熱線:021-66110810,66110819
手機:13564362870

熱線:021-66110810,66110819
手機:13564362870
Overlooked shelf sediment reductive sinks of dissolved rhenium and uranium in the modern ocean
現代海洋中被忽視的大陸架沉積物還原匯對溶解錸和鈾的影響
來源:Nature Communications
《自然通訊》
摘要內容:
該研究指出錸(Re)和鈾(U)是重建古海洋氧化還原歷史的關鍵指標,但此前研究低估了大陸架沉積物作為其還原匯的作用。通過東海陸架沉積物的224Ra/228Th不平衡方法,發現Re和U的去除通量與沉積物氧消耗速率、有機碳分解速率呈正相關。全球尺度評估顯示,大陸架沉積物的還原匯規模與深海缺氧/次氧化匯相當(Re)或更高(U,達4倍),暗示現代海洋Re和U預算可能存在源匯不平衡或現有源項被嚴重低估。
研究目的:
重新評估大陸架沉積物在全球Re和U循環中的角色,修正先前認為其貢獻可以忽略的觀點,并探討其對現代海洋元素預算的影響。
研究思路:
在東海陸架區采集夏冬兩季沉積物巖芯,分析孔隙水中Re、U濃度梯度及224Ra/228Th不平衡。
結合擴散-灌溉耦合模型計算實際去除通量(圖1、2、表1)。



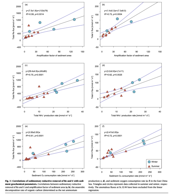
關聯氧消耗速率(圖3e-f)、有機碳分解速率(圖3c-d)等參數,建立通量控制機制。

通過全球陸架沉積物氧消耗速率數據外推,估算全球大陸架對Re和U的去除量(圖5、6)。


測量數據及來源:
孔隙水Re、U濃度梯度(圖1a-b,表1)
224Ra/228Th不平衡(圖1c)
溶解氧(DO)微剖面(圖1,表1)
沉積物有機碳分解速率(圖3c-d)
研究意義:
孔隙水Re/U梯度(圖1)首次揭示大陸架沉積物存在強烈還原去除作用,打破傳統認為僅深海缺氧區主導的觀點。
224Ra/228Th通量模型(表1)量化了灌溉作用對通量的放大效應(達15倍),完善淺海沉積物-水界面物質交換理論。
氧消耗速率與Re/U通量的線性關系(圖3e-f)建立定量預測模型,為全球尺度外推提供關鍵參數。
全球陸架Re匯(431±175 Kmol/yr)與河流輸入相當,U匯(57±22 Mmol/yr)超現有深海匯總和(圖6),徹底改變元素預算認知。
結論:
大陸架沉積物Re/U還原去除通量與有機碳分解速率直接相關,冬季強混合促進通量提升3-4倍(表1對比夏冬季數據)。
全球陸架貢獻Re匯占河流輸入的100±41%,U匯超所有已知匯總和108±42%(表2),成為主導匯項。

現有海洋U同位素(δ238U)預算失衡可能源于對陸架匯的低估,加入陸架數據后δ238U源匯差值從+0.05‰縮小至+0.04‰(表2)。
丹麥Unisense電極測量數據的研究意義:
高分辨率(0.3mm)溶解氧微剖面(圖1)精確捕捉沉積物-水界面氧化還原分層,確定Re/U還原起始層位(DO耗盡層)。
氧滲透深度(0.12-0.69cm)直接關聯有機碳分解速率,驗證"強灌溉促進早期成巖作用"的假設(圖3e-f與DO消耗速率關聯)。
微電極數據與Fe/Mn濃度剖面共同構建多相氧化還原序列,證實Re在硝酸鹽還原層開始去除,U在鐵還原層加速去除的差異行為。
結合孔隙水SO42-/Cl-比值,量化硫酸鹽還原貢獻,排除硫化物共沉淀對U去除的干擾。
為224Ra/228Th模型提供邊界條件,驗證"灌溉增強氧化層再生"的動力學假設(圖1c中冬季更深的224Ra虧損區)。