關鍵參數。